سرشناسه : قهرمانی تبریزی، محمدرضا، 1339 -
عنوان و نام پدیدآور : شکافت بزرگ - Big Fission /نویسنده محمد رضا قهرمانی تبریزی(معلم).
مشخصات نشر : اصفهان کنکاش 1399 .
شابک : ج. 1: 6-136596-600-978
مندرجات : ج. 1. آغاز پیدایش جهان .
موضوع :علی بن ابی طالب (ع)، امام اول، 23 قبل از هجرت - 40 ق. . نهج البلاغه -
موضوع :Ali ibn Abi-talib, Imam I. Nahjol - Balaghah -- Cosmology
موضوع :: کیهان شناسی -- جنبه های مذهبی -- اسلام
موضوع :Cosmology -- Religious aspects -- Islam
رده بندی کنگره :BP103/65
رده بندی دیویی:297/158
شماره کتابشناسی ملی:7403408
ویراستار دیجیتالی:محمد منصوری
ص: 1
سرشناسه : قهرمانی تبریزی، محمدرضا، 1339 -
عنوان و نام پدیدآور : شکافت بزرگ - Big Fission /نویسنده محمد رضا قهرمانی تبریزی(معلم).
مشخصات نشر : اصفهان کنکاش 1399 .
شابک : ج. 1: 6-136596-600-978
مندرجات : ج. 1. آغاز پیدایش جهان .
موضوع :علی بن ابی طالب (عليه السلام)، امام اول، 23 قبل از هجرت - 40 ق. . نهج البلاغه -
موضوع :Ali ibn Abi-talib, Imam I. Nahjol - Balaghah -- Cosmology
موضوع :: کیهان شناسی -- جنبههای مذهبی -- اسلام
موضوع :Cosmology -- Religious aspects -- Islam
رده بندی کنگره :BP103/65
رده بندی دیویی:297/158
شماره کتابشناسی ملی:7403408
انتشارات کنکاش ناشر برتر کشور سال 1390 و ناشر برگزیده ی استان سال 1388
شکافت بزرگ آغاز پیدایش جهان
مولف :محمد رضا قهرمانی تبریزی(معلم)
ناشر:انتشارات کنکاش
نوبت چاپ :اول
تاریخ نشر :1400
تیراژ :1000 جلد
مدیر تولید :محمد جزینی
مدیر فنی :مسعود جزینی
چاپ :کنکاش
صحافی :مردانی
قیمت: 30000 تومان
شابک: 98-600-136-596-6
اصفهان، سه راه حکیم نظامی ،ابتدای خیابان ارتش ،چاپ و نشر کنکاش
تلفن: 36258049(31)
ص: 2
مقدمه ...5
چند جمله با دانشمندان اندیشمند ...5
فصل اول ...7
بخش اول ...7
قوانین نیوتن : ...11
قانون گرانش: ...12
پارادوکس بنتلی : ...13
آلبرت انیشتین و نظریههای جاذبه ی عمومی نیوتن ...14
قانون هابل : ...17
فصل اول ...19
بخش دوم ...19
سیری بر بیگ بنگ ...19
فصل دوم ...29
بخش اول...29
زمینه ارائه ی نظریه ی شکافت بزرگ ...29
BIG FISSION ...
فصل دوم...33
بخش دوم ...33
قبل از آغاز پیدایش جهان ...33
ص: 3
گمانه و احتمال اول :...49
ایجاد اقیانوس بنیادین خلقت از قطران گازهای داغ ...49
اقیانوسی با دیوارههای قابل ارتجاع و نیروهای مواج کننده آن ...51
کلام آخر ...70
چند جمله با دانشمندان موحد ادیان توحیدی ...70
مأخذ ...73
ص: 4
در طول تاریخ همیشه دانشمندان و پژوهشگران با سؤالاتی روبرو بوده اند که پاسخ آن را در یافتن پاسخ سؤال چگونگی آغاز پیدایش جهان می دانسته اند، به همین دلیل تلاش های فراوانی در این خصوص کرده اند، ارائه ی نظریات بیگ بنگ و ریسمان و ... از آن جمله اند.
یافتن پاسخ سؤال چگونگی آغاز جهان، تمام علوم را متحول و نگاه ناظر را به عالم هستی دگرگون میسازد. تکلیف سوالات بی پاسخی همچون، انرژی تاریک و ماده ی ،تاریک که جمعاً حدود 95/1 ٪ کل ماده و انرژی جهان را تشکیل میدهد و هنوز شناخته شده نیست ،مشخص می گردد.
بعنوان مثال اگر برای اندیشمندان مشخص شود ،که اولین جفتهای مولد ،جهان بارهای الکتریکی بودهاند و میدان های الکتریکی و مغناطیسی و در نتیجه انرژی الکترومغناطیس و امواج الکترومغناطیس (نور)، اولین جلوه های لحظه ی آغاز پیدایش جهان بوده است ، بسیاری از نگرشهای علمی اصلاح میگردد حتی شاید پزشکان، اگر به پیکر انسان بعنوان محصول این امواج و انرژیها و میدانها ،بنگرند هر بیماری را یک اختلال در امواج و انرژیها و میدانها به حساب میآورند و برای اصلاح این پارازیتها و ،اختلالات از انواع این امواج و میدانها برای درمان استفاده کنند و استفاده از داروهای شیمیایی و حتی عمل جراحی به حداقل برسد . بخاطر همین اهمیت است ،که چنانچه از هر روزنه ای ، شعاع نور امیدوار کننده ای برای فهم این مطلب ،بتابد نباید آن روزنه را نادیده گرفت و دانشمندان بشر دوست ،وابسته به هر اعتقاد و دین و ،مکتب بدون هیچ تعصب و جانبداری
ص: 5
بی منطق از گزینههای اعتقادی ،خود بایستی به آن روزنه ی امید توجه کنند و در خصوص آن به بررسی و بحث و تحقیق بپردازند شاید که این گره از علم باز گردد. در عقاید توحیدی مانند اسلام، مسیحیت ، یهود، زرتشت و ،غیره اعتقاد بر این است که افرادی با عالم ماوراء ارتباط دارند و به همین دلیل خمیر مایه بسیاری از علوم را از منبع آن یعنی خداوند دریافت کرده اند، مانند پیامبران و آنها در حد عقول یاران و اصحاب خود آن علوم را بیان نموده اند . این بیانات به صورتی است که امروزه اگر بخواهیم از آن چیزی بفهمیم بایستی آن سخنان را بعنوان یک معدن به حساب آورد و اسباب کار برداریم و مانند یک معدنچی به سراغ آنها برویم.
دانسته های علم روز، که در طول تاریخ علم ،توسط دانشمندان و پژوهشگران گرانقدر و گرانمایه حاصل شده است مانند اسباب حفاری این معادن ،است مثل چوب ،جادوست که اگر بر این سخنان و گفته ها بزنیم دریچه های آن باز میشود و بتن آن هویدا می گردد و گوهر آنها جلوه گر می شود .
از جمله ی این سخنان خطبههای علی ابن ابیطالب است.
این حقیر با تکیه بر خطبه ی اول نهج البلاغه نظریه شکافت بزرگ را در مقابل نظریه انفجار بزرگ( بیگ بنگ) ارائه نمودم و امیدوارم مورد توجه دانشمندان فرهیخته قرار گرفته و موجب انجام پژوهشها، بحث ها و بررسیها گردد. شاید که نقطه آغازی در شناخت زمان صفر خلقت باشد.
نگارنده
ص: 6
از لحظه ای که انسان روی کره ی زمین چشم ،گشود، آسمان تاریک شب و نقطه های درخشان آن توجه او را به خود جلب کرد .
اولین چیزی که از تاریکی شب به سراغ انسان ،آمد، ترس بود. نخستین اقدامی که با مشاهده تاریکی شب انجام داد این بود که به گونه ای تا دمیدن روشنایی روز ایمن بماند . به همین دلیل به طور جمعی زندگی میکردند. زندگی جمعی ضمن اینکه زندگی را سهل تر کرده ،بود در امنیت آن نیز بسیار مؤثر بود. تاریکی شب و نیاز به امنیت در آن و تحولات طبیعی مانند ،باد ،باران طوفان و گرما و سرما ، انسان را بر آن داشت که در پی پناهگاهی باشد. او برای امنیت بیشتر به غارها پناه برد . در غارها چون توسط یک فضای بسته محافظت میشد امنیت خاطر بیشتر پیدا کرد و به همین دلیل آرامش لازم را برای دقت در مشاهدات خود به دست آورد . نخست به
ص: 7
مشاهده ی دقیق طبیعت پرداخت، به گونه ای که توانست مناظر طبیعت و تصاویر حیوانات را به شکل خیلی ابتدایی بر دیوارهی غارها کپی و نقاشی کند. این امنیت خاطر در شبها که اوقات فراغت او بود باعث شد که زیبایی های آسمان شب توجه او را جلب کند.
همچنین مشاهدهی ماه و ستارگان در شب و خورشید در روز و کنجکاوی او، موجب شد ،که نقش آنها را بر دیواره های غار بنگارد . از آن زمان بود که انسان کیهان شناسی را آغاز کرده بود. در واقع کیهان شناسی از لحظه ای شروع شد که اولین انسان همین که از امنیت جان خود یک اطمینان نسبی بدست آورد و شبها با آرامش به مشاهده ی آسمان تاریک با ستاره های درخشانش پرداخت و سعی کرد از مشاهدات خود چیزی بفهمد آغاز شد . ولی متاسفانه آثار تاریخی فقط تا حدود 6000 سال پیش را قادر است برای ما بیان کند و از قبل از آن بی خبریم. از همان زمان که انسان مشاهده را شروع کرده بود بنا به سرشت خود که طالب فهمیدن است، سؤالات بنیادی فراوانی را از خود می پرسید .
یکی از مهمترین سوالات که در ذهن آنها نقش میبست این بود که این جهان چگونه به وجود آمده و چگونه کار میکند؟
عجیب بودن حرکات اجرام آسمانی و تأثیری که برخی از آنها در زندگی انسان ،داشت مانند ،خورشید دلیل روشنایی روز ، ماه روشنایی شب و ایجاد امنیت یا ستارگان به عنوان راهنما احتمالاً آنقدر برخی از آنها را تحت تأثیر قرار داده بود که باعث شده بود، بعضی صفات خدا گونه به آنها نسبت دهند و زمینه پدیدار شدن مکاتب تخیلی را فراهم سازد مانند تالس ملطی (636-546 ق.م ) که میگوید .
ص: 8
مایه همه چیز آب است و زمین را قرص تختی مجسم میکرد که در آب شناور است. یا آناکسیماندر (547 - 611 ق . م ) که می گوید : عالم نامحدود است و زمین استوانه ای است که در فضا آزادانه شناور است . یا آناکسمینس ( 526 - 585 ق.م ) زمین را چون قرص تصور میکرد که بر هوا تکیه دارد . اما در بستر این مکاتب تخیلی، مردی وجود داشت که اندیشه هایش از
زمانه ی خود جلوتر بود و به علت اینکه ایده هایش به ضد دینی بودن متهم ،شد تبعید گردید . این شخص آناکساگوراس ( 428-499 ق.م ) بود . او ماه و سیارات را همچون زمین میدانست و میگفت آنها هم مانند زمین جامدند . پوسته ای سخت دارند و نور خورشید را باز می تابانند، و دقیقا توضیح می داد که ماه گرفتگی ناشی از حرکت ماه و قرار گرفتن آن در سایه ی زمین است. نقل از کتاب از بطلمیوس تا اینشتین نوشته میلاد اسکندری دوست)
چیزی که در کیهان شناسی یونان پایه ریز علم امروزی است توجه آنها به بررسی و تجزیه و تحلیل مشاهدات آسمانی و نوع حرکت آنهاست.
فيثاغورس (507-582 ق.م ) کروی بودن زمین را مطرح کرد که گام بزرگی به جلو بود . یکی از ساختارهای تاریخی که در آن نشانه های زیادی از توجه بشر به نجوم و مشاهده ی عمیق آسمان دیده میشود اهرام مصر باستان مربوط به پنج هزار سال پیش است. رجوع شود به کیهان شناسی مصری )
از دیگر کیهان شناسیهای تاریخی کیهان شناسی چینی است . تعیین طول سال و به استنباط ،امروزی تعداد روزهای ،سال پیشگویی خورشید گرفتگی و ماه گرفتگی بوسیله رصد ماه و خورشید در سالیان متمادی، رصد دنباله دار و جرمهای نوظهور آسمان و ساخت ابزار ابتدایی نجومی مانند
ص: 9
کره ی سماوی و غیره ( رجوع شود به کیهان شناسی چینی ) سنگ نوشته ها و کتیبه های قدیمی معادل 700 سال پیش از میلاد مسیح و نیز کتیبه ای با قدمت بیش از 2000 سال توجه بابلیان را به آسمان و نجوم نشان میدهد ( رجوع شود به کیهان شناسی بابلی)
عدم درک صحیح رخدادهای آسمانی در کیهان شناسی باستانی ، زمینه اعتقادات خرافی را فراهم مینماید تا زمانیکه علم سعی خود را در علت یابی و بررسی این رخدادها و چیستی آسمان آغاز می کند .
در کیهان شناسی یونانی نیز ردپای این خرافات دیده می شود، مانند الهه آفتاب ( هليوس ) .
بعد از این کیهان شناسی علمی شتاب بیشتری گرفت ، در قرن چهارم قبل از میلاد با تأسیس آکادمی افلاطون در آتن و تربیت شاگردی چون ارسطو ( 322 - 384 ق. م ) که به بهترین و با نفوذترین فیلسوف عصر خود تبدیل شد این حرکت علمی ادامه یافت. نظریه ارسطو این بود که زمین کروی و مرکز عالم است، در این موضع بی حرکت ایستاده است و خورشید و ماه و سیارات در مدارهایی به دور آن می چرخند . چون گروه مسلط بر نجوم و کیهان ،شناسی به نظریه ی ارسطو اعتقاد داشتند این نظریه 2000 سال بر اندیشههای اختر شناسی و جهان شناسی بشر نفوذ داشت.
نظریه ارسطو آنچنان تثبیت شده بود که تا هزاره ی دوم بعد از ارئه ی ،آن هر دانشمند و محققی مرکزیت زمین را مردود میدانست مطرود می شد .
ص: 10
در 1500 تا 1530 میلادی نیکلای کوپرنیک ،بر روی نظریه خورشید مرکزی خود کار کرد . ولی انتشار آن را به سبب ملاحظات سیاسی و مذهبی تا سالهای آخر عمر خود به تعویق انداخت .
بعد از آن تحقیقات و مشاهدات، نظریات و قوانین دانشمندانی چون تیکو براهه، دانمارکی یوهان ،کپلر ،گالیلئو گالیله ( پدر علوم تجربی ) که مشاهدات او سر آغاز علم حرکت شناسی بود تا ایزاک نیوتن متولد 1642 میلادی ،بنیانگذار مکانیک کلاسیک ، کشف قوانین حاکم بر نظام جهان و حرکت و محاسبه و فرمول بندی ریاضی آنها و کشف نیروی جاذبه که مبنای تحقیقات بعدی قرار گرفت .
نیوتن توانست حرکت سیارات را به کمک قوانین حرکت و قانون گرانش استنتاج کند. مجموعه ی سه گانه قوانین حرکت و قانون ،گرانش شالودهی فیزیک کلاسیک را تشکیل می دهد .
قانون اول: در یک دستگاه مرجع، جسمی که تحت تأثیر هیچ نیروی خارجی ،نباشد یا ساکن است و یا با سرعت ثابت در حال حرکت است .
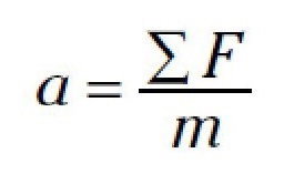
قانون دوم : شتاب یک جسم برابر است با مجموع نیروهای وارد بر جسم تقسیم بر جرم آن ، که همچون نیرو یک کمیبت برداری است ،
تصویر

قانون سوم : برای هر عملی عکس العملی ،است برابر با آن و در خلاف جهت ،آن یا هر گاه جسمی بر جسم دیگر نیرو وارد کند جسم دوم نیز نیرویی با همان اندازه و در جهت مخالف به جسم اول وارد می کند .
ص: 11
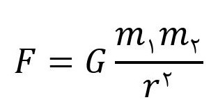
ایزاک نیوتن، در سال 1687 قانون گرانش را ارائه داد.
بنا به قانون گرانش عمومی نیوتن، اجسام هستی همواره نیرویی به نام گرانش بر یکدیگر وارد میکنند که این نیرو همواره با حاصل ضرب جرم دو جسم نسبت مستقیم و با مجذور فاصله بین آنها نسبت عکس دارد به صورت زیر بیان میشود . اگر دو جسم به جرمهای m2 و m1 در فاصله r از یکدیگر قرار گرفته باشند نیروی گرانش بین آنها از معادله ی زیر به دست می آید .
تصویر

در معادلهی گرانش G ثابت جهانی گرانش است )مقدار G در دستگاه SI برابر است با
تصویر

به دلیل مقدار بسیار کوچک G ، نیروی گرانش میان اجسام با جرمهای کم قابل چشم پوشی است .
جهان نیوتنی با فضا و زمان مطلق میباشد جهانی ایستا یعنی یک جهان ازلی پس از انتشار ،کتاب اصول ریاضی و فلسفه ی طبیعی ، توسط نيوتن.
سؤالات زیادی ذهن اندیشمندان را پر کرد .
مانند :
جهان چقدر بزرگ است ؟
آیا جهان کران دار است یا بیکران؟
ص: 12
آنچه که تناقض ،آمیز باور نکردنی یا خلاف انتظار و شهود ماست ، را پارادوکس گویند. همچنین آنچه به نظر درست میرسد ولی غلط است یا به نظر غلط میآید ولی درست است یا به نظر غلط می آید و واقعاً غلط است.
کشیشی به نام ریچارد بنتلی به نیوتن نوشت :
از آنجا که گرانش همواره نیروی جذب کننده است، پس هر مجموعه ای از ستارگان سرانجام به درون خود فرو خواهد ریخت .
اگر جهان متناهی بود آنگاه آسمان شب بجای آنکه جاودان و ایستا باشد باید به منظره ای حیرت انگیز تبدیل شود که در آن ستارگان به درون هم فرو ریخته و بصورت یک ابر ستاره آتشین در هم بیامیزند .
بنتلی، همچنین اشاره کرد ،که اگر جهان نامتناهی باشد، آنگاه نیروی وارد بر هر شیی که آن را به راست و چپ میکشد نیز بینهایت خواهد بود و بنابراین ستارگان باید طی طوفانهای آتشین به گرد و غبار تبدیل شوند و متلاشی گردند .
نیوتن دنیای نامنتاهی را ترجیح میداد ولی جهانی را که کاملاً یکسان و یکنواخت .باشد. بنابراین اگر ستاره ای از طریق تعداد نامحدودی ستاره به راست کشیده می،شود این نیرو کاملاً بوسیله یک نیروی برابر از طرف مجموعه نامتناهی دیگری از ستارگان به طرف چپ کشیده میشود . بنابراین تمام نیروها در هر جهتی خنثی شده و در نتیجه جهانی ایستا میسازند .
بنابراین اگر بپذیریم که نیروی گرانش همواره یک نیروی جذب کننده ،باشد تنها راه حل برای توضیح پارادوکس بنتلی این است که جهانی نامتناهی و یکنواخت داشته باشیم.
ص: 13
نیوتن فردی بسیار تیز هوش بود او میدانست هر چند پاسخ او از نظر فنی درست است ولی ذاتاً ناپایدار و متزلزل است .
جهان یکنواخت و در عین حال نامتناهی ،نیوتن در ظاهر پایدار ولی با کوچکترین اختلال محکوم به فروپاشی خواهد بود. در این جهان یکنواخت ناپایدار اگر یک ستاره به مقدار ناچیزی تلنگری ،بخورد منجر به واکنشی زنجیره ای خواهد شد و خوشههای ستاره ای در جا شروع به فروپاشی خواهند کرد . توجیه ضعیف نیوتن نیازمند قدرتی الهی بود تا خانه ناپایدار او را از فروپاشی حفظ کند .
او نوشت: معجزهای مداوم نیاز است تا از هجوم خورشید و ستارگان ثابت به سمت یکدیگر به واسطه ی گرانش جلوگیری کند . »
بعد از نیوتن نیز دانشمندان به شناخت جهان از طریق کیهان شناسی ادامه دادند تا دوران اینشتین.
بزرگترین دانشمند تاریخ بشریت تا این زمان آلبرت اینشتین کشف خود را در 1905 در مورد نظریه نسبیت خاص، به جهانیان معرفی کرد .
E = mc یکی از نتیجه گیریهای آن این بود که هیچ چیز نمیتواند سریع تر از نور در فضا حرکت کند.
با توجه به قانون گرانش نیوتن
تصویر

تغییر در یکی از جرمها بلافاصله بر نیروی جاذبه اثر خود را نشان میدهد بنابراین ، بر اساس نظریه نیوتن از آنجا که اثر تغییر جرم به طور آنی در سرتاسر جهان هستی احساس می.شود. اگر خورشید به طور ناگهانی ناپدید
ص: 14
شود، زمین سریعاً در امتداد یک خط مماس بر مدار حرکتش به دور خورشید قرار میگیرد و در فضا پرتاب می شود .
اینتشتین دریافت که قضیه نمیتواند به این صورت باشد . اولاً ما به مدت 8/31 دقیقه زمانی که طول میکشد تا نور خورشید به زمین برسد از ناپدید شدن خورشید مطلع نخواهیم شد. ثانیاً زمین جاذبه ی خورشید را به همین میزان دریافت میکند و فقط زمانی در خط مماس قرار میگیرد که دیگر قادر به دیدن خورشید ،نباشیم این موضوع ثابت می کند که آنچه میدان جاذبه خورشید را منتقل میکند نیز با سرعت نور منتشر میشود . در نتیجه چیزی در فضا اطلاعات مربوط به تغییر در میدان جاذبه ای را منتشر میکند اینشتین در این خصوص وجود امواج جاذبه ای برای حمل اطلاعات جاذبه بین جرمها را مسلم فرض نمود .
او نظریه نسبیت عام خود را که شامل گرانش ،بود در سال 1915 به جهان ارائه داده در نظریه نسبیّت عام اینشتین، جرم و انرژی به صورت همزمان شکل هندسی و انحنای فضا-زمان را تعیین میکنند که این مفهومی به نام گرانش را آشکار می سازد . حضور جرم خورشید منجر به ایجاد انحنا در فضا شده و از این رو زمین به دور آن در مداری حرکت می کند .
هر چند نظریه نسبیّت عام پدیدههایی را پیش بینی میکند که توسط نظریه ی نیوتن قابل پیش بینی نبوده اند، مخصوصاً مبحث گرانش و فرض وجود امواج گرانش توسط اینشتین برای انتقال میدانهای جاذبه ای در فضا ولی چون موضوع اصلی بحث این کتاب، کیهان شناسی نیست و فقط آن جلوه از نظریه نسبیت عام که در استنتاج انفجار بزرگ و لحظه آغاز بوجود
ص: 15
آمدن جهان ،مورد توجه قرار گرفته مد نظر است ،از ادامه بحث در خصوص جلوهها و تأثیرات دیگر نسبیت عام صرف نظر میکنیم و در موضوع انبساط جهان بحث را ادامه می دهیم .
در خصوص انبساط ،جهان نظریات هابل که بر اساس مشاهدات او میباشد بیشتر مطرح است ولی اولین کسی که با حل معادلات نسبیت عام اینشتین ، انبساط جهانی را نتیجه گرفت و بر اساس آن آغاز خلقت را بر اساس پدیده ای به نام انفجار بزرگ دانست یک کشیش و فیزیکدان بلژیکی به نام جرج مایتر یا ژرژلومیتر بود . پس از الکساندر فریدمان ریاضی دان روسی که معادلات فریدهان را ارائه داد در سال 1937 لمایتر قبل از دریافت دومین دکترای ،خود معادلات نسبیّت عام اینشتین را حل کرده و ثابت کرد که این نظریه یک جهان غیر ثابت را پیش بینی میکند و در حقیقت پیشنهاد میکند، جهانی که ما در آن زندگی میکنیم در حال انبساط است . این پدیده آنچنان تکان دهنده بود که خود اینشتین با لحن بدی به مخالفت پرداخت و گفت: ریاضیات شما درست ولی فیزیکتان ناپسند است . اینشتین هر چند نظریه خود را قبول داشت ولی نتیجه ای که از آن حاصل میشد را باور نداشت ، چون باور او هنوز بر جهان نیوتنی بود.
به هر حال لمایتر پیشنهاد داد بود که جهان منبسط شونده ، در حقیقت از یک نقطه بسیار ریز که او نام آن را اتم اولیه Primeval Atom) نامید نشأت گرفته است و این آغاز ، احتمالاً نشانه ای از پیدایش است
(روزی بدون دیروز )
بنابراین انفجار بزرگ که پاپ پایوس آن را اعلام کرده بود، در ابتدا توسط یک کشیش پیشنهاد شده بود .
ص: 16
نقل از کتاب (جهانی از عدم )
نوشته : لاورنس کراوس
ترجمه : سیامک عطاریان
مشاهدات کیهان شناسی و رصدهای آسمان با پیشرفت تجهیزات مشاهده ای و تلسکوپها به تأئید انبساط جهانی منجر شد و حاصل آن قانونی در اختر فیزیک و کیهان شناسی بود که فرض میکند جهان با سرعت در حال گسترش است. این اندیشه از شناخت دو پدیده حاصل شد . یکی اینکه آن دسته از جرمهای آسمانی که خارج از کهکشان راه شیری هستند و بسیار از زمین دور میباشند همگی پدیده انتقال به سرخ نشان میدهند که این خود به معنی داشتن سرعت در دور شدن از زمین می باشد .
دیگر اینکه برای ستارگانی که در فاصلههای کمتر از زمین در داخل کهکشان راه شیری قرار دارند. این شتاب دور شدن و فاصله گرفتن و انبساط وجود دارد.
از این دو واقعیت قابل مشاهده ، انبساط جهان و گسترش جهان باور پذیر بوده و میتوان وجود انبساط جهانی را پذیرفت .
در خصوص انبساط جهانی و گسترش جهان تحقیقات گسترده ای انجام شده و مطالب بسیاری توسط دانشمندان و کیهان شناسان بیان شده است ولی چون ما انبساط جهانی را به عنوان یک واقعیت غیر قابل انکار پذیرفته ایم . ادامه ی این بحث را بیش از آنچه به طور مختصر در متن گفته شد نیاز به بیانش نمیبینیم و بهتر میدانیم نیت خود را از طرح اولین نگاه به آسمان تا انبساط جهانی که منجر به ارائه ی نظریه انفجار بزرگ شد را بیان کنیم
ص: 17
. ما فقط به دنبال از کجا آمده ایم؟! هستیم . ما به دنبال این هستیم که چه فرایندی باعث بوجود آمدن کائنات شده است ؟ در لحظه آغاز خلقت چه اتفاقی افتاده است؟
ص: 18
سیری بر بیگ بنگ
در بخش اول به طور بسیار مختصر سیر اندیشهها و تلاشهای دانشمندان را بیان کردیم . دانشمندان با مشاهده ی انبساط جهان و باور این موضوع که جهان از بعد پیدایش تاکنون در حال انبساط بوده است، به این نتیجه رسیدند که با برگشت به عقب میتوانند زمان صفر جهان ،موجود یعنی لحظه ی آغاز پدید آمدن جهان را به پیدا کنند. از این رو، با مشاهده ی جهان منبسط شده ی فعلی اندیشیدند که چون جهان در طول عمر خود دایم در حال انبساط بوده، چنانچه بخواهیم به نقطه ی آغاز این انبساط باید جهان امروز را بینهایت منقبض شده در نظر بگیریم که این برگشت به عقب، در حد 0...∞ به نقطه ای تصوری میرسد، در حد هیچ تکنیگی که در آن ذره ای با چگالی جرم و حجم صفر و چگالی انرژی بینهایت در نظر گرفته میشود که ناگهان این ذره با انفجاری بزرگ ( مهبانگ ) به
ص: 19
این جهان بزرگ تبدیل شده است. در این نظریه، قبل از انفجار بزرگ هیچ چیز ، حتی فضا و زمان وجود نداشته است .
از زمان بیان نظریه انفجار ،بزرگ حتی دانشمندان و کیهان شناسان :
روحانیون و عالمان ادیان مختلف نیز مانند یهود مسیج و اسلام ، هر یک به طریقی سعی کردند آن را علت و دست مایه ی اثبات وجود خدا قرار دهند آنها اظهار میدارند که پدیده ی انفجار بزرگ، ثابت میکند پیدایش جهان آغازی دارد و چون این پیدایش از هیچ آغاز ،شده پس خالقی ( خدایی ) وجود داشته که به خواست و اراهی او جهان خلق شده باشد . عالمان یهود روشنایی که در تورات ذکر شده( Fiat lux ( let There Belight که به عنوان آغاز خلقت یاد شده روشنایی حاصل از انفجار بزرگ دانسته اند.
قابل توجه : البته این روشنایی درست است ولی از انفجار بزرگ نیست از فرایند دیگری مشابه آن است .
اما من از موضوع ناخرسندم ، اعتقاد ندارم که انفجار بزرگی پایه و اساس
جهان هستی را تشکیل میدهد . ولی هیچ منطقی به من اجازه نمیدهد که زحمات دانشمندان و محققان مخصوصاً در صد ساله ی اخیر را نادیده بگریم اکثریت نظریه ها در مورد جهان ، ریشه در مشاهدات و واقعیات انکار ناپذیر دارند، که هیچ اندیشمندی نمیتواند آن ها را انکار کند.
هیچ اهل تحقیق و جستجوگری نمیتواند قانون عمل و عکس العمل نیوتون را نادیده بگیرد. هیچ اهل فکری نمیتواند قانون گرانش نیوتن را تکذیب کند. هیچ اهل علم و کارشناسی به خود اجازه نمیدهد که انبساط جهانی هابل را تکذیب کند . هیچ واقع بین و حقیقت طلبی ، وقتی از پدیده ی انتقال به سرخ اجرام دور دست در کهکشان توسط رصدهای هابل
ص: 20
فصل اول- بخش دوم 1
21
اطلاع داشته باشد و بعنوان یک واقعیت مشاهده شده پذیرفته باشد که انبساط جهان یک واقعیت انکار ناپذیر است نمیتواند بر این نظریات ثابت شده شبه وارد کند .
پس من چه میگویم ؟!
وقتی تمام نظریات و قوانین و مشاهدات آزمایش شده ی کیهان را قبول ،دارم وقتی آنها را به عنوان واقعیت پذیرفته ام و نظر دانشمندانی که در این عرصه زحمت کشیده اند و عمر خود را فدای کشف واقعیتهای جهان کرده اند را قبول ،دارم بر چه اساسی انفجار بزرگ را نمی پذیرم ؟!!
درست دقت کنید، از نظر من یک اشتباه هوشمندانه رخ داده است اشتباهی که ریاضی و منطق صحت آن را تأیید می کند، وقتی جهان در حال انبساط را مشاهده میکنیم بسیار منطقی به نظر میرسد که برای درک تاریخ و گذشته ی جهان برگشت به عقب ،کنیم، سعی کنیم جهان منبسط شده را در حال انقباض در نظر بگیریم و اوج انقباض آن که به یک نقطه ی تکنیگی فرضی میرسیم آن را نقطه ی آغاز جهان بدانیم و برای آن فلسفه آفرینی و گمانه زنی کنیم.
تا آنجایی که مشاهدات و تحقیقات ،عینی تأئید کننده ی نظریات هستند، همه مقبول، وجود انبساط جهانی توسط محاسبات و مشاهدات تأئید شده و غیر قابل انکار است. آنچه مورد نقد است استنتاج معکوس از انبساط جهانی است.
جرج لمايتر ( ژرژ لوميتر) مسیوژرژ ژوزف ادوارد لومتر فیزیکدان ،اخترشناس و کشیش ،بلژیکی معادلات نسبیت عام انیشتین را حل کرده و ثابت کرد که این نظریه یک جهان غیر ثابت را پیش بینی می کند و پیشنهاد
ص: 21
می دهد، جهانی که ما در آن زندگی کنیم در حال انبساط است . انبساط جهانی تا اینجا فقط یک استنتاج منطقی بود . زمانی که حدود سال 1935 هابل آمریکایی با رصدهای کیهان و مشاهدات خود انبساط جهانی را تأیید می کند ،دیگر انبساط جهان تنها یک نظریه پردازی منطقی نیست، بلکه یک اصل غیر قابل انکار جهانی است.
اما ژرژلومتر 1933 در کتابی پیشنهاد داد که جهان منبسط شونده ما در حقیقت از یک نقطه ی بسیار ریز که آن را «اتم اولیه » (PrimevalAtom) نامید نشأت گرفته و این آغاز ، احتمالاً نشانه ای از پیدایش جهان است . «روزی بدون دیروز »
باید دقیت کنیم که ،هر چیزی که در زمان حال در حال انبساط است، در زمان قبل از زمان حال، منقبض تر بوده است . این یک اصل منطقی است ،و پذیرفته شده .اما یک نکته مهم را باید در نظر گرفت که ،برای هر چیزی که در حال انبساط است ،برای اینکه از گذشته ی آن اطلاعاتی کسب کنیم ،تا کجا می توانیم انقباض آن را ادامه دهیم؟ اگر منطق و ریاضیات را ،در مهندسی معکوس کردن هر انبساطی آزاد بگذاریم تا بدون هیچ قید و شرطی انقباض را ادامه دهند، آنقدر انقباض در انقباض، انقباض در انقباض و انقباض در انقباض را ادامه می دهند تا به نقطه صفر، یعنی هیچ برسند.
در خصوص انفجار بزرگ و فرض اینکه جهان از یک نقطه ی تکینه آغاز شده نیز همین اتفاق افتاده است. نخست ، منطق و ریاضیات را آزاد گذاشتند تا در موضوع انبساط جهان، افسار گسیخته به عقب بتازند . ذهن منطقی در معکوس کردن انبساط جهان ،آنقدر انقباض را ادامه داد تا به زمان صفر
ص: 22
رسید، جهان ماده نیز به یک ذره ی فرضی رسید، یک نقطه تکینگی ، یک وضعیت بسیار چگال و داغ پس از ارائه ی نظریه ی بیگ بنگ ، سالها دانشمندان و کیهان شناسان ، بارصدهای خود در کیهان به دنبال شواهدی بودند تا نظریهی انفجار بزرگ را تائید کنند. نظریهی هابل و کشف سرعت انبساط کیهان و به نقلی تابش زمینه ی کیهانی را بهترین شاهد برای نظریه مه بانگ می دانند.
یکی از موارد مهم نظریهی انفجار بزرگ این است که ،فضا و زمان هم با انفجار بزرگ به وجود آمد. در ضمن در این نظریه بوجود آمدن «همه چیز » از « هیچ چیز » یا روزی بدون دیروز، نظر دانشمندان و نظریه پردازان را جلب کرده است. این نظریه به دلیل اینکه سخن از آغاز جهان دارد مورد توجه بسیاری از روحانیون و علمای ادیان الهی هم قرار گرفته است . آنان استدلالی می کنند که چون جهان آغازی دارد بنابراین نیاز به خالق دارد و این خود دلیلی است. بر اثبات وجود خدا.
از آنجا که وجود یک نقطه ی تکینه و انفجار آن در آغاز جهان به نام مه بانگ یا انفجار بزرگ ،یک استنتاج منطقی است، نه یک اصل عینی، سوالات زیر مطرح می گردد :
با توجه به اینکه انبساط جهانی به استناد شواهد مشاهده شده ،به اثبات رسیده ، برای پی بردن به گذشته و تاریخ جهان، برگشت به عقب در انبساط و رفتن به سوی انقباض جهان ،امری منطقی است ، اما ؛
1- شما از کجا اطمینان داشته اید که جهان فعلی، کیهان در حال انبساط، از هیچ به وجود آمده است که در نظریه خود انقباض را تا زمان صفر، مرز دنیای هیچ و دنیای ماده، ادامه داده اید ؟
ص: 23
2- شما اعتقاد دارید ، فضا همزمان با کیهان ایجاد شده و همگام با آن در حال انبساط است. این فضای مورد نظر شما در کجا منبسط می شود؟
3- شما انبساط جهانی و مخصوصاً تابش زمینه ی کیهانی را دلیلی به وجود انفجار بزرگ می دانید. آیا هیچ اتفاق یا پدیده ی دیگری نمی توانسته آغازگر جهان باشد که هم انبساط را در پی داشته باشد و هم آنقدر داغ تابنده باشد.
4- پس از انفجار بزرگ داغ و آتشین ،گرما توسط چه منبعی جذب شده که جهان سرد گردیده است؟
5- در نظریهی شما واقعیتهایی مانند ماده تاریک و انرژی تاریک جایگاهی ندارند، در حالی که اکثریت چگالی جهان را تشکیل داده اند؟
6- آیا اتفاق دیگری نمی توانسته باشد، که همه ی آثار مه بانگ ،مانند : آنچه قبلاً گفته شد و حتی صدا و نور مه بانگ و بلافاصله پس از آغاز ، هسته زایی نیز در آن اتفاق افتاده باشد؟
7- در علم کنونی کیهان شناسی که بر بیگ بنگ ( انفجار بزرگ) متکی است، ماهیت ماده تاریک و انرژی تاریک هنوز شناخته نشده است، حتی اگر روزی ماهیت آنها شناخته شود ،سوال جدیدی مطرح خواهد شد و آن این سوال است که، منشأ و مبدأ انرژی تاریک و ماده ی تاریک چیست ؟ !
در بیگ بنگ چون جهان موجود از عدم و هیچ چیز پدید آمده، هیچ جوابی برای این سوال وجود ندارد. چنانچه بر فرض محال، انفجار بزرگ در پی یافتن منشاء و مبدأ انرژی تاریک و ماده ی تاریک باشد، نخست باید خودش را تکذیب کند!
ص: 24
انرژی تاریک ، نوع ناشناخته ای از انرژی است که همه ی فضا را به صورت فرضی در بر می گیرد و سرعت انبساط جهان را افزایش می دهد . قابل قبول ترین فرضیه ای که آهنگ رو به افزایش انبساط جهان ( انبساط با شتاب ) را توضیح می دهد ،فرضیه ی انرژی تاریک است (Darknergy) در مدل استاندارد کیهان شناسی بنا بر هم ارزی جرم - انرژی ، جهان دارای 68/3 ./.انرژی تاریک از مجموع کل جرم و انرژی جهان است.
ماده تاریک( Dark Matter) ، فرضیهه ی ماده تاریک در اختر شناسی و کیهان شناسی برای توضیح پدیده هایی است که به نظر می رسید ناشی از وجود میزان خاصی جرم است که از جرم موجود مشاهده شده در جهان بیشتر می باشد. بر اساس هم ارزی جرم - انرژی ، 26/8% کل جرم و انرژی جهان را ماده تاریک تشکیل می دهد .
بنابراین از مجموع کل جرم و انرژی جهان /95%95/1 ماده و انرژی تاریک است و تنها %4/9 کل جرم و انرژی جهان را جرم و انرژی شناخته شده تشکیل میدهد . البته چنانچه نظریه جدیدی ارائه گردد، آن نظریه میبایست بتواند مواردی را که تحقیقات علمی و کیهان شناسی تاکنون کشف کرده و طبق مشاهدات وجود آنها انکار ناپذیر است را توجیه کند. مانند انبساط جهانی تابش زمینه کیهان و غیره اگر نظریه جدید بتواند یک هر چند احتمالی برای ماده تاریک و انرژی تاریک نیز معرفی کند این نظریهی ،تازه ارزش بیشتری برای تحقیق و بررسی و یافتن حقیقت خواهد داشت .
با اینکه نظریهی بیگ بنگ ( انفجار بزرگ ( مورد پذیرش بسیاری از دانشمندان و پژوهشگران قرار گرفت و بسیاری از مشاهدات کیهان
ص: 25
شناسی مهر تأئیدی بر وجود آن بود اما هنوز پرسشهای بی پاسخ زیادی وجود داشت و معادلات حل نشده ای را به دنبال داشت و همین موضوع اندیشمندان را در پی نظریه ها و راه حلهای جدیدی میفرستاد. از جمله آنها نظریه ریسمان حالت پایا و....
اصول و معادلات اینشتین هر چند در مقیاس بزرگ و فضا مفید واقع شد و امواج گرانش را بیان نمود اما در مقیاس اتمی در مقابل نیروی الکترومغناطیس نا کار آمد بود . از قوانین نیوتن اینگونه بر می آمد که نیروی گرانش بسیار قوی را معرفی مینمود و در مقابل نیروی الکترومغناطیس بین ذره ای پاسخگو نبود نه در شناخت علمی اینشتین نه نیوتن رفتار ذرات ریز درون اتمها قابل شناخت و بررسی ،نبود در اینجا بود . که مکانیک کوانتوم بنا نهاده شد . در دنیای کوانتوم بخت و اقبال بر همه اتفاقات حاکم است كلاً در سطح کوانتوم عدم قطعیت حاکم است و فقط میتوان احتمال و شانس وقوع یک پدیده را اندازه گیری کرد. مکانیک کوانتوم همهی کارکردهای طبیعت به جز جاذبه را در مقیاس میکروسکوپی برای ما توضیح می دهد.
به چالش کشیدن نظریه بیگ بنگ هم چنان ادامه دارد .
دو نظریه از دانشمندان ایرانی ،نیز در این بین مد نظر دانشمندان و پژوهشگران قرار گرفته است .
بسیاری از دانشمندان بر این باورند که نظریه ریسمان وقتی حقیقت می یابد که 9 بعد فضایی و ریزتابی یک بعد زمان داشته باشیم.
در بیگ بنگ و ریسمان هر کدام یک بعد زمان تعریف میشود . آقای پروفسور کامران وفا از دانشگاه هاروارد، با ارائه نظریه ای به نام نظریه F ،
ص: 26
احتمال دو بعدی بودن زمان را مطرح کرده است در این صورت زمان به جای خطی ، صفحه ای خواهد بود.
این نظریه چالش فراوانی در تعریف متعارف از جهان هستی ایجاد می.کند آیا این بعد اضافی زمان یک ساز و کار ریاضی است برای حل معادلات حل نشده ،جهان یا واقعاً نشان دهندهی یک بعد زمانی جدید در کائنات است؟
در این گفتار ما در پی توضیح و تشریح این نظریه ها نیستیم فقط به دنبال این واقعیت هستیم ،که وجود پرسشهای بی پاسخ باعث شده روز به روز نظریه ای جدید مطرح گردد. از جمله نظریه منبع تولید و محل جذب پروفسور دکتر محسن شریف پور از دانشگاه پرتوریا ارائه کرده است .
دکتر شریف پور در این نظریه با به چالش کشیدن بیگ بنگ میگوید :
تمايل من برای پیدا کردن پاسخ سؤالات بدون پاسخ بوده است . آیا مه بانگ ( انفجار بزرگ ( بخشی از طبیعت بود و اگر چنین بود آیا الگویی برای آن از ابتدا وجود داشته است ؟
جهان قبل از انفجار بزرگ چه شکلی بوده است ؟
منشأ احتمالی آن انرژی که باعث این انفجار بزرگ شده چیست ؟
او میگوید: طبق مطالعات من همه چیز در طبیعت در جفتهای دو تایی یا مخالف هم مانند مرد و زن الکترون و پوزیترون ، قطبهای مغناطیسی و ماده و ضد ماده اتفاق میافتد .
اگر یک جسم داغ وجود داشته باشد گرما به علت قانون همرفت به طرف جسم سرد تر حرکت میکند این یک الگوی جهانی است که به ما کمک میکند تا یک نظریه جدید را برای جهان آغازین ارایه دهیم . او ادامه
ص: 27
میدهد با فرض وجود بیگ بنگ، باید از خودمان بپرسیم که اتفاق متقابل یا جفت آن چیست ؟
نظریه او موسوم به نظریه منبع و جذب » می گوید :
اگر یک منبع از انرژی مانند بیگ بنگ وجود داشته باشد ، باید هم زمان حداقل یک مکان نیز برای دریافت و جذب انرژی این منبع وجود داشته باشد که این انرژی با الگوی خاصی از منبع انرژی به آن مکان برود و این فرایند باید قانون بقای انرژی را نقض نکند .
نظریه پرفسور شریف ،پور نظریه منبع و جذب بسیاری از سؤالات واقعی و مطالب اندیشمندانه ای را مطرح می،کند که نظریه جدید ما پاسخگوی آنها است . ولی تکیه بر رعایت و حفظ قوانینی مانند اصل بقای انرژی دارد که در آغاز خلقت که هیچ انرژی و ذرهای قانونمند وجود نداشته هنوز تعریف و تثبیت نشده بوده است .
ص: 28
دانشمندان و پژوهشگران ،کیهان مخصوصاً پس از بیان قانون گرانش توسط نیوتن و بعد از آن نسبت خاص و عام توسط انیشتین ، و بیان و تأئید انبساط جهانی و وجود پرسشهای بسیاری که پاسخ آنها در بیگ بنگ نیز یافت نمی شد، سعی داشته اند و دارند که با پژوهش در وضع موجود جهان و استنتاج از واقعیتهای قابل مشاهده یا قابل محاسبه ی ریاضی ، با یک برگشت به عقب منطقی به وسیلهی حدس زدن و گمانه زنی ، آغاز جهان موجود را بیابند و برای رسیدن به این هدف و اثبات گمانه زنیهای خود چه از نظر نیروی انسانی و چه از نظر زمان و ارز و بودجه بسیار هزینه می کنند .
ص: 29
ژورژ ،لومیتر پس از حل معادلات نسبیت عام اینشتین و دریافت انبساط جهانی با یک برگشت به عقب منطقی از طریق انقباض جهانی در اوایل دهه ی 1930 میلادی پیشنهاد داد که جهان منبسط شونده ی ما در حقیقت از یک نقطه ی بسیار ریز که او آن را اتم اولیه» نامید نشأت گرفته است و این اولین پیشنهاد انفجار بزرگ بود .
ژورژ لومیتر ، با این ،کار روشی را بنا نهاد که دانشمندان تا این لحظه فکر میکنند تنها راه برای پی بردن به حادثه ای است که باعث پدید آمدن جهان کائنات شده است و آن روش مشاهده و محاسبهی وضع موجود و برگشت به عقب منطقی بوسیلهی محاسبات و گمانه زنیهای متوالی است این روش برگشت به عقب ، تبدیل به تنها دالانی شده که محققین فکر می کنند برای درک آغاز جهان فقط باید از این دالان قفس گونه عبور این روش برگشت به عقب ،منطقی که بر پایهی مشاهدات و محاسبه ها و گمانه زنیها ،است به غیر از انفجار بزرگ ، دامنگیر دیگر نظریه ها هم شده است.
روش برگشت به عقب منطقی و تجربه و مشاهدات کیهان شناسی، میتواند اطلاعات مفیدی از گذشته و تاریخ وجود کائنات به ما بدهد و احتمالاً حوادثی را تا چند میلیارد سال پیش ، در رصدهای خود که بر پایه گمانه زنی هاست ، کاوش کنند ولی هرگز به لحظه و نقطه ی آغاز جهان نخواهند رسید. چون این برگشت به عقب بر پایه ی محاسبه ها و مشاهدهها و گمانه زنیهایی است که بر اساس قوانین فیزیک هستی بیان و استنتاج شده است .در حالی که در لحظه آغاز ،جهان جهان کاملاً کاتورهای و در هم بر هم بود یعنی در نقطه آغاز جهان ،این قوانین و اصول وجود نداشته و بعد از شروع پیدایش کائنات طی فرایند
ص: 30
تثبیت ،پیدایش به مرور بر هستی حاکم شده است. پس چگونه انتظار است که بوسیلهی گمانه زنی بر پایه ی این قوانین و اصول و محاسبات از زمانی که هیچ یک از این قوانین و اصول وجود نداشته است اطلاعاتی کسب کرد و به لحظه ی آغاز جهان پی برد ؟!
در این مقوله ما با بیان و ارائه ی نظریه جدید « شکافت بزرگ » در صدد آن هستیم که از تونل و دالان برگشت به عقب منطقی که توسط ژورژ لوميتر ( جرج لمایتر ) و دیگر نظریه پردازان بکار گرفته ،شده استفاده نکنیم . !
در نظریه جدید شکافت بزرگ «BigFission»، بررسی احداث کائنات از نقطه ی اولیه آن آغاز میشود و سعی دارد هیچ یک از واقعیات مشاهده شده جهان فعلی را از نظر دور ندارد .
نظریه شکافت بزرگ باید واقعیتهای انکار ناپذیر جهان موجود از قبیل موارد زیر را در خود داشته باشد
1- انبساط جهانی
2-داشتن آغازی بسیار داغ و منبع تابش پس زمینه ی کیهانی
3- مشخص شدن منبع جذب گرما جهت سرد شدن جهان پس از آغازی داغ
4- تائید و توضیح آنچه در رصدهای کیهان شناسی و کاوشها و پژوهشهای ذرات کوانتومی به عنوان یک واقعیت موجود پذیرفته شده یا خواهد شد. نظریه شکافت بزرگ بایستی مقدمات پاسخ به سوالات موجود، مانند موارد زیر را فراهم کند .
1- حتى الامكان منشأ قابل قبولی برای ماده ی تاریک معرفی کند .
ص: 31
2- حتى الامكان منبع و منشأ قابل قبولی برای انرژی تاریک مشخص نماید. -3 منشأ قابل قبولی بعنوان منبع انرژی لازم برای ایجاد شکافت بزرگ معرفی نماید .
4- شکافت بزرگ و مراحل اولیه آغاز جهان از قبیل فعالیتهای هسته زایی و هم جوشیها و شکافتهای بینهایت هسته ای که در جریان شکافت به طور کاتورهای در حال انجام است، مراحل اولیه را بسیار داغ نموده که سرد شدن آن برای تولید کائنات و مواد نیاز به منبع جذب دارد در شکافت بزرگ باید منبع جذب این گرما مشخص شود .
همانگونه که گفته شد ، در نظریاتی که تاکنون برای درک و شناخت آغاز جهان مطرح شده مانند بیگ بنگ ( انفجار بزرگ) ، نظریه های ریسمان نظریه منبع و جذب و غیره، با استناد و تکیه بر مشاهدات و محاسبات اثبات شده ی دنیای موجود بوسیله یک برگشت به عقب منطقی و گمانه زنی سعی در شناخت نقطه آغاز داشته اند ولی در نظریه جدید شکافت بزرگ ، نخست با گمانه زنیهایی، لحظه آغاز پیدایش جهان کائنات را به شکلی بیان میکنیم که بتواند پس از میلیاردها سال چهره ی امروزی جهان را ساخته و پرداخته باشد.
ص: 32
ثُمَّ اسْتَوَى إِلَى السَّمَاءِ وَ هِيَ دُخان ( سوره فصلت – آیه – 11)
آنگاه که خداوند تصمیم به خلقت آسمانها گرفت ، همه جا دود بود.
همه جا دود همه جا سیاه همه جا ،تاریک جوهایی در هم تنیده سیاه و تاریک که فقط میتوان به شکل دود آن منظره را در ذهن تصور کرد، اما بدون هیچ حرکتی ، چون هنوز هیچ جفتی وجود نداشت که تأثیر متقابل آنها بر یکدیگر حرکت را بیافریند و به همین سبب بینهایت سرد بود .
جوهایی موهومی ، نه ماده ،بود نه انرژی . اما مستعد . استعداد غریبی در تبدیل شدن داشت. جوهای بنیادین ، تبدیل به ذره ، انرژی و ...
ص: 33
1- در نظریه ما که آغاز پیدایش جهان کنونی را توصیف میکند بنام نظریه ی «شکافت بزرگ » کل کیهان و آسمان ها ، از این جوهای در هم تنیده ی دود مانند و در حفره ای در درون این جوها بوجود آمده است.
در این نظریه ، سوالی که مطرح میشود این است که این جوهای تاریک و سردی که زیر ساخت جهان کائنات قرار ،گرفته از کجا آمده است؟ در پاسخ باید گفت : احداث طبیعت و حاکم شدن اصول و قوانین طبیعی از جمله اصول و قوانین فیزیک بر کیهان، پس از پیدایش و خلقت آن اتفاق افتاده است. بنابراین با برگشت به عقب منطقی توسط این اصول و قوانین نمیتوان به نقطه ی آغاز پیدایش جهان پی برد. در نتیجه علوم طبیعی از جمله ،فیزیک که بر پایه ی این اصول و قوانین استوار است برای شناخت قبل از آفرینش کیهان و کائنات که هیچ اصل و قانونی حاکم نبوده ، هیچ وسیله ی شناختی و کاربردی ندارد .
اما در علم فلسفه علوم توحیدی پاسخی در خور در خصوص وجود این جوهای تاریک و سرد وجود دارد ولی بیان آن در این مقوله ای که پایه و اساس آن نظریههای علوم طبیعی و فیزیک است و از پیدایش کیهان و کائنات آغاز میشود نیازی نیست ، همچنانکه:
الف) در نظریه ی انفجار بزرگ ( بیگ بنگ ) نیز ، بیان نشده است که ، اتم اولیه که با انفجار آن جهان تشکیل شده از کجا آمده و در چه فضایی وجود داشت و منفجر شده است؟
ب ) در نظریه ی ریسمان نیز ، بیان نگردیده که منشاء ریسمانهای اولیه از چیست و در چه فضایی وجود داشته است؟
ص: 34
پ ) الى آخر.
اما در خصوص جوهای بنیادین خلقت کیهان و کائنات ، در نظریه ی ، شکافت بزرگ ، چنانچه دانشمندان و علمای پژوهشگر فرهمند پیگیر باشند؛ توجیه و توضیح مناسب ارائه خواهد شد .
قبل از پیدایش آسمانها قبل از خلقت ،کائنات جوهای سرد و تاریک بود هستی ،بود وجود ،بود ولی موجودی .نبود کیهان و آسمانها از موجودات هستند که از فرآیندهای خلقت میباشند اما هستی و وجود تالی خلقت ،نیستند در حالی که عام و فراگیرند.
آنگاه که خداوند تصمیم به خلقت آسمانها ، از جو تاریک و سرد گرفت،
أحال الاشياء لا وقاتِها (1)
پیدایش اشیاء و اجرام را به وقت خود محول نمود تا مقدمات و مصالح اولیه ی آن آماده شده باشد.
وَلاءَمَ بَينَ مَخْتلِفاتِها (2)
و سازگاری و موافقت ایجاد نمود بین ذرات مختلف و گوناگون جوها (3)
نکته از این مقول بر می آید که : 1- جو تاریک و سرد از ذرات موهومی با طبیعت ها و استعدادهای گوناگون و مختلف برای تغییر و تبدیل و ترکیبات تشکیل شده است .
2- جو تاریک و سرد قبل از خلقت انباشتی از ذرات و کوانتیده بوده و امکان ایجاد حفره و شکاف در آن وجود داشته است.
ص: 35
پس از مشخص شدن ذرات و تکه های سازگار و موافق و ذرات متفاوت در جو تاریک و سرد خنثی و بدون حرکت .
وَ غَرَّزَ غَرائزها (1)
و غرائز و تمایل و طبیعت جفتها و زوجین ، القا و نمودار شد.
با برقراری سازگاری بین ذرات موهومی موافق و ذرات غير موافق ، و پدیدار شدن غریزه و تمایلات ذرات ، بر هم کنش جفتها، جذب و دفع هل دادن و کشیدن آغاز شد از این لحظه دو عامل فیزکی نیرو و حرکت جلوه گر شد و مفاهیمی چون مسیر حرکت ذرات ، فاصله ذرات از یکدیگر در موقع جذب یا دفع ، مکان و زمان و جابجایی معنا پیدا کرد. در این زمان جفتهای مولد پدیدار شده بودند. با پدیدار شدن جفتها و جذب و دفع آنها ، نخستین واکنشها و بر هم کنشها برای فراهم ساختن زیر ساختهای خلقت مهیا شد .
تا اینجا حرکت ها، کاتورهای و بدون حساب و کتاب است . برای آماده شدن زمینه خلقت ،آسمان ها بایستی این بر هم کنش ها بر اساس قواعد و الزامات خاصی انجام شود .
وَ أَلزَمَها أَشباحَها (2)
ذرات را ملزم ساخت که در اطراف و مسیر حرکت خود شبحهای خود را ایجاد .کنند از این لحظه الزامات و رعایت حدود حرکت بر ذرات فرض می شود. برای درک بهتر اشباح ،ذرات جملههای زیر نیز از ادامهی خطبهی علی ابن ابی طالب باید در نظر گرفته شود.
ص: 36
عالماً بها قبل ابتدائها (1)
خداوند با علم به نقطه ی آغاز حرکت ذرات
مُحيطاً بحُدُودِها وَ إنتهائها (2)
ذرات را ملزم ساخت بین نقطه ی معین ابتدا و نقطه ی انتها در فضای معین شده و احاطه شده به حدود خاص جابجا شوند. در این نوع حرکت معین شده ی ذرات ،
عارِفاً بقرائنها و أحنائها (3)
احناء ، جوانب ، (4) کلیات و جزئیات رفتار ذرات کفو، همانند و نظیر،(5) معین بود. بر اساس یک احتمال و نظریه ، در قول ، الزمَها أَشباحَها ، موارد زیر را مرور می کنیم .
شبح = کالبد ، سیاهی ، جلوه و نماد شیئی که از دور به نظر می رسد. (6)
حال این سوال پیش میآید که شبح و اشباح این ذرات موهومی چیست؟ مثال : اگر یک نفر یک آتش گردان را به سرعت بچرخاند، ناظری که با فاصله ای مقابل او ایستاده، یک دایره آتشین قرمز مشاهده می کند، آتش بر محیط یک دایره میچرخد و هر لحظه در یک نقطه از محیط دایره حضور
ص: 37
دارد و دیگر نقاط قرمز و آتشین محیط دایره فقط نماد و جلوه و به عبارتی شبح ذره ی آتش در حال چرخیدن است مولانا در این خصوص میفرماید:
آن ز تیزی، مستمر شکل آمدست***چون شرر، کش تیز جنبانی به دست
مثالی دیگر ، ملخ یک هواپیما را در نظر بگیرید . اگر موتور هواپیما روشن ،شود دیگر ملخ هواپیما قابل رؤیت نیست بلکه فقط یک صفحه ی گرد و به عبارتی یک دیسک مشاهده میشود که در هر لحظه پره ی ملخ هواپیما در نقطه ای خاص از دیسک مشاهده شده حضور دارد و بقیه نقاط دیسک فقط ،نمادها جلوهها و اشباح ملخ هستند .
مثالی دیگر برای اهل علم، ابر الکترونی است. الکترون ها در مدار خود آنقدر با سرعت ارتعاش می کنند که در فضای ارتعاش الکترون ابری از اشباح الکترون تشکیل میشود و احتمال حضور الکترون در هر لحظه در یک نقطه از این ابر امکان پذیر است و بقیه نقاط ابر الکترونی اشباح الکترون می باشد.
خداوند باری تعالی با آگاهی که از عوارض و جوانب و قرائن و شواهد حرکت ذرات باردار شده داشت حرکت ذرات را بین نقطه ی ابتدا و نقطه انتها محدود ساخت و الزام به اشباح ، نشان از این امر دارد که حرکات رفت و بر گشت و ارتعاشی با سرعت بسیار زیاد بوده است .
اگر بر هم کنش جفتها و ذرات در فضایی محدود انجام نمیشد با توجه به چگالی بسیار بسیار کم ذرات فعال و باردار شده نسبت به چگالی بینهایت جو خنثی و تاریک و سرد پیرامونی ، ذرات فعال شده با پرتاب به اعماق جو خنثی محو و غیر فعال میگشت. از طرف دیگر برای آماده شدن زمینه
ص: 38
پیدایش فرایند عظیمی مانند خلقت، لازم بود که کلیه ی انرژی های بر هم کنش های ذرات و جفتهای فعال شده در فضای محدودی متمرکز شود تا توان فعل انفعالات عظیم تأمین گردد .
بر هم کنش جفتها و ذرات شتابدار در این فضای محدود و برخوردهای ذرات شتابدار منجر به پدیدار شدن بعضی هسته ها و اتمها گردید مانند هیدروژن H ، دوتر یوم H2، و تریتیوم H3 و احتمالاً برخی عناصر سنگین تر که زمینهی ،جرقه،ها تابشها و انفجارهای لحظه ای را در آن فضا فراهم نموده بودند.
این برخوردها و واکنشها و هسته زایی و پدیدار شدن بعضی عناصر و سپس محو آنها و پیدایش مجدد آنها لحظه به لحظه شدید و شدیدتر می شد.
تا این لحظه تمام فعل و انفعالات ، درهم برهم و کاتورهای و بدون هیچ نظم و نظام مشخص بود .
علی ابن ابی الطالب پس از مقدمات فوق میفرمایند:
ثُمَّ أَنْشَأَ سُبحانَهُ ، فَتَقَ الأجواء (1)
آنگاه خداوند پاک و منزه از هر اشتباهی آغاز کرد و جوهای نامتناهی را
شکافت
چون جوهای خنثی و سرد و تاریک در همه ابعاد تا بینهایت گسترده است این شکاف در بطن جوها ایجاد شده و حفره ای عظیم در دل جوها ایجاد نمود. برای تجسم این شکاف در بطن ،جوها از یک مثال عینی که اکثراً مشاهده کرده ایم استفاده میکنیم .
ص: 39
هندوانه ای را در نظر میگیریم که از فرط ،رسیدن، گل وسط هندوانه شکافته و چهار قاچ میشود و حفره ای در وسط هندوانه ایجاد میشود در حالی که پوسته هندوانه کاملاً سالم است و حتی خراشی برنداشته است دور تا دور حفره وسط هندوانه را گوشته و پوسته ی دست نخورده ی هندوانه فرا گرفته است.
بین شکافت گل وسط هندوانه رسیده و شکافت بطن جوها در آغاز خلقت شباهتهای وجود دارد به شرح زیر :
1- وقتی به علت رسیدن بیش از حد هندوانه گل وسط آن شکافته و چهار قاچ میشود گوشته هندوانه و پوسته آن پیرامون شکافت، سالم و دست نخورده باقی میماند . در شکافت جوهای تاریک و سرد نیز در آغاز خلقت جو ،پیرامونی شکافت را احاطه کرده است.
2- فرض کنید بادکنکی را پر از هوا کرده و آن در مقابل دوربینی بترکانید، در حالی که از لحظه ی ترکیدن آن فیلمبرداری ،شود سپس فیلم را با دور آهسته تماشا کنید. در لحظه ترکیدن بادکنک مشاهده میکنید که ذرات ریز و تکه هایی از بادکنک در فضا معلق است .
چنانچه بتوانیم در وسط ،هندوانه طوری یک دوربین فیلمبرداری را جاساز کنیم که هیچ آسیبی به پوسته و گوشه ی هنداونه نرسد ، حتی سوراخ بسیار ریزی هم در آن ایجاد نشود . موقع ترکیدن و لحظه ی شکافت گل وسط هندوانه ی رسیده ، در حفره ایجاد شده قطرات آب و ذرات ریز و میکروسکوپی گوشته ی هنداونه در فضای شکافت آن معلق است . در شکافت
جوهای سرد و تاریک هم که در بطن جوها ایجاد شده ذرات موهومی جو در فضای شکاف باقی می ماند، این ذرات موهومی ، ذرات بنیادی خلقت و
ص: 40
باقی مانده ی آن ماده ی تاریک و عوارض ،آنها قسمتی از انرژی تاریک را تشکیل میدهد و بر انرژی دیواره های جو تاریک و سرد در شکاف (انرژی امواج مکفوف )مزید میگردد.
وَشَقَّ الأَرْجاءِ (1)
و گوشه های آن را باز کرد .
اگر در شکاف گل وسط هنداونه دقت ،کنیم شکافی که گل هندوانه را چهار قاچ ،کرده دارای گوشه های زیادی است . چنین حفره ای در مقابل فشارهای پیرامونی ناپایدار .است در شکافت جوهای تاریک و ،سرد پس از شکافت ، گوشه ها با ادامه بر هم کنشهای ذرات باز شد تا تقریباً شکل قوس بخود بگیرد و حفره ی ایجاد شده پایدارتر باشد. قبل از پرداختن به مراحل بعد آنچه گذشت را مختصر مروری میکنیم تا بدانیم تا این لحظه چه مصالح و عواملی برای ایجاد شکافت و پیدایش خلقت آماده شده است و چه عوامل مخرب و مانعی وجود دارد که باید تأثیر آنها در فرایند ،خلقت به حداقل رسانده شود. در این خصوص وجود احتمالات زیر را فرض می کنیم .
1- با مشخص شدن ذرات موهومی سازگار و فعال شدن غرایز و جذب و دفع بین ذرات جفت ذرات ، نمودار شدند.
2- در جهان امروزی مهمترین و مبنایی ترین جفتهای مولد جفتهای باردار هستند . به نظر می رسد ، در لحظات - 10 ثانیه قبل از شکافت و برای تأمین انرژی ایجاد شکاف بر هم کنش جفتهای باردار به حد اعلا
ص: 41
رسیده باشد بنابراین از اولین غرایز ذرات موهومی هویدا شده که جذب و دفعها و حرکت آنها را در پی ،داشته احتمالاً بار الکتریکی ، بوده و باعث ظهور جفت ذرات مثبت و منفی شده است .
3- بر هم کنش ذرات باردار منجر به حرکتهای بسیار سریع و شتابدار و ارتعاشی و تولید فضاهای محدود اشباح ذرات یا همان ابرهای ذرات باردار شد.
4- حرکت ذرات باردار درهم و برهم موجب پدیدار شدن جریانهای الکتریکی شده بود.
5- وجود حرکتهای ارتعاشی و تولید جریان الکتریسیته موجب پیدایش میدان های الکتریکی و مغناطیسی شده بود .
6- حرکتهای ذرات باردار بین نقطه ی ابتدا و انتها ، حرکت ارتعاشی و رفت برگشت های متوالی را آفرید، با دوره تناوبی خاص و هر لحظه تند شونده .
7- دوره تناوب حرکت ذرات باعث جریان متناوب الکتریسیته و میدانهای الکتریکی و مغناطیسی متغیر و در نتیجه پیدایش امواج الکترومغناطیسی و نور گشته بود .
8- با پدیدار شدن امواج الکترومغناطیسی قبل از شکافت جوها، فضای محدود بر هم کنش ،ذرات با تناوبهای متفاوت ذرات باردار با فرکانسهای متفاوت امواج الکترومغناطیسی از گرما امواج رادیویی تا نورهای درخشان و تأثیرات شیمیایی این امواج متأثر بود.
9- در فضای محدود بر هم کنشهای جفت ،ذرات در اثر حرکت بسیار سریع و شتابدار ذرات باردار و برخوردهای بینهایت محیطی بسیار بسیار داغ و
ص: 42
درخشان و پر نور ایجاد کرده بود که هسته زایی در آن فضا بسیار محتمل بود. بسیاری از هسته ها در برخورد با ذرات پرشتاب متلاشی میشدند و برخوردهای پی در پی ذرات شتابدار با هسته های بوجود آمده، میلیون - ها، بلکه میلیاردها انفجارهای هسته ای پی در پی و متوالی هر لحظه فضای محدود را داغ تر و درخشان تر می ساخت .
10- اما، فضای محدود بر هم کنش جفتها که بسیار داغ و درخشان شده ،بود بعنوان منبع گرم و نورانی و جوهای سرد و تاریک اولیه ، بعنوان منبع سرد و جذب ، در تماس با هم بودند و هیچ عایقی بین این دو منبع گرم و جذب وجود نداشت .
بنابراین منبع سرد جو سرد و تاریک ، مانند هیولایی ، گرما و نور و ذرات را می بلعید و انرژی تولید شده در فضای محدود را کاهش می داد .
11- وقتی عایقی برای جدا سازی دو منبع گرم و سرد وجود ندارد و منبع سرد گرداگرد و کل پیرامون منبع گرم را فرا گرفته و منبع گرم سعی دارد جهت ایجاد شکاف انرژی لازم را در مرکز خود متمرکز کند اتفاقی که رخ می دهد چنین است.
در کل فضای محدود بر هم کنشها ، برخوردها انفجارها ، شکافتهای هسته ای و امواج و انرژی الکترومغناطیسی تولید شده وجود دارد و در سطح تماس با منبع سرد و تاریک بلعیده می شود .
در کناره های فضای محدود بر هم کنشها که انتهای مجاز جابجایی ذرات ،است ذرات در حال برگشت و ذرات شتابدار سریع در حال رفت تجمع عظیمی ایجاد میکنند و انرژی فراوانی تولید مینمایند و بلافاصله توسط منبع سرد و تاریک بلعیده میشود . اما هم زمان ذرات بعدی جای
ص: 43
آنها را پر می کنند .ولی در مرکز فضای محدود بر هم کنشها و انفجارهای میلیاردی هر لحظه بیشتر و بیشتر می شود . تا اینکه تمرکز انرژی در مرکز و داغ و درخشان شدن نقطه ای از مرکز که داغ تر و درخشان تر از نقاط پیرامونی است و به طور پی در پی و هم ،زمان میلیاردها انفجار عظیم در آن رخ میدهد ناگهان باعث پاره شدن و شکافت جوها میگردد و انرژی با چگالی بینهات متمرکز شده در آن مرکز ، تا حدی دیواره های شکاف را به عقب هل میدهد و حفره ی اولیه شکاف را ایجاد می کند .
برای تجسم تمرکز انرژی در مرکز فضای محدود و ایجاد شکافت میتوان تمرکز نور خورشید توسط یک ذره بین بر روی یک کاغذ را مثال زد ، در تمرکز نور خورشید توسط ذره بین روی کاغذ، هر چند اطراف نقطه تمرکز گرم میشود ولی در اثر تماس با منبع جذب گرمای آن کم است ولی هم زمان نقطه ای که در وسط نور خورشید متمرکز شده آتش گرفته و کاغذ سوراخ می شود .
حال با در نظر داشتن گمانه زنیهای احتمالی فوق به متن بر می گردیم و موضوع را پس از ایجاد شکاف در جوهای سرد و تاریک و باز کردن گوشه های آن پی می گیریم.
وَ سَكَائَكَ الْهَواءِ (1)
و فضای شکاف و حفره ایجاد شده را جوی رقیق مانند هوا پر کرد. آنچه مسلم است جو رقیقی مانند ،هوا از درهم تنیده شدن گازهای بسیار داغ است و در نتیجه داغی و گرمای بیش از حد گازها، برخی اتمها و ملکولها
ص: 44
پدید می آیند. بنابراین میتوان احتمال داد که در بر هم کنشها و داغی فرایند شکاف اتم بعضی عناصر و احتمالاً با کاهش و افزایش دما و نوسانات دما و برخوردها ، برخی مولکولها نیز پدیدار شده باشند و در دمای بینهایت داغ بعضی ،مواد گازها جو رقیق فضای شکاف را تشکیل داده بوده اند.
فَأجرى فيها ماءً مُتَلا طماً تَيَارُهُ (1)
پس در آن آبی با موجهای متلاطم که روی هم می غلطید مهیا شد. در این قطعه ،منظور از آب لزوماً ، آبی از جنس آب دریاها یا نوشیدن HO نیست. از قدیم ذوب کردن اجسامی مثل فلزات را آب کردن می گفتند. وقتی از آب کردن یک قطعه طلا می گفتند منظور مذاب آن فلز بود.
در فضای بینهایت داغ داخل شکاف مایع شدن آب معمولی مفهومی نداشت.
سؤال : آب گفته شده یا بقولی اقیانوس عظیم مذاب بوجود آمده چگونه تشکیل شده است ؟
پس از ایجاد شکاف و پر شدن فضای آن با جوی از گازهای رقیق بینهایت ،داغ، جو تاریک و سرد که همچون پوسته ای پیرامون فضای شکاف را در بر ،گرفته گرما و نور فضا را می بلعد و فضای داخل شکاف ضمن سرد شدن ، در طبقات مختلف ،دمایی مانند برج تقطیر عمل کرده و قطره های مایع مواد و عناصر پدیدار میشد . فراوانی بینهات ذرات و قطره های مایع تولید شده در جریان جابجایی لایههای جو رقیق که باعث بادها و طوفانهای عظیم در
ص: 45
حفره شده ، به هم پیوسته و اقیانوسی عظیم از مذاب برخی از مواد موجود در گازهای جو رقیق را تشکیل میدهد.
متراكماً زخاره (1)
آن آبها ( مذابها ) بر روی هم متراکم و ذخیره شده ، طوری که بسیار مواج بود .
زخار = بسیار پر و لبریز – پر آب و مواج(2)
قطره های مذاب و ذرات معلق در جو در اثر برخورد و عاملی اصلی تر
یعنی گرانش به هم میپیوستند و متراکم میشدند ولی پس از اندگی
متلاشی میگشتند . برای متراکم ماندن و تبدیل شدن به اقیانوسی از مذاب ،مواد نیاز به محیطی مناسب داشت. از طرفی فرار ذرات و گرما از فضای شکاف به جوهای تاریک و سرد لحظه به لحظه از داغی فضا میکاست . لذا می بایست لایهی نسبتاً عایقی دورتادور فضای شکاف را بپوشاند تا از هدر رفتن نور و گرما و فرار ذرات جلوگیری نماید و از طرفی فضایی ظرف مانند فرورفتگی اقیانوس در فضای شکاف بوجود آید تا مایعات متشکل از قطره های مذاب در آن انباشته و متراکم شود
حَمَلَهُ عَلَى مَتنِ الرِّيحِ العاصِفَهِ (3)
ص: 46
به طوری که آن مذاب متراکم را باد مایل و خمیده ی تند و شدیدی حمل می کرد.
عاصف = مایل و خمیده – تیز و تند و شدید
عاصفه = مؤنث عاصف – باد تند سخت خمیده و مایل (1)
جابجایی لایه های مختلف گازهای جو رقیق فضای شکاف طوفان عظیمی می.آفرید ضمن اینکه جابجایی و ارتعاش شتابدار بسیار سریع ذرات باردار و احتمالاً یونهای باردار در این فضا طوفانهای مغناطیسی غریبی ایجاد نموده بودند .
میدان های مغناطیسی طوفان، بر ذرات لایههای متلاطم جو شکاف، مؤثر میافتاد و آنها را در هم می پیچید. لایه های جو مغناطیسی شده طوفان مهيب داخل شكاف ، احتمالاً به دلیل گرانش بیرونی و دفع محیط مرکزی ،شکاف برطرف دیوارههای شکاف و سطح منبع ،جذب که همان جو تاریک و سرد بود رانده شد و در سطح دیواره ضمن اینکه بین فضای شکاف و جو تاریک و سرد سطح نسبتاً عایقی را بوجود آورد خمیدگی آن به طرف دیواره، زمینه را برای تراکم و انباشت مذاب آماده ساخت.
از طرف دیگر، با توجه به لایهی عایق نسبی در سطح داخلی شکاف ذرات ،شتابدار نور و گرما بسیار کمتر توسط منبع سرد جذب و بلعیده میشدند و در سطح ،جدایی این ذرات و انرژیها به فضای داخل شکاف باز تابیده میگشتند. در این حالت نیروهای پدید آمده و افزایش جاذبه و گرانش بین ذرات داخل ،شکاف امکان تراکم را بیشتر میکرد و لحظه به لحظه چگالی و جرم مذاب متراکم شده بیشتر و بیشتر میشد و در لایه های فضای
ص: 47
داخل شکاف انحنا ایجاد مینمود. لایه عایق که خود از جنس طوفان لایهها و مغناطیس شده ،بود در حفظ خمیدگی و انحنای فضای بوجود آمده در اثر جرم ،متراکم بسیار مؤثر بود . در این حالت انحنای فضا مانند ظرفی مطمئن اقیانوس مذاب متراکم شده را در خود جای میداد . در حالی که این آب برهم انباشته شده متلاطم و بسیار مواج بود و لایههای آن بر هم می غلطید و از فرط ،داغی مانند آتش ،فشان به خارج می پاشید .
وَلزَّعْزَعِ الْقاصِفَهِ (1)
آن طوفانی بسیار شدید و تند و با صداهایی مهیب چون رعد سخت غرنده بود.
جابجایی تند و شدید لایه های جو داخل شکاف و صداها و رعدهای غرنده ی آن احتمالاً نشان از این بود که ضمن تولید نیرویی برای متراکم نگه داشتن مذاب ،موجود و داغی بینهایت ،فضا بر هم کنشهای جفتها و شتاب یافتن ذره ها و برخورد آنها به شدت ادامه دارد و پدیدار شدن هسته ها، اتم ها عناصر و مولکولهای مواد دیگر در جریان است .
قاصف = شکننده - بسیار شدید و تند - رعد سخت و غرنده (2)
فَآمَرَها بِرَدِهِ ، وَ سَلَّطَها عَلى شَدِهِ ، وَ قَرَنَها إِلى حَدِهِ، وَ الهَواءُ مِن تَحْتِها فَتيق ، والماء مِن فَوقِها دَفيق .(3)
ص: 48
پس به باد فرمان داد بر آب انباشته شده تسلط کامل داشته باشد و از هم پاشیده شدنش جلوگیری ،نماید از پایین تا حد ،بالا در کناره ها و لایههای خمیده در زیر و در سطح اقیانوس ، ولی آب تقطیر شده همچنان از بالا به آب انباشته اضافه می شد.
مذاب بسیار بسیار رقیقی که از قطران گازهای داغ بعد از شکاف همچون آب بر هم انباشته شده به طریقی که گفته شد در فرورفتگی انحنای فضا، بر بالشتی فشرده از لایههای طوفانی جو فضای ،شکاف که عاصف ( مایل و خمیده) است، انباشته شده و زیر و دور تا دور آن را گرفته که از هم پاشیده نشود و سطح بالایی باز است تا مذاب و آب قطران شدهی بعدی به آن اضافه ،شود ضمن اینکه فشار جو بالایی بر سطح آب مانع از تبخیر مجدد و از هم پاشی آن میشود و یا آن طوفان چون گرد بادی عظیم مذاب ( آب ) را احاطه کرده است. اکنون مصالح اولیه بنای خلقت آماده است . زمان آن رسیده که کارگرها مشغول به ساخت گردند. در آن کارگاه نیروهای کار را ، نیروها و انرژیها تشکیل میدادند. نیروها و انرژیها و نتایج فعل و انفعالات
و تحولات انجام شده تا این لحظه ، از عوارض و احناء بر هم کنش ذرات دارای غریزه (باردار ) ، جفتها ،بود که معمار خلقت از آن آگاهی کامل داشت . (عارِفاً بِقَرائِنِها وَ أَحْنائِها)
ثُمَّ أَنشَأ سُبحانَهُ ريحاً أعتَقَم ،مَهَبَّها ، وآدامَ مَرَبَّهَا ، وَأَعصَفَ مَجْراها وَ أَبْعَدَ مَنْشَأها، فَأَمَرَهَا بِتَصْفِيقِ المَاءِ الزُّخَارِ، وإثارَةِ مَوجِ الْبِحارِ،
ص: 49
فَمَخَضَتُهُ مَحضَ الْسَّقَاءِ ، وَ عَصَفَتْ بِهِ عَصْفَهَا بِالْفَضاءِ، تَرَدُّ أَوَلَهُ إِلَى اخِرِهِ، وَساجِيَهُ (ساكته) إلى مائِرِهِ حَتَّى عَبَّ عَبَابُهُ ، وَرَمَى بِالزَّبَدِ رَكامُهُ ، فَرَفَعَهُ فِى هَواءٍ مُنْفَتِقٍ، جَوِّ مُنفَهِقٍ ، فَسَوَى مِنهُ سَبْعَ سموات.
آنگاه باد دیگری را آفرید و جای وزیدن آن را عقیم گردانید، و قرار داد آنرا که همیشه ملازم تحریک آب ،باشد و وزیدن آنرا تند ،کرد و مبدأ تکوینش را دور دست گردانید پس آنرا بحرکت دادن و بر هم زدن آن آب فراوان و بر انگیختن و بلند کردن موج دریاها فرمان داد پس آن باد هم آن آب را مانند مشک شیر جنبانید و بهم زد و به آن تند وزید، مانند وزیدنش در جالی خالی و ،وسیع اول آن را به آخرش باز میگرداند و ساکنش را به متحرک ،آن تا آنکه انبوهی از آن بالا آمد و کف ،کرد پس کفها را در جای خالی و وسیع فضای گشاده بالا برد پس به وسیله آن هفت آسمان را پدید آورد.
آنچه مسلم است این باد بایستی از عوارض و احناء فعل و انفعالات قبلی باشد. وقتی خداوند از آفرینش و خلقت سخن میگوید اضافه میکند که این مخلوق از چه خلق شد.
بنابراین گمانه زنی ها و احتمالاتی که میتوان در نظر گرفت را مرور می کنیم .
ص: 50
اولاً در حالات این ،باد علی ابن ابو طالب از کلماتی چون اعصف، عصفت به عصفها که همگی از مشتقات عاصفه هستند و عاصف در فرهنگ عمید به مایل ، خمیده و تیز تند و شدید و باد سخت ترجمه شده.
ثانیاً ، برای فهم و درک بیشتر ، مشک شیری را مثال زده که با زدن آن از شیر ، کره میگیرند . مشک شیر توسط بندهایی به اس سه پایه ای آویزان است . در مشک ،شیر نیروهای از خارج به مشک وارد شده و آن را تکان میدهند در اینجا نیز گفته که وزیدن این باد برای بهم زدن مذاب اقیانوس بنیادین خلقت مانند وزیدن آن در فضای خالی است مانند شکل زیر :
تصویر

دیواره های قابل ارتجاع و لطیف اقیانوس مذاب بنیادین خلقت
ص: 51
بنابراین نیروهای این باد مانند این است که، اطراف ظرف اقیانوس بنیادین خلقت را فرا گرفته و آن را تکان میدهند. این نیروها هم در حکم بندهای نگهدارنده هستند و هم ظرف را تکان می دهند.
این نیروهای کشنده و هل دهنده بسیار قدرتمند ظرف آب ( مذاب ) را به شدت تکان می دهند در حالی که باعث خمیدگی میگردند و ادامه ی خمیدگی سریع و تند آن است که مواد بچرخد و اولش به آخرش و مجدد آخرش به اولش برگردد . پس طوری تکان میدهد که مواد و مذاب در حال به هم خوردن می چرخد بقول ،معروف مواد مذاب میکسن میشود . امروزه بجای مشک، ظرفی استوانه ای را پر از شیر میکنند و یک میکسر چرخنده درون آن قرار میدهند و آنقدر آن را هم میزنند تا کره بر سطح شیر پدیدار گردد.
سوالی که مطرح است این است ،که مبدأ و منشأ این نیروهایی که این باد تند و سخت گرد بادی چرخنده در کجاست ؟
علی (عليه السلام) می فرماید : ابعد منشاها مبدأ و منشأ این باد بعید و در دور
دست قرار دارد بنابراین مبدأ این ،باد از فعل و انفعالات گازها و بخارهای داخل شکاف نیست .
برای شناخت مبدأ این باد به نخست کلام بر میگردیم و بر هم کنشها و فعل و انفعالات جفتها و ذرههای باردار را و اشکافی می کنیم . پس از پدیدار شدن شکاف جو فضای داخلی آن بسیار بسیار داغ و نورانی بود و در این فضا ذرات طی برخوردهای شدید و متوالی و مکرر یا شکافته می شدند و انرژی تولید میکردند و یا به هر سو پرتاب میگشتند توسط این برهم
ص: 52
کنش ها، به مرور اتمهای برخی عناصر تشکیل و بعضی مولکولهای بوجود آمدند و تعدا فراوانی از ذرات پرتاب شده پر انرژی به دیواره های جو تاریک و سرد که پیرامون شکاف را فرا گرفته بود برخورد می کردند و به درون آن نفوذ می نمودند.
انرژی های تولید شده در شکاف از جمله نور، گرما و امواج و انرژی الکترومغناطیس نیز به طریقی جذب منبع جذب ، یعنی جو تاریک و سرد می شدند . به این ترتیب لایه ای از جو تاریک و ،سرد، در اطراف شکافت حالت هم پوشانی جو باردار داغ و پر انرژی داخل شکاف با جو تاریک و سرد خنثی پیدا کرده بود.
تصویر

ص: 53
هر لحظه تعدادی از ذرات و انرژیهای لایه هم پوشانی به اعماق جو تاریک و سرد فرو رفته و محو میگشتند مانند محو شدن نور و ذرات در سیاه چاله ها و تعدادی دیگر از شکاف به لایهی هم پوشانی می پیوستند.
وجود انرژیها و ذرات باردار متحرک در لایه هم پوشانی میدان مغناطیسی عظیمی ایجاد میکند که باعث میگردد نیروهای مغناطیسی عظیمی از مرکز شکاف به طرف دیوارهها وجود داشته باشد به عبارتی دیگر امواج مغناطیسی عظیمی از دیواره لایه مغناطیسی شده به داخل شکاف تابیده می شود.
در لحظات و دقایق اولیهی پدیدار شدن ،شکاف هیچ تعادل و نظمی وجود نداشت و همه چیز کاتورهای و درهم و برهم و حتی پدیدار شدن ذرات و مواد جدید نیز اتفاقی بود.
لایه ی همپوشانی و لایه ی طوفان مغناطیسی که بین فضای شکاف و جو تاریک و سرد فضای نسبتاً عایقی ایجاد نموده بود و تا حدودی از رفتن ذرات و انرژی به عمق جو تاریک و سرد و اتلاف آنها جلوگیری مینمود نیروی جاذبه ی عظیمی نیز در فضای شکاف به طرف دیواره ها ایجاد نموده است .
ص: 54
تصویر

از آغاز بر هم کنش ذرات ،جفت تا ایجاد شکاف و پس از آن تا این لحظه هنوز تعادل و توازنی پدیدار نشده همه چیز در حال تغییر و نیروها و ذرات دائم در حال کم و زیاد شدن ناگهانی و تولید و از هم پاشی هستند . جو داخل شکاف هم چنان بر انگیخته ، آتشین و بسیار داغ در حال جوشش و قلیان و اتفاقات ناگهانی است . به همین دلیل میدان و نیروهای جاذبه به طرف دیوارهها نیز به طور ناگهانی در حال تغییر و کم و زیاد شدن است زمانی که تحولات داخل شکاف تعدیل گردد و توازن و تعادل بر آن حاکم
ص: 55
شود، این نیروها نیز در تعادلی خاص قرار میگیرند تا چیدمان و نظم اجرام و ذرات در فضای شکاف حفظ گردد.
تصویر

فرض کنید جرم مایع مذاب ذخیره شده در لایه های خمیده ی طوفان اولیه در انحنای فضای ،شکاف به شکل بالا بوده است .
نیروهای جاذبهی کناره ها و نیروی فشار جو شکاف هم زمان بر کل سطح ظرف و آب ( مذاب) داخل آن وارد میگردد .
نیروهای بسیار قوی و متغیر جاذبه باعث تکان ها و نوسان های شدید ظرف مذاب میگردد که ناشی از مغناطیس متغیر دیواره ها است مذاب بسیار رقيق (آب ) داخل ظرف بنیادین خلقت مواج و طوفانی می شود.
تفاوت امواج اقیانوس بنیادین با امواج اقیانوسهای پر از آب فعلی موجود در کره ی زمین ، در این است که وقتی آب اقیانوسهای فعلی مواج می گردد، حتی در شرایط طوفانی که امواجی کوه مانند ،دارد لایه های سطحی آب تا
ص: 56
عمقی معین ،متلاطم است ، در حالی که عمق اقیانوس آرام و بقولی ساکن است . اما تلاطم و امواج اقیانوس بنیادین آنچنان بود که حتی در اعماق آن هیچ نقطه ای آرام و ساکن نبود. همه جا در حال تلاطم و جوش و خروش بود . مانند مشک شیر وقتی از ،شیر کره می.گیرند نیروهای وارده به گونه ای بود که آب را دائم بر هم زده و زیر و رو میکرد و ساکن آن را به متحرکش می رساند .ساجِيَة إلى مائره.
نیروهای قوی جاذبه به در حال تغییر که به طور متوالی و مکرر از دیواره ها باعث تکانهای شدید ظرف مذاب میشد برخوردهای شدید مکرر ذرات داغ و ترکیب و تجزیهها عناصر و مولکولهای متفاوتی می آفرید. س
ص: 57
تَرُدُّ أَوَّلَهُ إِلَى آخِرِهِ اول آن را به آخرش باز میگرداند.
تصویر

شکل 5
گرد بادی عظیم ظرف را تکان میداد و مایع و مذاب به شدت میچرخید
و میکس میشد . تا اینکه انبوهی از مواد ،مایع مانند کره بر روی شیر ، بالا آمده و مانند کف بر سطح اقیانوس بنیادی خلقت پدیدار شده مایع مذاب ذخیره شده در اقیانوس بنیادی ، بینهایت داغ و سوزان بود میلیونها درجه داغ تر از آتشفشان برای درک بهتر فوران آتش فشان را در نظر بگیرید ذرات کف مانند سطح آن در موقع فوران چگونه تا کیلومترها از دهانه ی آتش
فشان به بالا پرتاب میگردد .
ص: 58
از سطح آن اقیانوس جوشان بسیار داغ ،نیز کفهای ایجاد شده، تا اعماق فضا پرتاب می شدند .
این کف ها ،حباب هایی از گازهای بسیار داغ بود که ریز و درشت به فضا پرتاب میشدند و بسته به انرژی پرتاب و جرم پرتابه تا ارتفاع معینی از سطح اقیانوس بنیادین بالا میرفتند و گروه گروه در طبقات مختلف آن فضا قرار می گرفتند .
این طبقات طبقات آسمانها را تشکیل میدادند.
فَسَوى مِنْهُ سَبْعَ سَمواتِ .
در جای وسیع و خالی فضا، هفت آسمان را پدید آورد .
هر طبقه آسمان از تعداد زیادی کهکشان و هر کهکشان مانند جاده ی کاه کشان که ذرات کاه در آن پاشیده شده در فضا پاشیده شده است .
نکته: چون مخزن و اقیانوس بنیادین در حال ،جوشش دائم در حال زیر و رو شدن و به هم خوردن مواد و آب مذاب میباشد . توزیع عناصر مواد و در کل حجم آن کاتورهای است بنابراین احتمالاً عناصر موجود در آسمانهای مختلف نیز به همین صورت میباشد چون میکس مذاب و پاشیده شدن آن کاملا اتفاقی و کاتورهای بود ولی چگالی عناصر در پرتابه ها متفاوت بود.
طبقات ،آسمانها در ارتفاع های مختلف جو شکاف قرار گرفته اند و هر یک دارای ضخامت و مساحت معینی است بنابراین کهکشانها در هر طبقه آسمان میتوانند تعدادی در یک سطح و گروههای دیگری در سطوح مختلف آن طبقه از آسمان قرار گرفته باشند.
موضوع قابل تأمل و عجیب این است که این کیهان با حساب و کتاب، که منطق و ریاضیات به وسیلهی قوانین و اصول طبیعت بر آن حاکم است ریشه و
ص: 59
مبنای پیدایش آن در اتفاقات کاملاً کاتورهای ، بی منطق و بی نظم و درهم و برهم و بدون هیچ قانون و حساب و اصول معینی میباشد .
حضرت علی (عليه السلام) تشکیل آسمانها را بوسیله پاشیده شدن کفهای اسفنجی سطح اقیانوس مذاب بنیادین به ارتفاعات فضای داخل شکاف دانسته اند برای درک نحوه ی چیدمان کهکشانها در هر آسمان، به احتمالات و گمانه زنی نیاز داریم .
برای ارائه ی احتمالات و گمانه زنی نزدیک تر به واقعیت به سخن علی ابن ابی طالب (عليه السلام) برمی گردیم .
فَمَحْضَتَهُ مَحضِ السَّقاءِ
مانند مشک شیری که برای کره گرفتن جنبانیده میشود آن را جنبانید .
آن حضرت، اقیانوس بنیادین خلقت را به مشک شیر در حال جنبانیدن شدن تشبیه کرده است.
خصوصیات مشگ شیر که با ظرف اقیانوس بنیادین شباهت دارد .
1- مشگ شیر از پوسته ای نرم و قابل انعطاف برخوردار است و در زمان جنبانیدن و کره گیری همراه با مایع داخل آن تغییر شکل داده و حالت - های مختلفی بخود میگیرد .
2 - اقیانوس بنیادین نیز در انحنای فضا بر لایه ای از جو طوفانی ذخیره شده که همچون مشک شیر نرم و انعطاف پذیر است و قابلیت تغییر شکل در حالت های مختلف دارد .
ص: 60
3- مشگ شیر هنگام کره گیری از رأس سه پایهای آویزان میشود و در دو جهت بر یک خط راست نوسان می کند .مانند پاندول
تصویر

4- اقیانوس بنیادین خلقت توسط نیروهای جاذبه ی f که دور تا دور از بالا و دیوارهای شکاف بر آن وارد میشد معلق نگهداشته شده بود و در سطح شناور در فضا در یک صفحه نوسان میکرد مانند پاندولی که در صفحه در هر جهت نوسان می کند .
تصویر

فوران اقیانوس بنیادین مانند فوران کوه آتشفشان است که در طول زمان ،فوران یک بار تا ارتفاع پانصد متری و بار دیگر تا ارتفاع چند کیلومتری مواد آتش فشانی را بیرون میپاشد. اقیانوس بنیادین هم هر لحظه با قدرت و شدت متفاوتی فوران میکند و مواد جمع شده روی سطح خود را تا ارتفاع های متفاوتی به داخل فضای خالی پرتاب می کند .
ص: 61
برای تجسم هر چه بهتر چیدمان کهکشانها در سطوح مختلف طبقات هفت آسمان ، فرض میکنیم هر بار فوران با قدرت و انرژی خاص، یک کهکشان یا کهکشانهایی در نقاطی خاص در فضای خالی مستقر می کند.
با در نظر گرفتن فرض فوق و اینکه اقیانوس انعطاف پذیر و در حال نوسان و ارتعاشات شدید در حالی که در همه ابعاد در صفحه ای از فضا شناور است دائم و پشت سر هم با شدتهای متفاوت در حال فوران و پاشیدن لایه ی سطح مواد مذاب به فضای خالیست .
اقیانوس بنیادین در انحنای ،فضا بر لایه های انعطاف پذیر طوفانی جو رقیق شکاف در ضمن اینکه تکانهای شدیدی داشت ، در صفحه نوسان میکرد . اگر فرض کنیم ناظری از کنار منظره را مشاهده کند در یک نیم
،دور دهانه ی اقیانوس در حال فوران ، رو به ناظر و در نیم دور بعد، دهانه ی آن پشت به ناظر و در نقاطی دهانه به طرف بالاست ، بنابراین اگر نقطه به نقطه و لحظه به لحظه مانند رگبار مسلسل ضد هوایی پرتابه ها را به فضای خالی میفرستاده فورانها و پرتابههایی که با شدت و قدرت یکسان پرتاب می شدند، در نقاط مختلف یک صفحه قرار میگرفتند و به این ترتیب طبقات مختلف کهکشانی را در هر طبقه از آسمان تشکیل میدادند تا این لحظه هفت طبقه ی آسمان ، که هر طبقه ، دارای چندین طبقه ی کهکشانی است که هر طبقه ی کهکشانی ، هزاران یا میلیونها کهکشان دارد تشکیل شده است . ولی هنوز اجرام این آسمانها را حبابهایی از گازهای بی نهایت داغ و گرد و غبارهای فورانهای اقیانوس گداخته و در حال جوشش تشکیل می دادند.
ص: 62
حال این آسمانها بایستی در چیدمان بوجود آمده بمانند و سقوط نکنند و یا ذرات پرتابه ها تا بینهایت به حرکت بر خط راست ادامه ندهند .
علی (عليه السلام) در این خصوص می فرماید :
جَعَلَ سُفْلاهَنَ مَوجاً مَكفُوفا، وَ عُلياهُنَّ سَقفاً مَحفُوظاً وَ سَمكاً مَرفوعًا، بِغَيْرِ عَمَدٍ بَدعَمُهَا، وَ لادِسارٍ يَنْظِمُها.
امواجی مانند کف (یک سطح نگهدارنده) زیر اجرام آسمانها را گرفتند تا از سیلان و ریزش ممنوع ،باشد و بالای آن سقفی را که محفوظ است و بلند بدون ستونهایی که نگهدارنده ،باشد و بی میخ یا ریسمانی که آنها را منظم داشته باشد.
كَفِّ شیئی = جایی است که شیی بر روی آن نگهداشته می شود.
مَكُوّف = نگهدارنده
موجاً مكفوفاً = امواج نگهدارنده
جَعَلَ سفلاً هن موجاً مكفوفاً =قرار داد در زیر آن امواج نگهدارنده را
على (عليه السلام) دو عامل را برای نگهداشته شدن طبقات آسمانها مؤثر دانسته اند.
1- امواجی که از زیر هر طبقه ی آسمان و تک تک اجرام کیهانی را نگهداشته.
2- سقف مرتفع و محفوظی که همان سطوح امواج طبقات بالا و دیواره های شکاف جو تارک و سرد است.
ص: 63
در واقع امواج گرانش همان امواج مکفوف ،است که مانند یک سطح (کف) اجرام کیهانی بر آن قرار گرفته است و انحناهایی در فضا ایجاد نموده اند .
در فیزیک موج گرانش موجی است که توسط میدان گرانشی تولید می،شود وجود این نوع از امواج توسط آلبرت اینشتین در سال 1916 میلادی از طریق نظریه تسبیت عام به طور نظری پیش بینی شده و صد سال بعد در سال 2016 به کمک تأسیسات لایکو به طور تجربی مشاهده گردید .
موج گرانشی به طور نظری انرژی تابش گرانشی را منتقل می امروزه کیهان شناسان معتقدند، امواج گرانشی چینهای ریزی در تار و پود هستی ،هستند مثل امواجی که اقیانوس را در می نوردند . این امواج گرانشی ازلی » انرژی را در کیهان جابجا میکنند.
بر اساس گمانه زنی و احتمالاتی که قبلاً گفته شد دیواره های جو تاریک و سرد ، توسط لایه ی هم پوشانی و لایه مغناطیسی نسبتاً عایق که بر روی آن کشیده شده نیروهای جاذبه ی قدرتمندی به اجرام داخل فضای شکاف وارد می کنند .
چنانچه این نیروها ، بر اساس نظریه های امروزی امواج گرانشی توسط دیواره ها به فضای خالی داخل شکاف تابش ،شود در فضای خالی توری در هم تافته ی مشبک تولید میکنند که در اثر تغییرات مغناطیسی دیواره ها دائم در حال تغییر است و مانند تور سوراخ ، سوراخ ، مشبک بافته شده ای که دو سر آن را تکان دهند در حال چین خوردن و مواج شدن است .
ص: 64
تجسم احتمالی این فضا به شکل زیر است .
تصویر

شکل 6
این امواج مکفوف - همان امواج گرانشی است که همچون کف نگهدارنده ،آسمانها کهکشانها و کرات را در سطحی معین از فضا نگه میدارند و انحنای فضا در دل این امواج ایجاد میشود . امواج گرانش حاصل از اجرام سماوی مزید بر این امواج میگردد.
ص: 65
فضای خالی شکاف توسط امواج گرانشی در هم تنیدهی مواج، مانند گلوله ای بینهایت حجیم و بزرگ از تارهای شبکه ای عنکبوت ،است، که بسیار ظریف می باشد و در لابه لای تار و پود مواج آن ، طبقات آسمانها، کهکشانها، منظومه ها و کرات به صفحه هایی از آنها مانند کف نگهدارنده، اتکا دارند . در محل هایی که این اجرام بر تور بافته شده ی تابشهای گرانشی قرار گرفتهاند، بر سطح صفحه ی امواج، بسته به بزرگی و کوچکی جرم آنها، انحنای متناسبی در فضا ایجاد می کنند .
برای تجسم این انحنا می،توان تار عنکبوت مسطحی را در نظر گرفت که در وسط آن یک حشره ی بزرگ به دام افتاده باشد . در نقطه ی به دام افتادن حشره ، در تار عنکبوت ، یک انحنا ایجاد شده و تار عنکبوت مانند یک کف یا سطح ،نگهدارنده آن را نگه داشته است .
تصویر

شکل 7- انحنای فضا -زمان بر روی سطوح امواج مکفوف (امواج جاذبه)
ص: 66
واقعاً این امواج گرانش ازلی است و با پدیدار شدن شکاف جلوه گر شده اند علی ابن ابیطالب دو عامل امواج نگهدارنده و سقف مرفوع را در نگهداشته شدن طبقات آسمانها ذکر کرده اند که به گمان نگارنده احتمالاً همان امواج گرانش و دیوارههای شکاف است .
البته نباید این موضوع را از نظر دور داشت ،که اجرام نو پیدا شده ی آسمانها و حرکت وضعی و انتقالی ،آنها با توجه به جاذبه ی بین اجرام و جابجایی آنها، هم در ،تغییرات شدت امواج گرانش و هم در تغییرات چین خوردگیهای فضا تأثیر بسزایی دارد .
تا این لحظه آسمانها خلق و طبقات آن مستقر گردید . ولی فضای خالی پر است از حبابها و گرد و غبارهای گداخته و بسیار داغ .
هم اکنون زمان خنک شدن و سرد شدن این اجرام و فضاست .
ما نمی توانیم و کلاً منطقی نیست که مانند نظریه پردازان مه بانگ (انفجار بزرگ ) بگوئیم و آنگاه جهان سرد شد هر عقل منطقی خواهد پرسید برای سرد شدن نیاز به یک منبع سرد داریم تا گرمای فضا را جذب کند.
در نظریهی شکافت ،بزرگ جو تاریک و سرد منبع سرد و جذب کننده ی گرما و کاهش دهنده ی داغی فضا و اجرام و کرات گداخته ی آن است.
در فضای خالی داخل ،شکاف آسمانهایی متشکل از اجرام آتشین و ،گداخته و جوی مملو از تابش امواج گرانشی که در تار و پود آن، ذرات موهومی باقی مانده از جو تاریک و سرد با چگالی بسیار زیاد وجود دارد و این شبکه ی گرانشی را به پلاسمایی بسیار داغ تبدیل کرده باید سرد شود.
ص: 67
پس از احداث آسمان ها شاید چندین میلیون سال طول کشید تا دمای فضا پائین آمد و آسمانهای زیبا جلوگر شدند و این زمان طولانی در سخنان علی با کلمه ثُمَّ بیان شده که یک انقطاع زمانی را نشان می دهد.
همان گونه که قبلاً بر پایه ی یک احتمال ،گفتیم طوفان و گرد باد لایه- های جو شکاف با تداخل میدانهای مغناطیسی متغیر بوجود آمده . بر دیواره ی شکاف یک لایه ی نسبتاً عایقی ایجاد نموده اند . اما این لایه همچنان نفوذ پذیر است و گرما از آن ،لایه به لایه ی هم پوشانی نشت کرده و ذرات ضعیف شده به داخل جو سرد و تاریک نفوذ کرده و در چگالی بینهایت آن محو می گردد .
پس از گذشت زمانی مناسب و کم شدن داغی فضای شکاف و سرد شدن آسمانها و کرات تشکیل دهنده ی آن ، بعضی کرات که همچنان داغ مانده و جرمهای عظیمی داشت همچون گلولههایی عظیم از گازهای گداخته بعنوان ستاره در آسمان جلوه گر شدند و برخی دیگر با جرمهای کوچکتر سرد و تاریک شدند که از جمله آنها کره ی زمین است. این کرات داغ و تابان و پر نور و سرد و تاریک منظریه ی آسمانها را ساختند که علی ابن ابیطالب (عليه السلام) چنین به تصویر کشیده اند:
ثُمَّ زَيَّنَها بزينة الْكَواكِب؛ وَضِياء التَّواقِب و أجرى فيها سراجاً مُسْتَطِيراً، وَ قَمَراً مُنِيراً ، فِي فَلَک دائرٍ وَ سَقف سائِرٍ، وَ رَقِيمٍ مائرٍ
سپس آسمانها را به زینت ستاره ها و روشنی نور افکنها آراست و در آن چراغ نور افشان ) خورشید ( و ماه درخشان را به جریان انداخت ، در حالیکه
ص: 68
هر یک در فلکی دور زننده و سقفی رونده و جاریه و سیر متحرک .
در این خطبه ثم تأکید حضرت بر فاصله است .
ثُمَّ :حرف عطف است که دلالت بر ترتیب با فاصله دارد و به معنای است .
ثم :از طرف دیگر اسم اشاره برای دور است به معنای آنجا
بنابراین ثُمَّ از فاصله دور زمانی و مکانی سخن می گوید و این فاصله بین استقرار آسمانها تا سرد شدن و به نظم کشیدن آنهاست .
این فاصله سخن از زمان مورد نیاز برای سرد شدن پرتابه ها و پیدا نمودن شکل و جرم نهایی هر یک از اجرام و مشخص شدن وضعیت و جایگاه هر یک از آنها در هر آسمان و کهکشان دارد که برای به نظم کشیدن آنها و استقرار قوانین طبعیت زمینه را مناسب می سازد.
پس از سرد شدن فضای شکاف به حد کافی و مشخص شدن کره های اصلی ستاره ای و سیاره ای به نظم کشیدن آنها و حاکم شدن اصول و قوانین طبیعت که بر منطق ریاضیات تکیه دارد جلوه گر میگردد و بسیاری از ثابتهای فیزیکی بین اجرام و فضای کیهانی حاکم می شود.
دانشمندانی که با تکیه بر ریاضیات و منطق به برگشت به عقب منطقی برای یافتن نقطه آغاز جهان اعتقاد دارند چنانچه روزی به موفقیت نهایی برسند فقط میتوانند تا این نقطه پیش بروند یعنی تا نقطه ای که نظم و حساب بر جهان حاکم شده است. قبل از این نقطه جهان کاملاً بی نظم و بی حساب و کتاب و دائم در تلاطم و اتفاقات ناگهانی و در هم و بر هم بوده بدون هیچ نظام منطقی که بتوان با منطق و ریاضیات به آن پی برد.
ص: 69
مخلض کلام اینکه جهان منظم و قانونمند ما زائیده ی یک جهان کاتورهای بی نظم و بیقانون است .
در دیدگاه موحدین به نظم کشیده شدن جهان بی نظم از اراده و ربوبیت و تربیب خالق میباشد که رب العالمین است .
ما مطمئن هستیم که مطالبی از علوم خلقت که در اسلام آمده به زبان دیگر ، خلاصه تر یا مبسوط،تر در بقیه ادیان الهی هم آمده است . بعنوان ،مثال چنانچه در مسیحیت یا یهود هم کنکاش ،کنیم بارقه هایی از همین سخنان علمی روشنگر خواهیم یافت که مؤید نظریات ماست چون تمام این ادیان از یک جا سرچشمه گرفته و همه اعتقاد به یک خدای واحد داریم . و اما دانشمندان مسلمان اعم از سنی و شیعه ؛
يا أَيُّهَا الَّذِينَ آمَنوا امِنُوا بِاللهِ وَرَسُولِهِ وَ الكِتابِ الَّذِي نَزَّلَ عَلَى رَسُولِه وَ الكِتابِ الَّذى أَترَلَ مِن قَبلَ ...
ای کسانیکه ایمان آورده ،اید باور کنید آنچه را که قبول کرده اید از خداوند ، و رسول او و کتابی که به رسول خدا نازل شده و کتابی که به پیامبران قبل او نازل شد و .... ( قسمتی از آیه 136 – سوره النساء)
تاکید خداوند در این ،آیه بین « امَنُوا » « امِنُوا» است .
امَنُوا = قبول کردن و ایمان آوردن است .
ص: 70
امِنُوا = باور کردن آن چیزی است که قبول کرده ایم و به آن ایمان داریم. چنانچه بر اساس گفتهی صریح این ،آیه رسالت حضرت رسول (صلی الله عليه وآله وسلم) را باور کنیم و به صداقت و راستگویی او باور داشته باشیم در گفته های او ذره ای شک به خود راه نداده و بدون تأمل باور میکنیم . بنابراین وقتی حضرت رسول الله (صلی الله عليه وآله وسلم) فرمود:
أَنَا مَدينَةِ العِلمِ وَ عَلَّى بابها
من شهر علم هستم و علی درب آن است .
این قسمت حدیث در همه گفته ها وجود دارد و دنباله ی آن مختلف بیان شده است .
اگر رسول خدا (صلی الله عليه وآله وسلم) را باور کرده ام این گفته ی او در خصوص علم علی ابن ابیطالب را بدون چون چرا باور می کنیم .
اگر خدا و رسولش را باور کرده ایم و به صداقت رسول الله (صلی الله عليه وآله وسلم) یقین داریم و اینکه حضرتش این حدیث را بارها به شکلهای مختلف بیان نموده و در اسناد اهل سنت و شیعه مراد از علی را همان علی ابن ابیطالب بیان شده است . پس من گفته ی علی ابن ابیطالب را در خصوص آغاز خلقت قبول دارم و یقین دارم که آغاز خلقت کائنات همان شکافت جوها بوده است و مطمئن هستم چیزی جز این نیست و علم اگر در مقابل این نظریه مقاومت کند روزی پی خواهد برد که زمان زیادی را هدر داده و زیان دیده است و نهایتاً جهان علم پی خواهد برد که آغاز خلقت شکافت بزرگ بوده است نه هر چیز دیگری مانند انفجار بزرگ یا نظریه های دیگر !
ص: 71
البته : یقین در شکافت بزرگ در آغاز پیدایش جهان است ولی در مورد چگونگی شکاف آنچه که گفته شد یک احتمال است و میتواند به گونه ی دیگری باشد.
ص: 72
• قرآن کریم
• نهج البلاغه فيض الاسلام
• شرح نهج البلاغه ابن ابالحديد
• از بطلمیوس تا اینشتین میلاد اسکندری دوست
• جهانی از عدم لاورنس کراوس ترجمه سیامت عطاریان
• لغت نامه معین
• فرهنگ عمید
• کیهان شناسی مصری
• کیهان شناسی چینی
ص: 73
• شکافت بزرگ
• کیهان شناسی بابلی
• کیهان شناسی یونانی
• مقالات بیگ بنگ
ص: 74