عنوان و نام پدیدآور : مبانی اخترزیست نردبانی از فیزیک تا متافیزیک [کتاب]/ هیات مولفین مهدی دانشیار...[ودیگران].
مشخصات نشر : تهران: دانشیاران ایران، 1394.
مشخصات ظاهری : 194ص.: مصور، جدول، نمودار.
شابک : 130000ریال: 978-600-8118-31-2
وضعیت فهرست نویسی : فاپا
یادداشت : پشت جلد به انگلیسی: Foundations of astrobiology ... .
یادداشت : هیات مولفین مهدی دانشیار، زهره اکبری، مینا شیری، هانیه جعفری.
یادداشت : عنوان دیگر: مبانی اختر زیست.
یادداشت : کتابنامه: ص. 194.
عنوان دیگر : مبانی اختر زیست.
موضوع : فیزیک زیستی
موضوع : Biophysics
شناسه افزوده : دانشیار، مهدی، 1356 -
رده بندی کنگره : QH505/م23 1394
رده بندی دیویی : 571/4
شماره کتابشناسی ملی : 4063596
ص: 1
مبانی اخترزیست
نردبانی از فیزیك تا متافیزیك
ص: 2
مبانی اخترزیست
نردبانی از فیزیك تا متافیزیك
مولفین:
مهدی دانشیار (نجوم و فیزیك هسته ای)
طاهره اکبری (ژنتیك و زیست شناسی)
مینا شیری (فیزیك ذرات بنیادی)
هانیه جعفری (روانشناسی)
انتشارات دانشیاران ایران
ص: 3
ص: 4
﴿قُلْ سِیرُوا فِی الْأَرْضِ فَانْظُرُوا كَیْفَ بَدَأَ الْخَلْقَ ثُمَّ اللَّهُ یُنْشِئُ النَّشْأَةَ الْآخِرَةَ إِنَّ اللَّهَ عَلَى كُلِّ شَیْءٍ قَدِیرٌ * یُعَذِّبُ مَنْ یَشَاءُ وَیَرْحَمُ مَنْ یَشَاءُ وَإِلَیْهِ تُقْلَبُونَ﴾(1)
آیا ندیدند که الله چگونه ابتدا خلقی را ایجاد می کند و باز به اصل خود بر می گرداند این کار بر الله آسان است ای رسول بگو به مردم که در زمین سیر کنید و ببینید که الله چگونه خلق را ایجاد کرده سپس نشانه آخرت را ایجاد خواهد کرد که الله بر هر چیز تواناست.»
ص: 5
ص: 6
فصل اول: حیات
1-1حیات چیست؟
1-2جنبه های فیزیکی حیات
1-3قانون بقای انرژی
1-4بقای انرژی یا تلف انرژی
1-5مقیاسها
1-5-1مقیاسهای طولی
فصل دوم: موجودزنده
2-1موجودزنده چیست؟
2-2تولیدمثل:
ص: 7
2-3ساختارموجودات زنده:
2-3-1پروتئین ها:
2-3-2 اسیدهای آمینه
2-3-3آرایش فضائی پروتئین ها:
2-4ساختارهای نرم وسخت
2-5سلول
2-6ویروسها
2-6-1DNA
فصل سوم: مکانیک آماری و بیوفیزیک
3-1مقدمه
3-2مقدمات مکانیک آماری
3-2-1متغیرتصادفی
3-2-2تابع توزیع احتمال
3-3اهمیت تابع توزیع گوسی
3-4گازایده آل
3-4-1تابع توزیع ماکسول-بولتزمن
فصل چهارم: ژنتیک
4-1مقدمه
4-2مندل وزمینه فعالیت های وی
4-3وراثت کروموزومها
4-3-1آزمایش مورگان
4-4وراثت دوصفت
4-5نتیجه:
4-6صحبتی درباره مشاورۀژنتیک
ص: 8
فصل پنجم: حرکت براونی
5-1مقدمه
فصل ششم: مثالهایی ازمکانیزم های آماری
6-1مثالی دیگر: حرکت براونی
6-2مثالی دیگر: دیفوزین «انتشار»
6-3قانون n√
6-4مکانیزم های ارثی
فصل هفتم: کروموزوم
7-1کروموزوم
7-2توسعه بدن بوسیله تقسیم سلولها
7-2-1اهمیت تقسیم کاهشی
7-3تقاطع کروموزوم ها
7-4تناقضی آشکاردرتئوری مکانیک آماری و اندازه ژنها
7-5تحولات جهشی زمینه ای برای انتخاب طبیعی
7-6تحولات نهائی یعنی چه؟
فصل هشتم: مکانیک کوانتومی
8-1مقدمه
8-2مولکولها
8-2-1زمان مورد انتظار
8-2-2اصلاح قانون فوق
8-3چراکوانتوم جوابگوی مسأله ارثیت نیست؟
8-4تشکیل نظم از نظم
فصل نهم: آیا حیات مختص زمین است؟
9-1مقدمه
ص: 9
9-2آیا حیات مختص سیارۀ زمین است؟
9-3مروری به مسأله حیات در زمین:
9-4سوپ بنیادین
9-4-1دلیل مردود بودن آزمایشات میلر را از نظر سایر دانشمندان
9-5آیاشکل گیری حیات زمین در مریخ بوده است؟
فصل دهم: جستجوی حیات زمین گون در ماورای منظومه شمسی
10-1جستجوی حیات در کیهان
10-2محاسبه سیارات فراخورشیدی با روش آماری
10-2-1اولین فراخورشیدی ها
10-3چگونگی کشف سیارات فراخورشیدی
10-3-1روش آسترونومی
10-3-2روش سرعت شعاعی:
10-3-3روش زمان سنجی انقباض
10-3-4روش ریزهمگرایی گرانشی
10-3-5صفحات میان ستاره ای
10-3-6روش گذر
10-4تلسکوپ فضایی کپلر
10-5میزبان هایی برای حیات
10-5-1کشف سیاره ای زمین گون(Kepler- 186F)
10-6محکی به یک ستاره
فصل یازدهم: گذری ازفیزیک به متافیزیک
11-1مقدمه:
11-2وحدت وجود
11-2-1آزمایش کروماتوگرافی136
ص: 10
11-3اروین شرودینگردرکتاب حیات چیست؟
11-4چه خصوصیات مادی مربوط به آگاهی است
11-5مبانی فکری اروین شرودینگر
11-6مسألۀخردجمعی
فصل دوازدهم: هوش مصنوعی
1-12 هوش مصنوعی
2-12 آزمون تورینگ
3-12 تفسیر قوی و ضعیف در هوش مصنوعی
الف) هوش مصنوعی ضعیف
ب) هوش مصنوعی قوی
12-4 چالش بنیادین هوش مصنوعی
5-12 تفاوت بین هوش انسان و ماشین
6-12 شبکه عصبی مصنوعی
7-12 علوم شناختی
8-12 تغییر ذهن
9-12 رابطه مغز و آگاهی
سخن آخر
منابع
ص: 11
ص: 12
اختر زیست حوزه ای ازستاره شناسی است که نه تنها حیات بر زمین که حیاتِ فراسوی زمین را نیز مطالعه می کند. اختر زیست شناسی ما را وا می دارد حیات بر سیاره ی زمین را صرفاً یک نمونه از چگونگی سازوکار حیات در نظر بگیریم و نه، تنها نمونه ی موجود. این شاخه از علم ما را ناگزیر می سازد چارچوب های زیست شناسی مرسوم را بشکنیم و تمامی سیارات را همچون نظام های بوم شناختی در نظر آوریم. ما را وامی دارد تاریخ فسیلی را بفهمیم و به جای این که صرفاً اکنون و اینجا را بشناسیم و بفهمیم، به دوران های بسیار طولانی تری نظر بیفکنیم. از همه مهم تر و بنیادی تر، از ما می خواهد نگاه علمی خود را در گستره ی فضا و زمان بسط دهیم.
اخترزیست از رشته های میان گرایشی محسوب می شود که دو حوزه اخترشناسی و زیست را پیوند می دهد.
ص: 13
فیزیک دانان برای مطالعه سیستم های زیستی باید به ابزار هایی مثل مکانیک آماری، مکانیک کوانتومی، ترمودینامیک غیر تعادلی و…مجهزباشند.
مسائل زیستی به فیزیک پیشه ها خدمت فراوانی کرده است. مثلا به آنها آموخته است که ساخت موتور با بازدهی بالا و در ابعاد کوچک (حدود نانو متر) امکانپذیر است یا اینکه آزمایش با سلولهای منفرد عملی است. همچنین بیوفیزیک مسائلی را به جامعه فیزیک معرفی کرده است که فیزیک دانان هنوز برای آنها پاسخ های قانع کننده ای نیافته اند. مسائلی نظیر پیچش پروتئین ها، ساز و کار خواندن اطلاعات از روی DNA و عدم وجود تقارن چپ گرد و راست گرد از آن جمله اند.
در این کتاب اشاراتی به فیزیک موجودات زنده می شود. در ابتدا فیزیک را مطالعه می کنیم، سپس مرور کاملی بر بسیاری از مباحث کاربردی فیزیک را دارد.
در ادامه بحث به این نکته می پردازیم چرا بیوفیزیک ؟چون فکر می کنیم فیزیک می تواند در حوزه های مختلف وارد شده و پاسخگوی مسائل آن باشد از جمله آن موارد می توان به علم بیوفیزیک اشاره کرد. قدمت علم بیوفیزیک به بیش از نیم قرن باز می گردد و اولین آکادمیها و دانشکده های رسمی در این علم در حدود 50 سال پیش به وجود آمده اند یعنی از زمانی که دانشمندان به این نتیجه رسیدند که می توان از علم فیزیک در گرایشهای زیست و حیات هم استفاده کرد. قدمت این علم در ایران به حدود بیست سال پیش باز می گردد و اولین دپارتمان این رشته در دانشگاه تهران تاسیس شد.
نگرش به این رشته از دو دیدگاه قابل ارزیابی است، اول دیدگاهی سنتی، که بیشتر از جانب بیولوژیستها بوده، زیست شناسان با مشاهده گسترش فوق العاده فیزیک در مسیری آمدند که این علم را فراگرفته و از قوانین آن در حوزه زیست شناسی بهره ببرند، و نگرش دوم که نگاهی جدیدتر است، قدمتی بیست ساله دارد که رویکرد فیزیکدانان به زیست
ص: 14
است که به خاطر توسعه فیزیک و دستیابی آن حوزه هایی از جمله نانو و مطالعات نانو، دروازه و پنجره ای نوین را به جهان باز می کند چراكه اکثر فیزیک جذاب موجودات زنده، در دنیای نانو است و با تسلط به این حوزه، می توان به این نکته پی برد که ساختار فیزیکی این موجودات چگونه کار می کنند. پس مشاهده می شود از همان بیست سال پیش در دانشکده های فیزیک دپارتمانهای بیوفیزیک شکل می گیرد و بزرگانی چون نلسون(1) و فیلیپس(2) در این حوزه مطالعاتی جامع انجام می دهند.درواقع بیوفیزیک به مثابه پلی است که فیزیکدانان در یک سو و زیست شناسان از سوی دیگر در راه رسیدن به هدف مشترکی در حال پیمودن آن هستند ولی نکته اینجاست علی رغم هدف مشترک هنوز هم زبانی کامل برقرار نیست و در مسائلی از زاویه های مختلف به مسائل نگاه می شود که زبان مشترکی در توجیه آن وجود ندارد ولی به هر حال گامهای عظیمی را در توسعه این دانش برداشته اند.
ص: 15
ص: 16
عنوان موضوعی است که همه ی انسان ها درباره آن اندیشیده و می اندیشند و بسیاری از تحقیقات در این زمینه بوده است. حیات آنچه در ظاهر به نظر میرسد میل شدید به بقا و حفظ و تولید مثل است.همه ما با این سوال آشنا هستیم که" مرغ اول بوده یا تخم مرغ" و این پرسش به صورت بنیادی و علمی به این صورت می باشد که " پروتئین نخست بوده یا آر.اِن.اِ"
در ابتدای این فصل به جنبه های فیزیکی حیات می پردازیم.
1- اول اینکه مواردی که در موجودات زنده مورد استفاده قرار گرفته و در آفرینش آنها شرکت داشته همین موادی است که شما در آزمایشگاه ها پیدا
ص: 17
کرده اید و می شناسیم و موادی خارج از این حوزه، در مکانیسم ترکیبی این موجودات وجود ندارد.
2- این مواد که در ساختار موجودات زنده استفاده شده اند و خود موجودات زنده چون در قلمرو فیزیک هستند و جزو طبیعت محسوب می شوند لاجرم قوانین شناخته شده فیزیک و سنن جاری فیزیکی در بین آنها ساری است پس ما به دنبال پیدا کردن این قوانین در حوزه موجودات زنده هستیم لااقل تا آنجا که می توانیم و بدان مربوط می شود.
3- قوانین بقای فیزیک بر این سیستم ها، حکم فرماست نظیر قانون بقای انرژی.
سیستم بدن انسان برای کارکرد خود به انرژی نیاز دارد، حداقل مصرف انرژی روزانه آن، برای اینکه تنها زنده بماند نه فعالیت کند به اندازه یک لامپ 100 وات می باشد. پس انسان در هر ثانیه 100 ژول انرژی استفاده می کند، به این دلیل کلاسی که مملو از دانشجویان است پس از اتمام درس محیطی ناخوشایند است چرا که میزان زیادی گرما، بخار آب و گازها در فضای اتاق به علت فعالیت دانشجویان پراکنده شده است. پس با تنظیم یک جدول 24 ساعته می توانیم بگوییم در طول مدت شبانه روز چه میزان انرژی برای بقای ما لازم است اگر از این میزان کمتر به بدن ما انرژی برسد، رفته، رفته انسان به سوی مرگ پیش می رود، ابتدا بدن انسان از انرژیهای ذخیره شده به وسیله چربی این میزان انرژی را تأمین می کند ولی رفته رفته رو به تحلیل می رود. البته مسلم است یک دونده که 12 ساعت می دود میزان مصرف انرژی آن از کسی که 12 ساعت با کامپیوتر کار
ص: 18
می کند، به مراتب بیشتر است.
انسان در زمره حیوانات پستاندار قرار دارد، بخاطر خونگرم بودن پستانداران، باید میزان انرژی خود را در حد ثابتی حفظ کنند و همواره انرژی بسوزانند، چون دسترسی آنها به مواد غذایی همواره ممکن نیست لذا سیستم ذخیره سازی، در بدنشان وجود دارد، برای ایامی که دسترسی به مواد غذایی کمتر است از آن انرژی که به صورت چربی ذخیره شده است، استفاده کنند. مثلاً خرسها با ذخیرۀ چربی و اضافه وزن 40 تا 50 کیلویی زمینه خواب زمستانی خود بدون هیچ مشکلی را فراهم می آورند و شترها به گونه دیگر، و انسان ها نیز در اطراف پهلوها و سایر اندام این انرژی را ذخیره می کنند. ولی در انسان به علت دسترسی دائم به غذا و خوراک روند تأمین انرژی به حالت ثابت رسیده و در هر زمانی معمولاً غذای کافی در اختیار دارد لذا ذخیره انرژی دائماً در حال افزایش است بدون اینکه این انرژی ذخیره شده مصرف شود لذا بیماری چاقی گریبانگیر بشرمی شود. در اینجاست که اهمیت روزه داری به مدت یکماه البته با شرایط خاص آن برای سلامتی انسان مشخص می شود.
4) سیستم های زنده از نظر ترمودینامیکی خارج از تعادل هستند.
طبق قانون دوم ترمودینامیک اگر چنانچه جسمی درمحیط قرار دهیم بعد از مدتی این سیستم با دمای محیط به حالت تعادل ترمودینامیکی می رسد مثلاً یک لیوان پر از یخ و آجری گرم را در اتاقی قرار دهیم بعد از مدتی دمای آن با محیط یکسان می شوند و به تعادل می رسند. اما اگر الان چشمتان را ببندید و دست نفر کناریتان را بگیرید متوجه می شوید که دمای دستش بالاست حدود 37 درجه سانتی گراد اما اگر دمای آن با محیط یکی باشد حتماً از دنیا رفته است، چرا که
ص: 19
یک موجود زنده به تعادل دمایی با محیط نمی رسد.
عدم تعادل به علت جریان انرژی در درون سیستم می باشد. پمپ کولر آبی را فرض کنید،آب دائماً از پایین به بالا پمپاژ می کند، آب در جریان قرار گرفته و حرکت می کند ممکن است دمای این آب در حالت تعادل با محیط قرار نگیرید ولی حالتی پایا برای سیستم ایجاد می کند یعنی هر زمانی شما از هر نقطه عکس بگیرید این عکس همانند عکسی است که بعداً یا قبلاً گرفته اید ولی حالت تعادل ندارد، وقتی که سیستمی ترمودینامیکی که در حالت تعادل نیست بخواهیم در حالت پایا قرار بگیرد لازمه اش جریان انرژی است. چون این سیستم حیات سیستمی ترمودینامیکی خارج از تعادل است پس لازمه اش، جریان انرژی است که از جانب خورشید تأمین می شود پس اگر خورشید وجود نداشت لاجرم حیاتی هم وجود نداشت.
ترمودینامیک تعادلی سیستمهایی هستند که سالها روی آنها کار شده و حدود 200 سال است که تئوریهای آن مورد بررسی قرار گرفته و اطلاعاتی جامع و تقریباً کافی درباره ی آن داریم ولی سیستم های ترمودینامیک خارج از تعادل علمی نوظهور است که در راستای پویایی فیزیک بدان پرداخته می شود و هنوز نظریه کامل و جامعی نیست و همین سیستم های زنده که خودشان سیستمترمودینامیکی غیرمتعادل هستند بهترین آزمایشگاه در جهت، پژوهش این علم محسوب می شوند لاجرم زیست شناسی را مورد توجه فیزیکدانان قرار داده اند.
در این سیستم ما حیات را به صورت مجموعه حیات روی زمین نگاه می کنیم نه صرفاً امری جزیی، امری که یک ورودی و یک خروجی دارد، یک سیستم پایا همواره در آن به چشم می خورد.
ص: 20
5) تبدیل انرژی شیمیایی و حرارتی به مکانیکی
در حیات این تبدیلات مسأله ای مهم است. وقتی گلوله ای از سطح شیب دار پائین می آید یک تبدیل انرژی صورت می گیرد و حتی در قسمت پائین می تواند کار هم انجام دهد وقتی ما راه می رویم و تکان می خوریم، کار انجام می دهیم، انرژی از کجا تأمین شده است انرژی همان انرژی است که از خوردن غذا در ما به وجود آمده است پس حیات بدون حرکت بقا ندارد و این انرژی و حرکت هم از انرژی حرارتی و شیمیایی تأمین می شود.

شکل 1-1: بقای انرژی
ص: 21
تصویر (1-1) به نوعی بقای انرژی را نشان می دهد ولی حالتی است که در آن بقا وجود ندارد و این بدلیل آن است که تمام این فلش ها یک طرفه هستند یعنی نمی توانید برخلاف جهت حرکت کنید و این همان جریان پایای سیستم است.
شما فرض کنید در یک سطح شیب دار توپی از بالا به پایین آمده و انرژی آن از پتانسیل به جنبشی و گرمایی تبدیل شده آیا می توان با بازگرداندن گرما به آن توپ را به جای اول بازگردانیم مسلم است نه این فرآیند برگشت ناپذیر است. در فرآیندهای برگشت ناپذیر انرژی آزاد کاهش می یابد و آنتروپی افزایش می یابد.

شکل 1-2
تعریف فیزیکی انرژی آزاد به صورت رابطه 1-1 می باشد که قانون دوم ترمودینامیک نامیده می شود.
(1-1) .................................................................... F=E-TS
در این رابطه T دما و S آنتروپی است.
در فرآیندهای برگشت پذیر انرژی آزاد سیستم بقا دارد.یک آونگ ساده یا یک آونگ ایده آل برای همیشه به نوسان ادامه می دهد. فیلمی از یک آونگ که به جلو
ص: 22
و عقب نوسان می کند را در نظر بگیرید. اگر ما فیلم را برعکس نشان بدهیم، نخواهیم توانست آن را از حالت عادی تشخیص بدهیم و یا اینکه وقتی ما خودکاری را به بالا پرتاب می کنیم و می گیریم اگر از این صحنه فیلم برداری شود و معکوس شود کسی متوجه نمی شود که فیلم معکوس شده اما اگر شما خودکار را روی زمین بیاندازد و فیلم برداری کنید سپس فیلم را معکوس کنید شما متوجه خواهید شد. تفاوت فرآیندهای برگشت پذیر و برگشت ناپذیر در اینجا خود را نشان می دهد.
به طور کلی در هر دو گونه فرآیند چه برگشت پذیر چه برگشت ناپذیر قانون بقای انرژی حاکم است. ولی در فرآیندهای برگشت ناپذیر انرژی آزاد تلف می شود و کم می شود.بنابراین طبق قانون ترمودینامیک سیستم زمانی در حالت پایدار است که انرژی آزاد آن به حداقل برسد.
در شکل1-3 مشاهده می شود که انرژی خورشید به سوی کم شدن انرژی آزاد پیش می رود. خورشید را در نظر بگیرید به زمین تابش می کند یک انرژی هم جهت متمرکز وقتی به زمین برخورد می کند، زمین به صورت جسم سیاه شروع به تشعشع می کند، و انرژی آزاد را کاهش می دهد.

ص: 23
در فرآیند تبدیل انرژی باکیفیت خورشید به انرژی بی کیفیت، بیوسفر قرار گرفته که از این انرژی استفاده می کند، همانند فرآیند یخ زدن آب که، در حال عادی آب وقتی یخ می زند آرایش مولکولها منظم تر می شوند یعنی آنتروپی یخ پایین آید، ولی در مجموع خود یخچال که حرکت گاز نئون و فرآیند گرماگیری را جستجو می کنیم آنتروپی افزایش پیدا کرده علی رغم آنکه آنتروپی آب کاهش پیدا می کند. در این روند یک انرژی منظم داخل می شود و یک انرژی نامنظم گرفته می شود. در این بین نظمی از نوع نظم یخ در وسط باقی می ماند. پس انرژی بقا دارد ولی سیستم های زیستی فرآیندهایی برگشت ناپذیرند. بنابراین همواره رو به تعادل پیش می رویم و صرف انرژی می کنیم، انرژی آزاد بیشتر همواره به سوی انرژی آزاد کمتر در حال حرکت است. اگر ما مسیر رسیدن به انرژی آزاد کمتر، را بدانیم، می توانیم خیلی از اتفاقات را پیش بینی کنیم. یک سیستم تمایل دارد از مکانی به مکان دیگر منتقل شود که کمینه انرژی آزاد در آن وجود دارد و این قانون دوم ترمودینامیک است.
حرکت به سمت تعادل= انرژی آزاد کمتر
(1-1) .................................................................... F=E-TS
در این رابطه:
F انرژی آزاد، E انرژی، T دما، S آنتروپی
توپی در یک فضای نیم دایره حرکت می کند را در نظر می گیریم.
ص: 24

شکل 1-4
اگر از اصطکاک و اتلاف گرمایی صرفنظر کنیم پس توپ در حالتی نوسانی تا ابد انرژی پتانسیل را به جنبشی تبدیل کرده و نوسان می کند اما اگر اصطکاک و تبدیل به گرما باشد، توپ در نهایت در نقطه B متوقف می شود، چرا که آنجا نقطه ای است که بیشینه اتلاف انرژی پتانسیل اتفاق افتاده و مقدار انرژی آزاد کمترین مقدار خود را دارد.
در سیستم های حیاتی، رسیدن به تعادل برابر با مرگ است و این، در دید کلی نسبت به حیات است نه جزء نگر، یعنی در مجموع کل حیات نگاه می کنیم باید سیستم غیرتعادلی باشد تا حیات وجود داشته باشد.و از طرفی سیستم های مورد مطالعه حیات سیستم هایی باز هستند یک سیستم بسته با وجود اتلاف انرژی لاجرم به تعادل می رسد ولی سیستم باز که جریان ورود و خروج انرژی در آن وجود دارد به تعادل نمی رسد نظیر پاندول ساعت که به موتوری متصل است، نوسان می کند اگر موتور متوقف شود پاندول به تعادل می رسد و در غیر این صورت حالتی تعادلی وجود ندارد.
جریان انرژی= افزایش آنتروپی
ص: 25
در سیستم خورشید و زمین، انرژی خورشید با کیفیت بالا و آنتروپی پایین به جانب زمین سیر می کند و در مواجه با زمین، زمین به صورت تابش جسم سیاه اما با آنتروپی بالا در جهات مختلف تشعشع می کند، اگر مقدار انرژی که از خورشید به زمین می رسد با انرژی که زمین به عالم تابش می کند برابر نباشد در این صورت یا افزایش انرژی گرمایی زمین، یا کاهش انرژی را داریم.
مقدار تابش خورشید به زمین با استفاده از فرمول 1-2 محاسبه می شود
(2-1) .................................................................... J=σT^4
در این رابطه:
J آهنگ تابش گرما، σ ثابت استفان- بولتزمن، T دما
رابطه 1-2 مقدارکل انرژی ای را که یک جسم از خود تابش می کند و دمابیان می کند. طبق این قانون کل انرژی تابیده شده از واحد سطح جسم سیاه در واحد زمان با توان چهارم دمای آن جسم بر حسب کلوین متناسب است.
با این فرمول می توانید دمای سیارات دیگر را چه فراخورشیدی و چه در منظومه خورشیدی محاسبه کرد و این مستقل از وجود حیات در سیاره است. و شما نمی توانید تشخیص دهید که آیا حیاتی در آن سیاره وجود دارد یا نه، این موضوع فقط بقای انرژی است. در این سیستم انرژی آزاد بیشتر از خورشید به انرژی آزاد کمتر در تابش زمین مبدل می شود و به سوی کاهش انرژی آزاد سیستم پیش می رویم.
به ناحیه ای چند صد کیلومتری از عمق اقیانوسها تا بالا جو که حیات وجود دارد اصطلاحاً بیوسفر گویند.در گیاهان به وسیله سیزینه، نور و آب و co2 و ازت مولکولهای هیدروکربن
ص: 26
تولید می شود که مولکولهای آلی به آنها می گویند. که رشته های بلند هستند، مولکولهای عالی از جنس قندها و چربی و بافتهای گیاهی می باشند و این فرآیند تلقی هم دارد چرا که این فرآیند، فرآیند بسته نیست. پس انرژی را می گیرد و کار منظمی انجام می دهد و در نهایت در جهت کاهش انرژی آزاد پیش می رود. و مقداری اکسیژن، بخار آب و گازهای دیگر نیز از آن خارج می شود. این فرآیند اصلی شروع حیات است چرا که حیات احتیاج به این مولکولهای آلی دارد.

شکل 1-5: مولکول آلی
فرآیندهای اصلی بیوسفراین دو فرآیند هستند که اتفاق می افتد.
در مورد حیات درباره چه مقیاس هایی صحبت می کنیم؟
چرا مولکولهای این قدر کوچک هستند؟
حیات پیچیده است و درست کردن حیات با تعداد کم مولکول غیرممکن است. برای آنکه حیات داشته باشیم به میزان زیادی مولکول احتیاج داریم، که مکانیزم بسیار پیچیده ای است. نمی توان با دو مولکول مثلاً هیدروژن و اکسیژن،
ص: 27
موجود زنده انتظار داشته باشیم. لازمه حیات حضور مقدار بی انتهایی مولکول و اتم است و دلیل اینکه چرا مولکول ها آنقدر کوچکند این است که ما خیلی بزرگیم، اگر ما از دو مولکول تشکیل شده بودیم مولکول برایمان کوچک محسوب نمی شد ولی یونی با حدود 26^10 مولکول یک مولکول در برابرش کوچک است. کوچکترین موجود زنده که می شناسیم ابعاد میکرومتر دارد که خود در مقایسه با ابعاد مولکول که در حد انگسترم است، بسیار بزرگ است. در کوچکترین باکتری چند میلیارد اتم وجود دارد الان به دنبال کوچکترین موتورها و ادوات مختلف هستیم ولی تا کجا می توان پیش رفت به هر حال یک حدی وجود دارد،و همین طور حیات کوچکتر از آنچه طبیعت در بر دارد وجود ندارد چون مکانیزمی بسیار پیچیده است.
باکتریهای یک میکرونی از گلبول سفید فرار می کند ساختارهای بسیار پیچیده ای از حرکتهای مختلف وجود دارد و سپس یکسری مکانیزم های کارآ در آن وجود دارد که ابعادشان از مرتبه نانومتر می باشد.
پس با رسیدن به ابعاد نانو پنجره ای به سوی حیات باز می شود و جهانی جذاب را برای ما به ارمغان می آورد. پس مقیاس طولی فیزیک حاکم نانومتر است.
مقیاس نیرو در ابعاد بایولوژی از مرتبه پیکونیوتن است، نیروهایی که به هم وارد می کنند و حرکتهایی که می کنند که با سیستم های بایولوژی می توان اندازه گیری کرد از مرتبه پیکونیوتون می باشد و این مسأله را می توان طور دیگر هم حدس زد به خاطر اینکه میزان انرژی مؤثر در حیات برابر انرژی گرمایی می باشد همه ما در سیستم هایی هستیم که بالا و پایین رفتن دمای بدن منجر به بیماری می شود.
ص: 28

انسان بسیار موجود حساسی است و دمای بدن باید در این سیستم دقیق تنظیم شده باشد این موجود در دمای اتاق کار می کند.
بشر نگران افزایش دمای زمین است، چرا که گرم شدن زمین عامل می شود که دو درجه دمای کل کره زمین افزایش یابد و همین منجر به انقراض حیات روی کره زمین شود. پس حاصلضرب ثابت بولتزمن ضربدر 300 درجه کلوین همان می باشد 4.1×10j^-21 که انرژی گرمایی معادل دمای اتاق است. اگر بخواهیم در ابعاد نانو ضربدر نیرو را در این فرآیند دخیل کنیم نیرو در مرتبه پیکونیوتونمی باشد، یعنی اگر یک پروتئین و DNA که بهم چسبیده اند بخواهیم از هم جدا کنیم در حدود چند پیکونیوتن نیرو لازم است.
باید خاطر نشان کرد که در توجیه مسائل حیات احتیاجی به استفاده از قوانین مکانیک کوانتومی نیست چرا که این مکانیزم ازمرتبه نانو بوده و در مرز است ولی در توجیه پدیده فتوسنتز و واکنش های شیمیایی و فعالیت های مغزی کاربردهای خاص خود را دارد. ولی در توجیه فعالیت های حیاتی احتیاجی به دخالت کوانتومی نیست.
ص: 29

شکل 1-6
اگر به کوچکترین ساختارهای حیات نگاه کنیم مشاهده می کنیم اتم ها از مرتبه انگستروم هستند، که از کنار هم قرار دادن آن ها پروتئین ها یا DNA ها که ابعادی به اندازه 2 نانومتر و طول بلندتریدارند تشکیل می شوند،سپس ساختارهای سخت تری مانند اسکلت سلولی کهاز کنار هم قرار گرفتن پروتئین ها تشکیل می شود به وجود می آیند.
ویروس ها نیز از ساختارهای بسیار منظم، عظیم و پیچیده به وجود آمده اند و برای کارهای دقیقی طراحی شده اند.
زمانی که اسکلت سلولها را مورد مطالعه قرار میدهیم، با مولکول سروکار داریم که موجود زنده ای نیستندو می توان آنها را در آزمایشگاه ساخت. ویروس ها ساختاری عظیمی دارند که در مرز موجودات زنده نشسته اند، چون برای تکثیر
ص: 30
احتیاج به یک موجود زنده دیگر دارند خودشان نمی توانند خود را تکثیر کنند ولی از لحاظ اطلاعاتی تمام اطلاعات و نقشه ساختار خود برای تولید خود دارد پس از نظر اطلاعاتی زنده هستند.
باکتریها نیز از میلیونها مولکول و DNA و اسکلت و حتی ویروس ساخته شده اند ابعاد آن در حد میکرون می باشد، و توانایی تکثیر خود را دارند.
بنابراین از باکتری به بعد در زمره موجودات زنده محسوب می شوند ولی در زمینه ویروس همواره اختلاف نظر وجود دارد چون خودشان کارخانه تولید خود را ندارند ولی تمام اطلاعات برای تکثیرشان را دارند.
بعد از باکتریها به قلمرو موجودات چند سلولی مثل گلبول سفید می رسیم گلبول سفید ده برابر باکتریها هستند و بعد ساختارهای بزرگتر و بزرگتر
سوالی که در اینجا مطرح است، که چرا سلول ها آنقدر کوچک هستند؟
دلیل آن واضح است، ما خیلی بزرگ هستیم و سیستمهای بزرگی مثل ما با یک یا دو سلول توان کار کردن ندارد.

شکل 1-7: نمایی سه بعدی از مغز استخوان شامل سلول های بنیادی
ص: 31
پس پروتئینها و چربیها ابعاد چند نانومتری دارند، بزرگترین ویروسها به 100 نانومتر هم می رسند و همین طور هر قدر که بالاتر می رویم ساختارها پیچیده و ابعاد بزرگتر می شود تا اینکه به انسان و گیاهان غول پیکر چند صدمتری می رسیم که مکانیزم فیزیکی بسیار پیچیده ای بر آنها حاکم است مثلاً یک درخت چوب سرخ یکصدمتری از چه مکانیزمی برای انتقال آب به سر درخت استفاده می شود و امثال آن، شایان ذکر است که همان طور که فاصله زمین تا خورشید از توان (12^10) می باشد نسبت کوچکترین ساختار تا بزرگترین ساختار هم در موجودات زنده از همین مرتبه می باشد یعنی به اندازه فاصله زمین تا خورشید، از طرفی ما در فیزیک بازه ها را محدود می کنیم به بازه های خاص مثلاً در گردش سیاره زمین حول خورشید، حرکت تند آدمها روی زمین را در نظر نمی گیریم و آن ها را که حرکت کتره ای است به گونه ای حذف می کنیم و یا برخورد گلوله های بیلیارد، حرکت کند ماه و خورشید را نادیده می گیریم اما در مورد بیولوژی چنین نیست اگر یکی از اتمهای DNA تغییر شکل دهد یا به گونه ای دیگر ظهور کند.گونه های مختلفی ظهور می کنند مثلاً رنگ چشم متفاوت می شود. در ابعاد نانومتر روی سیستم تغییرات تأثیر می گذارد ممکن بود در اثر این تغییرات در کودکی دچار بیماری شویم، یا در جهشی دچار سرطان خاصی شویم و به همین گونه این دو سیستم را نمی توانید از هم جدا کنید این یکی از جذابیت های مسأله می باشد.
پس از جذابیتهای زیست شناسی برای فیزیکدانان آن است که بازه تأثیرات آن بسیار وسیع است جهشی در مقایس نانو خود را در مقیاس های بزرگ نشان می دهد
ص: 32
یکی از سوالاتی که همواره پیش روی هر علمی است تعریف دقیق موضوع مورد بررسی آن است. موجود زنده چیست؟
و چه طور می توان مرز آن را از موجودات غیرزنده مشخص و متمایز کرد؟
در زیست شناسی اغلب از چند ویژگی یاد می کنند که براساس آن ها، هر آن موجودی که حداقل برخی از آن ها را در بر داشته باشد می تواند "زنده" خطاب شود. این خصوصیات به این شرح می باشند.
1-سازماندهی(1):
موجودات زنده درجه بسیار بالایی از سازماندهی را به نمایش می گذارند. این سازماندهی از ساده ترین موجودات زنده ی تک سلولی تا موجودات زنده پرسلولی قابل رویت است. موجودات
ص: 33
زنده پرسلولی به واسطه دستگاه ها، سازماندهی شده اند. دستگاه ها مجموعه ای از اندام ها هستند که نقشی ویژه را در بدن موجودات پرسلولی ایفا می کنند. دستگاه ها به نوبه خود از اندام ها ساخته شده اند و اندام ها نیز بافت ها و بافت ها از سلول ها ساخته شده اند. سلول نیز به نوبه خود از اندامک هایی ساخته شده که به آن سازمان می دهد.
2-حفظ موجودیت یا پایداری(1):
منظور از پایداری، قابلیت ثابت نگه داشتن محیط درونی بدن یا سلول است، نظیر حرارت، PH، جمع شدن آب و... اگر شما تب زیادی بکنید خطرناک است چرا که امکان دارد به اندام هایتان آسیب زده و آنها را از کار بیندازد. فعالیت های عضلانی، گرما را به عنوان یک محصول زائد تولید می کنند، این گرما با مکانیزم عرق کردن از بدن ما خارج می شود، در برخی از موجودات نظیر پستانداران و پرندگان از این گرما برای ثابت نگه داشتن درجه حرارت درونی بدن استفاده می شود.
3- سازش با محیط یا سازگاری:(2)موجودات زنده، خودشان را با شیوه های مختلف حیات وفق می دهند، این موضوع یکی از اساسی ترین اصول چهارگانه نظریه داروین-والاس است.
4-تولید مثل و وراثت(3):همه
سلول ها از سلول های دیگر به وجود می آیند و از این رو آنها نیازمند شیوه هایی برای تولید مثل خود هستند. از این رو سلول ها به جنسی و غیرجنسی تقسیم می شوند.
ص: 34
5-رشد و نمو(1):حتی موجودات تک سلولی هم رشد می کنند، زمانی که بر اثر تقسیم سلولی ایجاد می شوند کوچک هستند و باید رشد کرده و بالغ شوند. موجودات چندسلولی، مکانیزم رشد پیچیده تری دارند چرا که از سلول های بیشتری تشکیل شده و نیامند تمایزپذیری و ... نیز هستند.
6-جذب و دفع انرژی:(2)یک نظریه می گوید، حیات، حاصل کسب انرژی از طریق نور خورشید، واکنش های شیمیایی مواد معدنی، سایر ارگانیسم ها و... و رها کردن آن است که با تولید انرژی و ATP همراه است.
7-تشخیص و پاسخ به محرک ها :(3)همه موجودات زنده توانایی تشخیص و نیز پاسخ به محرک های درونی و بیرونی را دارند.
8-تعامل یا فعل و انفعال(4):موجودات زنده، درست به خوبی سایر چیزها، ارتباط خوبی با محیط پیرامونشان دارند. آنها مواد خام و انرژی را از محیط و نیز سایر موجودات زنده به دست می آورند. وجود اشکال گوناگونی از همزیستی (ارتباطات موجودات زنده با هم) مثال هایی در این رابطه است.
تولید مثل یکی از بنیادی ترین مفاهیم زیست شناسی است.تولید مثل در زیست شناسی به معنای تولید یک نسخه ی مشابه و در نتیجه ادامه پیدا کردن حیات است، یکی از نخستین ویژگی هایی که موجب پیدایش حیات شده بایستی توانایی یکسری واکنش های شیمیایی در زمین اولیه در تولید کپی از خودشان
ص: 35
بوده باشد. تولید مثل در پایه ای ترین سطح در واقع بازتولید شیمیایی است.این مفهوم بنیادی تر از چیزی است که در نگاه اول به نظر می رسد. برای درک این موضوع باید به مبدا حیات برگشت. و چطور حیات بهبود بخشید. پس اگر ما بخواهیم جزء جزء کار را مشاهده کنیم، همه از مولکول ساخته شده اند. این مهندسی بی نظیر که در پشت این مولکولها قرار دارد، حیات را شکل می دهد.

پروتئین ها مواد مغذی اصلی هر سلول زنده هستند.

شکل 2-1: پروتئین
ص: 36
پروتئین ها مواد آلی بزرگ و یکی از انواع درشت مولکول های زیستی هستند (شکل2-1).
که از زیر واحدهایی به نام اسید آمینه ساخته شده اند، پروتئین ها مانند زنجیری از یک کلاف سه بعدی بسپارهایی (پلیمرها) [ماده ای شامل مولکول های بزرگ است که از به هم پیوستن واحدهای کوچک تکرار شونده که تکبار یا مونومر نامیده می شود ساخته شده است] هستند که از ترکیب اسیدهای آمینه حاصل می شوند. اسیدهای آمینه مثل یک زنجیر خطی توسط پیوند پپتیدی(1)
که یک پیوند شیمیایی بین دو مولکول است و گروه کربوکسیل یک مولکول با گروه آمین مولکول دیگر واکنش می دهد، ایجاد می شود، در این پیوند آب آزاد می شود و بیشتر میان دو اسید آمینه برقرار است. اگر تعداد اسیدهای آمینه پیوندی کم باشد به آن الیگو-پیتید(2)
و اگر تعداد اسیدهای آمینه زیاد باشد بهآنها پلی پپتید(3)
گویند ترتیب اسیدهای آمینه در یک پروتئین توسط ژن مشخص می شود. اگرچه کد ژنتیک کد 20 اسید آمینه را معرفی می کند.

شکل 2-2: پیوند پیتیدی
ص: 37
اسید آمینه در شیمی به هر مولکولی که شامل گروه های کاربردی آمینه و کربوکسیلیک است گفته می شود. اسیدهای آمینه واحد تشکیل دهنده پروتئین است.
هر اسید آمینه از یک کربن نامتقارن به نام کربن x تشکیل یافته است که با چهار گروه مختلف کربوکسیل (COOH) اتم هیدروژن، گروه آمینه بازی (NH3-) و یک زنجیره غیرجانبی (R-) پیوند برقرار می کند (شکل2-3).

شکل2-3: ساختار اسید آمینه
ریشه R ممکن است یک زنجیره کربنی و یا یک حلقه کربنی باشد، عوامل دیگری مانند الکل C(n)H(cn+1)OH، آمین، کربوکسیل و نیز گوگرد می توانند در ساختمان ریشه R شرکت کنند.اگر چند رشته از اسیدهای آمینه به یکدیگر متصل شوند، فرآیند پلیمریزاسیون اتفاق می افتد. این پلیمرها اگر دارای خاصیت خاصی باشند به آنها
ص: 38
پروتئین می گویند که طبیعت آن را درست می کند، پروتئین موجود خاصی است، در آزمایشگاه احتمال ساختنش بسیار ضعیف است ولی طبیعت آن را می سازد. هر رشته از اسیدهای آمینه پلیمرپپتید(1) گفته می شود وقتی پروتئین است که ویژگی خاصی داشته باشد، مانند پلیمر پپتیدهایی که در طبیعت هستند وبرای کارکرد خاصی طراحی شده اند.بنابراین به طور تصادفی نمی توان پروتئین ساخت. شانس اینکه بتوانیم یک پلیمرپتپیدی بسازیم که بیولوژیکی کار کند، تقریباً صفر است.تعداد اسیدهای آمینه در طبیعت محدودندهمان طور که گفته شد ما 20 نوع اسیدآمینه بیشتر در طبیعت نداریم تمام پروتئین هایی که در طبیعت وجود دارند به وسیله این 20 اسیدآمینه ساخته می شوند(شکل2-4).

شکل2-4: اسیدهای آمینه در طبیعت
ص: 39
نکته:
بیش از 300 نوع اسیدآمینه در طبیعت وجود دارد که فقط 20 نوع اسیدآمینه در سنتز پروتئین ها شرکت می کند. فقط اسیدآمینه L-Alpha در سنتز پروتئین ها شرکت می کنند یعنی از نظر ایزومر نوع L هستند و عامل آمین آن ها به کربن اتصال دارد (شکل2-5).

شکل2-5: اسید آمینه L-Alpha
اختلاف آمینواسیدها در زنجیره جانبی است که این زنجیره جانبی می تواند از یک هیدروژن تا ساختارهای بسیار پیچیده و بزرگ در یک زنجیره باشد، پس تمام پروتئین هایی که داریم از 20 اسیدآمینه تشکیل شده اند وقتی این اسیدهای آمینه پلیمر می شوند تشکیل یک پروتئین را می دهند، یک پروتئین کد خاصی از چیده شدن این پلیمرها کنار هم می باشد. حالا چگونه چیده شدن آنها اطلاعاتش در DNA وجود دارد، اگر DNA نبود این پروتئین ها اصلاً ساخته نمی شوند چون پروتئین امکان ندارد تصادفی ساخته شود، RNA آن اطلاعات را برداشته و در سیستمی قرار می دهد تا آن پروتئین ساخته شود.
ص: 40
وقتی پروتئین ساخته می شود بین قسمتهای مختلف مثلاً اکسیژن هایی که در اطراف هستند و نیتروژنها پیوندهای هیدروژنی درست می شود، پیوندهای هیدروژنی باعث می شود، پروتئین ها ساختار بگیرندو مثل یک رشته پلیمری آزاد نباشند، ساختارهایی که به صورت یک صفحه و یا یک موجود مارپیچ خود را نشان می دهد و در نهایت این موجودات شکلهای پیچیده ای درست می کنند.
و به شدت این شکل در کارکرد آنها مهم است و به محیط اطرافشان هم حساسند یعنی کارکرد یک پروتئین را شکل آن و شکل آن را محیط اطراف می سازد، شکل آنها به غلظت نمک، غلظت اسیدی، دما و به مواد جانبی حساس است و همین حساسیت ها موجب عملکرد پروتئین می شود، مثلاً اگر در کنارش یونی باشد باز شده و فعالیت می کند و اگر نباشد بسته شده و هیچ عکس العملی نشان نمی دهد. و این همان مکانیزم تشخیص محیط اطراف است چون شکل نهایی آن در کارکرد آن مؤثر است.
مولکولها در کنار هم ساختار تشکیل می دهند، بعضی از این ساختارها، مثل ساختارهای غشاء داخلی نرم هستند، خیلی راحت تغییر شکل می دهند حباب می شوند و تحولات زیادی را دارند، ولی برخی ساختارها، سختند، دیواره های سلول از جنس نرم است، سؤال اینجاست که چرا سلولها می توانند شکل ها مختلفی به خود بگیرند در صورتی که مثلاً اگر به حباب صابون دقت کنیم، مشاهده می کنیم حباب صابون برای اینکه کشش سطحی را کم همیشه مثل یک توپ می شود.
ص: 41
چرا سلولها شکلهای مختلفی به خود می گیرند؟
سلول برای شکل گیری به اسکلت احتیاج دارد، اسکلت باید دارای ساختاری سخت باشد،اسکلت با کنار هم قرار گرفتن پروتئین ها ساخته می شود. بنابراین پروتئین ها می توانند، ساختارهای مختلفی بسازند.
بنابراین اسکلت سلولی شبکه ای از رشته ها و لوله های پروتئینی می باشدکه سرتاسر سیتوپلاسم پراکنده شده اند. این رشته ها و لوله های درون سیتوپلاسم در سه شکل متفاوت دیده می شوند.
1-میکروتوبول(1):
لوله هایی هستند قطرشان 25 نانومتر و طولشان در بازه میکرومتر می باشد و در ساختار اسکلت سلول و حرکتهای مهم سلول نقش اساسی دارند. میکروتوبول ها از یک طرف در حال ساخت و بزرگ شدن و از طرف دیگر در حال تجزیه شدن می باشند.

شکل 2-6: انواع اسکلت سلولی
ص: 42
2-فیلامنت های حد واسط(1): یکی از اعمال این رشته ها فراهم نمودن تکیه گاه مکانیکی برای سلول و تعیین موقعیت اندامک ها می باشد. بطور مثال پروتئین ویمنتین هسته و قطرات چربی را در سلول های پوششی رگهای خونی در موقعیت خاصی ثابت نگه می دارد و نیز ساختارهای بلند و سخت را تشکیل می دهند.
3-ساختارهای اکتین(2):این ساختارهاکه از هم تنیده شدن رشته ها به وجود می آید و سلول به وسیله این ساختارها به خود شکل می دهد این رشته ها توسط برخی پروتئین ها به یکدیگر متصل می شوند مانند پروتئین فودرین بین رشته ها اتصالات عرضی ایجاد نموده و دسته های پهلو به پهلو را بوجود می آورد(زاویه بین رشته ها صفر درجه می باشد) یا پروتئین فیلامین دو رشته اکتین را بازاویه 90 درجه به یکدیگر متصل کرده و شبکه ای از رشته ها را بوجود می آورند. پروتئین فودرین می تواند فیلامنت های اکتین را بصورت موازی به پروتئین های غشا متصل نموده شکل و سختی نسبی سطح سلول را فراهم نمایید. در غیاب این اسکلتها تمام سلولها مثل توپ بودند.
(به شکل 2-6 دقت شود)
در طبیعت پروتئین های فلورسانس وجود دارد، معروفترین آنها در بدن یک عروس دریایی یافت شده، بدین صورت که رنگ سبز پروتئین چتر دریایی زیر نور آبی و نور ماورای بنفش خود را نشان می دهد( شکل2-7).
ص: 43

شکل 2-7: عروس دریایی
سیستم عملکرد آنها به این صورت است که، پروتئین هایی که میکروتوبول ها را به وجود آورده اند دستکاری ژنتیکی می کنند، که در آنها یک دونبالچه از جنس این پروتئین ها ساخته شود، پس به هر پروتئین یک چراغ هم وصل شده است. زیر میکروسکوپ تا با ذره و نور ماورای بنفش می تابانند و سلولها را مشاهده می کنند. قطر این میکروتوبول ها در حد نانو می باشد و با چشم قابل مشاهده نیست بلکه نور آنها رؤیت می شود. هر سلولی که کروی نیست حتماً یک ساختار سخت دارد. یکی از ساختارهای سخت میکروتوبول ها هستند و در سلولهای عصبی به منزله ریل راه آهن هم هستند و اطلاعات را رد و بدل می کنند.
یک ذره ویروسی دارای یک هسته مرکزی اسید نوکلئیکی DNA یا RNA به عنوان ماده ژنتیکی می باشد. ویروسدارای پوشش پروتئینی در اطراف اسید نوکلئیک می باشند، با استفاده از امکانات سلولی و یا خودش، در سلول های میزبانتکثیر می شود و فعالیت اصلی یاخته هایمیزبان را مختل می کند.اگر سلول نباشد، ویروس مانند یک مولکول عمل می کند و هیچ فعالیتی جهت تکثیر را ندارد.
ص: 44

شکل 2-8: ویروس و اجزای آن
ویروسها کارهای زیادی را انجام می دهند و هر ویروس بلای خاصی را سر سلول می آورد. اکثر سلولها علاوه بر تکثیر خود صدمه به سیستم هم وارد می کنند.بعضی از این ویروسها فقط RNA دارند،RNAخود را در سیستم تزریق می کنند، سپس پروتئین های خود را هم می سازند و تکثیر می شوند. برخی دیگر DNA دارند، RNA را در خود سلول برای آنها می سازد و روند تکثیری خود را ادامه می دهند.

شکل 2-9
ص: 45
دئوکسی ریبونوکلئیک اسید نوعی اسید نوکلئیکمی باشد که دارای دستورالعمل های ژنتیکیاست که برای کار کرد و توسعه بیولوژیکی موجودات زندهو ویروسمورد استفاده قرار می گیرد. نقش اصلی مولکول DNAذخیره سازی طولانی مدت اطلاعات ژنتیکی می باشد.DNA اسیدنوکلئیکی است شامل پروتئین و کربوهیدرات هاست. اسیدهای نوکلئیک از سه ماکرومولکول اصلی تشکیل شده که برای زندگی همهیگونه هایشناختهشده ضروری می باشد. اکثر مولکول DNA از دو رشتهیپلیمریزیستیکهبهصورتحلقه دور هم پیچ خورده و به شکل یک مارپیچ دوگانه در آمده است. دو رشتهی DNA به عنوان پلی نوکلئوتید شناخته شده، که از واحدهای ساده تری به نام نوکلئوتید ساخته شده است. هر نوکلئوتید از یک باز آلی، گوانین(G)، یا سیتوزین(C)، یا آدنین(A)، یا تیمین(T)، و از یک قند مونوساکاریدی به نام دئوکسی ریبوز و یک گروه فسفات تشکیل شده است.
RNA(1)
اسید ریبونوکلئیکبرخلاف DNA بیشتر مولکول های RNA تک رشته ای هستند.
برخی ویروس ها، از آران ای بجای دی ان آ بعنوان ماده ژنتیکی شان استفاده می کنند. همه اندامگانهااز آران ای پیام رسان، برای جابجایی داده های ژنتیکی استفاده می کنند که به ساخت پروتئین ها می انجامد.
اینکه RNA از روی DNA کپی برداری کند خود ابزاری لازم دارد که از جنس
ص: 46
پروتئین است شکلی شبیه دست دارند که دور DNA قرار گرفته و RNA را می سازند، RNA که بیرون می آید، کل این حرکت انرژی سوز است باید ATP انجام دهد که این فرآیند اتفاق بیافتد حالا اینکه خود RNA چگونه بفهمد از کجا تا کجا را کپی برداری کند بحث پیچیده ای را می طلبد.
وقتی RNAها بیرون آمدند، به وسیله Ribosomeها که خودشان از 30 پروتئین ساخته شده اند، از روی RNA یک پروتئین می سازد، و این پروتئین را وارد دنیای ما می کند درواقع خلقت یک پروتئین اتفاق می افتد(شکل2-9).خود ساختار ریبوزم ساختار پیچیده ای است که از 30 پروتئین ساخته شده است.
ریبوزوم ها چه یوکاریوت ها(1)(به
جانداری که یاخته های آن هسته ی واقعیوغشادارد یوکاریوتگفته می شود) و چه پروکاریوت ها(2)(به
جانداری که یاخته های آن هسته ی واقعی و غشای هسته ندارد پروکاریوت گفته می شود)از دو زیرواحد کوچک و بزرگ تشکیل شده اند. هر کدام از این زیرواحدها دارای یک یا چند مولکول Rrna(RNA های ریبوزومی) و تعدادی پروتئین اند. ریبوزوم یک ریبوزیم است. یعنی RNA هایی دارد که خاصیت آنزیمی دارند. پروتئین هایی هم که در ریبوزوم هستند به این خاصیت آنزیمی کمک می کنند.یوکاریوت ها زیر واحد بزرگ ریبوزوم دارای 49 پروتئین و زیر واحد کوچک آن دارای 33 پروتئین در ساختار خود می باشد.
و اینجا یک سؤال بنیادین زیست شناسی خود را نشان می دهد و آن سؤال مرغ
ص: 47
و تخم مرغ است. برای ساختن پروتئین ما احتیاج به پروتئین داریم، این پروتئین ها هستند که پروتئین ها را می سازند، خود اطلاعات این پروتئین ها هم روی DNA نوشته شده است. حالا اول پروتئین بود یا اول DNA بوده است؟
که هنوز جوابی هم برای آن تاکنون وجود ندارد.
ص: 48
فیزیک علمی است غیرتوصیفی و کمی، پس در فیزیک به دنبال کمی کردن مسائل هستیم، فیزیک علمیست که باید پیش بینی کند و به شما نتیجه بدهد، موجودات زنده و کوچکترین آنها که، موجودی یک میکرونی است از تعداد زیادی اتم و مولکول ساخته شده است. پس در همان جهان چند میکرونی مقدار زیادی ماده وجود دارد، این مکانیزم در دمای محیط یعنی، حدود 300 درجه کلوین است، که نمی توان در این بازه از افت و خیزهای دمایی صرف نظر کرد، اگر به دنیای میکروسکوپی نگاه کنید همه ذرات با سرعتهای زیادی در حال حرکت هستند و این افت و خیزها به صورت رقصی خود را نشان می دهند. سؤالی که مطرح می شود، در این جهان پرآشوب پر افت و خیز چگونه می توانیم جهانی
ص: 49
هدفمند داشته باشیم؟برای پاسخ به این سوال از مکانیک آماری کمک گرفته می شود، علی رغم افت و خیزهایی که در نگاه موضعی به جریانات داریم در بازه ی آماری چنین نیست بلکه دقیق تر می توان پدیده ها را بررسی کرد.
در فصل های گذشته این سؤال مطرح شد که چرا مولکول ها آنقدر کوچکند در پاسخ از نسبت به چه چیز صحبت کردین؟ نسبت به ما، که از اجتماع نامتناهی از مولکول ها شکل گرفته ایم، و آنها هم از انبوهی ذرات تشکیل شده اند.
نتایج حاصل از یک آزمایش تصادفی را به صورت های مختلفی می توان بیان نمود.
مثلا شیر یا خط را با نماد 1 و -1 نیز نمایش داد. از آنجا که این اعداد درآزمایش به صورت تصادفی ظاهر می شود می توان آن را با یک متغیرتصادفی مثل x نمایش داد.با استفاده از متغیر تصادفی تفسیرنتایج حاصل ازآزمایش های تصادفی ساده ترمیشود.
یک متغیرتصادفی، تابعی است از فضای نمونه به زیرمجموعه ای ناتهی ازاعدادحقیقی که آن را با حروف X,Y,… نمایش می دهیم.
تابع توزیع بیانگر احتمال هر یک از مقادیر متغیر تصادفی (در مورد متغیر گسسته)و یا احتمال قرار گرفتن متغیر در یک بازه مشخص مثلا x تا x+dx (در مورد متغیر تصادفی پیوسته) میباشد (شکل 3-1).
ص: 50

شکل 3-1: تابع توزیع احتمال
اگر در کل فضای احتمال ما
(1-3)

1-3 برقرار باشد تابع توزیع احتمال گوییم.
بنابراین برای محاسبه احتمال یک ناحیه مثل ناحیه [a,b] ازمتغیرتصادفی یپیوستهxآن ناحیه را به قسمتهای کوچک به طول dxتقسیم نموده و احتمال آن قسمت های کوچک را با هم جمع می کنیم.
(2-3)

اگر کمینه Y=f(x) که تابع x باشد را اندازه گیری کنیم. احتمال بدست آوردن y از تابع توزیع احتمال بدست خواهد آمد.
با تکرار آزمایش های پی در پی ارزش انتظاری که برای y بدست می آید به گونه3-3 خواهد بود.
ص: 51
(3-3)

متوسط متوسط x از رابطه 3-4 بدست می آید.
(4-3)

اگر احتمال py(y)dy را بررسی کنیم احتمال اینکه y بین y,y+dy باشد، برابر است با:
(5-3)

و به آسانی احتمال py(y) را بدست خواهد آمد، این بحث را می توان برای حالتی که y تابع چند متغیره از چند x هم باشد بررسی کرد می توان را بسط داد و به صورت3-6 نوشت.
(3-6)

: اتحاد ژاکوبی است:

در حالت کلی برای یک تابع چگالی احتمال ، کمیتی به نام ممان تعریف می شود، متوسط Xnها را اصطلاحاً ممان nام متغیر Xمی گوییم.
(7-3)

اگر:
n=1، همان تابع متوسط می باشد.
ص: 52
n=2، متوسط مجذور x را می دهد
n=3 باشد توانهای بالاتر را می دهد، اگر به یک تابع توزیع ساده کنیم متوسط x، یعنی ممان اول، مکان جاهایی که بیشترین احتمال هست را نشان می دهد،

شکل 3-2: ممان
قبل از آن کمیتی را معرفی می کنیم ممان دوم

انتگرال گیری مینیمم ممان یک مشخصه خوبی برای بدست آوردن انحراف معیار نیست پس از ممان دوم استفاده می کنیم و این عبارت را در نظر می گیریم:
(7-3)

7-3 نشان می دهد که چقدر از X میانگین دور هستید، در این حالت
(8-3)

8-3 متوسط مجذور منهای مجذور متوسط می گوییم، مجذور انحراف از معیار،
ص: 53
نشان می دهد اگر یک تابعی را با یک عدد تصادفی انتخاب کنیم می تواند چقدر فاصله داشته باشد از معیار ما،
اگر منحنی ما به صورت شکل3-3 نیز باشد انحراف از معیار کم خواهد بود و اگر مثل مثال قبل باشد این احتمال بیشتر خود را نشان می دهد (شکل 3-4).

شکل 3-3

شکل 3-4
ممانهای بالاتر n اطلاعات بیشتر از Domn خواهد دارد، و اگر Domn مهم نباشد آنها هم خیلی مهم نیستند، چگونه می توان با وجود داشتن ممان ها تابع توزیع را بسازید، فرض کنیم که متوسط، انحراف از معیار، و ممان های دیگر را بدانیم حال چگونه بوسیله ممان ها تابع توزیع را بسازیم؟از روش تابع مشخصه
ص: 54
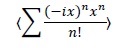
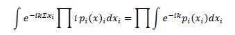
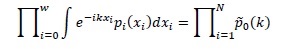
تابع توزیع استفاده می کنیم، یکی از توابعی که وابسته به x بوده و از آن متوسط گیری می کنیم. فرض کنید تابع e^+ikx باشد،
(9-3)

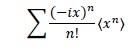
قسمت راست تابع 3-9، تبدیل فوریه نامیده می شود، درواقع تابع فوریه تابع p با فرکانس k می باشد.
در ادامه لازم است
(10-3)

از خاصیت پخشی انتگرال استفاده کرده عدد از داخل براکت خارج می شود.
(11-3)

در اینجا ممانها ظاهر می شوند، حالا اگر ممان ها را داشته باشیم می توان تابع فوریه p(k) را بنویسیم سپس فوریه معکوس بگیریم تا p(x) به دست آید، روش دیگری برای بدست آوردن ممان ها، یک ضرب تبدیل فوریه گرفته اگر n بار از تبدیل فوریه مشتق بگیریم و k را برابر صفر قرار دهیم.
(12-3)

12-3با مشتق گیری، تمام ممان ها را محاسبه می کنیم.
به تبدیل فوریه تابع توزیع x می گوییم تابع مشخصه، دیگر 3-13 است.
(13-3)

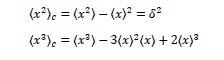
اگر 3-13 بسط بدهیم ضرائب دیگری بدست خواهیم آمد. چون ازبسط لگاریتم مقادیر دیگری برای x حاصل می شود، که قرار دادن اندیس c به معنی
ص: 55
cumulants که تناظری یک به یک با بسط 3-12 دارد. اگر این کار را انجام دهیم دیده می شود که ممان اول و کومولانت اول یکی می شود .

پس کومولانت دوم و سوم

و همینطور تا n ام ادامه می یابد
این قضیه محاسبات را ساده تر و آسان تر می کند و تابع تچگالی احتمال را خلاصه تر کند.
اما سایر کومولانت ها چه رابطه ای با هم دارند؟ روش هندسی ساده ای وجود دارد و آن، شمارش حالتهایی که می تواند وجود داشته باشد که بتوان کوالان ها را تشخیص داد.
چند تابع توزیع ساده را مثال می زنیم.
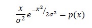
ساده ترین تابع توزیع که می توان متصور بود یک تابع توزیع یکنواخت است، احتمال بدست آوردن کمیت x، در بازه صفر تا یک عددی، یکسان باشد (شکل3-5).

شکل 3-5
ص: 56
P(x) از صفر تا a یک تابع ثابت داشته باشد، این مقدار ثابت را می توان از شرط نرمالیزاسیون بدست آورد.
(14-3)

یک متغیر تصادفی دارای توزیع یکنواخت است اگر تابع چگالی احتمال آن برابر با:
(15-3)

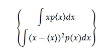
سوال:

اگر به جای p(x)، چگالی قرار می دادیم، و آن را چگالی یک میله ای یک بعدی در نظر می گرفتیم.

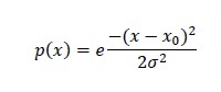
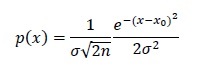
تعریف مرکز جرم می باشد و ^img57-5.png، گشتاور حول مرکز جرم می باشد، که δ^2=a^2/12 می باشد، این تابع توزیع با آنکه تابع خوبی است ولی زیاد کارآمد نیست تابع توزیعی که ما زیاد با آن سر و کار داریم تابع توزیع گوسین یا نرمال می باشد.
(16-3)

ص: 57
(17-3)

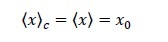
یکی از راه های بدست آوردن ممان های آن انتگرال گیری از آن می باشد و به همین روش پاسخ های آن را حدس بزنید که x همان متوسطه و σ همان که به دست آورده ایم.
روش دیگر
(18-3)

اگر بر حسب K بسط دهیم ممان های مختلف را به ما می دهد، اگر از رابطه پائین لگاریتم گرفته شود.
(19-3)

(20-3)

(21-3)

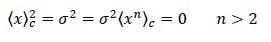
اگر تابع توزیعی داشتم که همه کومولانت های بالای 2 آنها صفر بودند حتماً تابع گوسی است.
پس تابع گوسی دو پارامتر مشخصه x0 , σ^2 دارد و این به معنی این نیست که ممان های بالاتر صفر است، بلکه کومولانت های بالاتر صفر هستند، این از نظر ریاضی رابطه خوبی است که از آن استفاده می کنیم.
مثال:
فرض کنید سیبل هدف دارت را در صفحه داریم( شکل3-6):
ص: 58

شکل 3-6: دارت
وقتی شروع به شلیک کنید بعد از یک مدت تصویری از آن سوراخهائی که روی دیوار ایجاد شده ایجاد می شود (شکل3-7).

شکل 3-7
اگر تابع توزیعی را رسم بکنیم در فاصله x از مبداء برخورد کرده اند یک تابع گوسی بدست می آید (شکل 3-8).
ص: 59

شکل 3-8: تابع توزیع
هر قدر از مرکز دور شویم میزان اصابت گلوله کمتر است و درمرکز بیشتر، در راستای y هم، همین گونه است.
اگر x و y به هم وابستگی نداشته باشند که درواقع هم همین گونه است. اگر x و y به هم همبستگی داشتند باید منحنی از حالت گوسی خارج می شد، و چون وابستگی ندارند، احتمال اینکه تیر به منطقه ای برخورد کند برابر است با
(22-3)

رابطه... حاصلضرب دو احتمال مستقل ار هم هستند، اگر تاس و سکه را همزمان بندازیم، احتمالات برابر است با 1/6×1/2 برابر است با 1/12، چون احتمالات مستقل از هم هستند، از احتمالات مختلف می توانم استفاده کنم، حالا می خواهیم حساب کنیم اگر این تیر من در فاصله x از مرکز بخورد چه مقدار است، (2πxdx)، همه اینها را گوسی می گیرم.
ص: 60
(23-3)

(24-3)

(25-3)

اگر این تابع را رسم کنم به صورت3-9 خواهد شد.

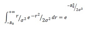
شکل 3-9
احتمال اینکه تیر ما به فاصله دورتر از r0 برخورد کند، برابر است با:
(26-3)

هر چه R0 بزرگتر شود جمله سمت راستی کوچکتر خواهد شد.
فرض کنید وزن متوسط یک کیلو نخود را می خواهید بدست آورید. دو روش برای انجام محاسبه داریم.نخست وزن تک تک نخودها را محاسبه می کنیم سپس متوسط آن را می گیریم.دوم اینکه وزن یک لیوان نخود را محاسبه می کنیم و
ص: 61
سپس تعداد نخودهای لیوان را می شماریم. در این محاسبه تنها خطای محاسبه آماری را در نظر می گیریم به این صورت که تمامی نخودها هم وزن هم نیستند و دارای یک تابع توزیع جرمی هستند (شکل 3-10).

شکل 3-10
این تابع توزیع، مشخصه واقعی نخودهاست، یعنی اگر یک نخود را برداریم یکی جایی در این نمودار است می خواهیم میانگین تابع توزیع را بدست آوریم و این میانگین را با چه دقتی می توانیم محاسبه کنیم.
تابع توزیع تک نخود( شکل 3-11)

شکل 3-11: تابع توزیع تک نخود
ص: 62
این خطای آماری چگونه کم می شود؟
اگر تعداد نخودهایی که وزن آن را اندازه گیری می کنیم از 1 به 100 نخود افزایش دهیم و منحنی آن را رسم کنیم. تابع توزیع آن در قله تیزتر شده و بنابراین انحراف از معیار این تابع بسیار کوچک می شود(شکل3-12).

شکل 3-12: تابع توزیع 100 نخود
و به همین دلیل با یکبار اندازه گیری می توان گفت تابع توزیع هم خوبی داریم، اما سوالی که مطرح می شود، چرا تابع توزیع باریک می شود؟ به این اتفاق، به زبان ریاضی قضیه حد مرکزی گفته می شود.
قضیه حد مرکزی بیان می کند، اگر هر تعدادی کمیت تصادفی را که مستقل از هم هستند با هم جمع کنیم، تابع خروجی، تابع قوسی با پهنای کم تر می دهد، توضیح شکل دقیقتر این قضیه مشکل است چرا که برای همه توابع توزیع صادق نیست، در تابع توزیع های به اصطلاح دم کلفت که اثراتش در بینهایت کندتر است، صادق است.
ص: 63
قضیه:
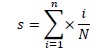
فرض کنید تابع x از تابع توزیع pi(xi) باشد، و یک متغیر محدود به صورت:
(27-3)

تعریف می کنیم، کمیت s کمیتی تصادفی است، چرا که جمع خودش کمیتی تصادفی است، نکته قابل توجه، این است که از تابع توزیع pi(xi) چه چیز باشد مستقل است ، به شرط اینکه N به حد کافی بزرگ باشد وs به صورت یک تابع گوسی است، پهنای آن هم به اندازه 1/N√ خواهد بود، هر قدر N بزرگتر باشد، پهنا کوچکتر خواهد شد.
اثبات:
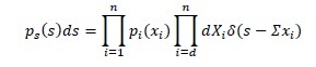
برای راحتی کار، فعلاً ^img64-2.png تعریف می کنیم، پس تابع توزیع:
(28-3)

حاصلضرب احتمالات که مستقل از هم هستند، و روی تمام همه این xها باید انتگرال بگیریم به شرطی که جمع xها بشود s
(29-3)

این تعریف قانون توزیع p(s) می باشد، بخواهیم تابع مشخصه Ps را بدست آوریم باید از عبارت فوق تبدیل فوریه بگیریم
(30-3)

این انتگرال را به خاطر داشتن تابع دلتا به راحتی گرفته می شود
ص: 64
(31-3)

(32-3)

تابع مشخصه P(xi) هایی که داشتیم، اگر از طرفین این رابطه لگاریتم بگیرم،
(33-3)

کمولانت های s را بدست می آوریم.
(34-3)

نتیجه گرفته می شود اگر pها همه مثل هم باشد یعنی xها را اگر از یک تابع توزیع داشته باشیم پس همه کوالان ها یکسان است.
(35-3)

پس متوسط
(36-3)

(37-3)

رابطه3-37، مهماست، یعنی پهنای تابع توزیع با جذر عکس N کاهش پیدا می کند.
کومولانت های بزرگتر، با توانهای بزرگتر از N کاهش پیدا می کنند یعنی برای Nهای بزرگ هر چیزی یعنی به صفر میل خواهند کرد و این، نشان می دهد در مرتبه کومولانت های بالاتر سریع تر به سمت صفر میل می کنند.
ص: 65
(38-3)

پس تقریب nهای بزرگ می توان بقیه را صفر در نظر گرفت، پس حاکی از آن است که در تابع توزیع توانهای اول و دوم باقی می ماند، و سایر آنها به سوی صفر میل می کند بنابراین تابع توزیع گوسی می باشد،حال اگر تابع توزیع گوسی نباشد، هر قدر N بزرگتر باشد کوالانهای بالا زودتر به سمت صفر میل می کنند، و این در صورتی است که، تابع دم کلفت نباشد یعنی رشد
دو نتیجه مهم استنباط می شود:
زمانی که که عوامل تصادف خیلی زیاد باشند، بنابراین تابع توزیع ما از جمع عوامل بسیار زیادی فرآیندهای تصادفی شکل گرفته می شود در نتیجه، تابع نرمال ما، تابع گوسی خواهد بود، و هر چه عوامل تصادفی افزایش یابد، دقت بیشتر و پهنای تابع گوسی بیشتر خواهد بود.
فرض کنید وسط یک اتاق دیوار بکشیم، حالا چند اتم در سمت راست و چند اتم در سمت چپ دیوار قرار دارند، احتمال اینکه نیمی از اتم ها در یک طرف و نیمی در طرف دیگر باشد،چقدر می باشد؟
مثال دیگر
اگر سکه ای 10 بار را پرتاب کنیم، احتمال اینکه 5 بار خط و 5 بار شیر آید چقدر است؟ و یا اگر 1000000 بار سکه را پرتاب کینم چقدر احتمال دارد که 500000 شیر و 500000 بار خط بیاید؟
مسلما اولی احتمالش بیشتر است اما اگر یک میلیون بارسکه را پرتاب کنیممحاسبات ما دقیقتر می شود و در نتیجه خطای این محاسبه کاهش می یابد.اگر
ص: 66
یک مجموعه آماری که فرآیندهای تصادفی بود، انتظار داریم که خطای ما کاهش پیدا کند نه اینکه مقدار دقیق آن، این طور نیست که 500 هزار تا شیر بیاید 500 هزار تا خط، فاصله بیشتر خواهد شد، خطای نسبی کم می شود به همین خاطر است که در فضای آزمایشگاه خطای نسبی را اندازه گیری می کنید، مثلا پاندول را دهبار یا صد بار اندازه گیری می کنید و این به خاطر آن است که خطای سیستماتیک را پائین بیاورند، و هم اینکه خطای آماری را کاهش یابد با داشتن n√ همواره خطای ما در محاسبات پایین می آید.
(39-3)

تابع توزیع قد جمعیت ایران را را محاسبه می کنیم، انتظار داریم تابع توزیع قدشان گوسی شود، چرا که عوامل مؤثر بسیاری در قد آدمها دخالت دارد، و جمع این عوامل مؤثر می تواند توزیع تابع قد را نشان دهد. اگر تابع توزیع وزن یا تابع توزیع وزن نان در بازار را محاسبه کنیم انتظار داریم که گوسی شود، اما اگر میزان درآمد مردم ایران را محاسبه کنیم قطعاً گوسی نمی شود چرا که عوامل هم بسته وجود دارد، پس گوسی نیست.
گاز ایده آلی را در نظر بگیرید و فرض کنید در آن هیچ برهم کنشی وجود ندارد، مولکول های گاز به هم برخورد کرده و تنها انرژی جنبشی دارند. تابع حالت گاز ایده آل PV=NK(B)T است.
فرض جعبه ای به ابعاد L که N ذره در آن قرار گرفته است وجود دارد، از آنجا که برخوردها تصادفی است می توانیم یک ذره را در نظر بگیرم که با دیواره های
ص: 67
اتاق بر هم کنش انجام داده و باز می گردد، گرچه در حقیقت در اثر برخوردها این ذرات دیگر هستند که این برخوردها به جداره ها را
انجام می دهند پس در برخورد تغییر اندازه حرکت 2MV است.
و زمان رفت و بازگشت گلوله طول 2Lمی پیماید. پس 2L را با سرعت dx/dt باید بپیماید.

(40-3)


(41-3)

(42-3)

بنابراین متوسط انرژی به آسانی بدست آمد.
ص: 68
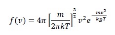
کسری از مولکول های گاز که سرعتی بین v و v+dv ، متناسب با عرض محدوده منحنی توزیع سرعت بوده و به صورت
f(v)dv=dN/N نوشته می شود که f(v) با سرعت v تغییر می کند و توزیع سرعت نامیده می شود. معادله دقیق آن به صورت 3-43 نوشته می شود.

شکل 3-13: توزیع سرعت های مولکولی با دما و جرم مولکولی
(43-3)

این رابطه را توزیع ماکسول-بولتزمن می نامند. شکل 3-13 نشان می دهد محتملترین سرعت که مربوط به قله پیک توزیع، با افزایش دما و کاهش جرم مولکولی افزایش می یابد و توزیع پهن می شود.
ص: 69
چرا یک لیوان آب در دمای اتاق پس از مدتی بدون آنکه به ئمای تبخیر برسد، به بخار تبدیل می شود؟
همواره سرعت تعدادی از مولکول های آب، به گونه ای است که با سرعت فرار از سطح آب برابری می کند. پس لاجرم، از سطح آب فرار می کنند، هر قدر دمای آب بیشتر باشد سرعت فرار هم به همان صورت بیشتر می شود، پس در فضای اتاق همواره تعداد زیادی از مولکول های آب از سطح فرار می کنند، هر چه دما سردتر باشد نرخ تبخیر کندتر می شود.
مثال
سرعت متوسط مولکول های هوا در اتاق چقدر است؟ فرض کنید هوای اطراف مملوء از نیتروژن باشد.دما برابر 300 کلوین و جرم مولی نیتروژن 3-^10 × 28 بالغ بر گرم دارد.
پاسخ:

پس مولکولهای هوا با مرتبه 500m/s از کنار گوش ما می گذرند، می توان این سرعت را حدس زد مثلاً اینکه شما صدای مرا چگونه می شنوید با صورت، صوت یعنی مولکولهای هوا به هم می خورند و ضربات ناشی از آن به ما می رسد. سرعت صوت در هوا 340m/s که از مرتبه همین است یعنی از مرتبه چند صد متر بر ثانیه می باشد.
ص: 70
مثال
سرعت مولکولهای هوا که با سرعت 500m/s در قله اورست چقدر است؟ ارتفاع کوه اورست 10 کیلومتر فرض می شود.

دما حدود 100 کلوین بدست می آید، خوب خیلی چیزها را در نظر نگرفتیم
ص: 71
ص: 72
ژنتیک بخشی از دانش زیست شناسیاست که به وراثتو تفاوتهای جانداران می پردازد. بوسیله قوانین و مفاهیم موجود در این علم می توانیم به همانندی یا ناهمانندی دو اندامگاننسبت به یکدیگر پی ببریم و بدانیم که چگونه و چرا چنین همانندی یا ناهمانندی در داخل یک جامعه گیاهیو یا جامعه جانوری، بوجود آمده است.
به قول ارسطو:" بشر در تولید مثل نقش پدر و مادر را مهم دانسته، یکسری نقشه اطلاعاتی از پدر و مادر به فرزند منتقل میگردد. پدر وظیفه اش انتقال اطلاعات است".
ارسطو نقش انتقال اطلاعات را با اهمیت در نظر می گرفت گرچه به مسأله مادر
ص: 73
فقط به عنوان یک مزرعه نگاه می کرد.
اروین شرودینگر در سال 1944 اولین بار در سخنرانی خود در دانشگاه های ایرلند این سوال را مطرح کرد، حیات چیست؟ ما باید به دنبال چه چیز در حیطه حیات بگردیم؟ قبل از شرودینگر افراد زیادی در مقوله حیات صحبت کرده بودند، ولی نمی دانستند برای بعضی از پرسشها می بایست به دنبال فیزیک رفت. شرودینگربرای انتقال اطلاعات،آنتروپی منفی را معرفی کرد، اطلاعات و آنتروپی بحثی اساسی در ژنتیک محسوب می شود.
اگر تابع توزیع طول قد انسانها، اندازه استخوان ساعد، یا مثلاً طول ران گوسفندها را اندازه گیری کنیم بالطبع یک تابع گوسی خواهد شد.

شکل 4-1
حال اگر در میان این بازه ها یک بازه خاص مد نظر گرفته شود، سپس، اجازه تولیدمثل را فقطبه آن گروه اختصاص دهیم. اگر این فرایند را در ادامه انجام نیابد(در نسلهای بعد این کار تکرار نشود) پس از گذشته سه نسل دوباره همان
ص: 74
تابع توزیع اولیه را خواهیم داشت. ولی اگر این روند ادامه پیدا کند پس از چندین نسل تابع توزیع به سوی گوسفندان ستون شاخص میل پیدا می کند.به عنوان مثال در قوانین شیلات، قرار بر این است برای جلوگیری از صید ماهیهای کوچک و غیربالغ اندازه سوراخهای تورها به گونه ای انتخاب شود که ماهیهای کوچک از آن عبور می کردند پس، این زمینه را ایجاد کرد که ماهیهای بالغ سایز کوچک از میان تور عبور کنند و چون این روند چندین سال اتفاق افتاد نسل ماهیهای کوچک بالغ بیشتر شد. هم اکنون سازمان شیلات از کوچک شدن سایز ماهیها خبر می دهد.

شکل 4-2: گرگور مندل
گرگور مندل (1884-1822) کشیشی که به عنوان موسس و بنیان گذار علم ژنتیک شناخته شده است.مندل در زمینه ریاضیات و هم در زمینه زیست شناسی تحصیل کرده بود. وی در کنار کارهای خود کشاورزی هم انجام می داد. اطلاعات ژنتیکی امروز، زاده ی فعالیت های مندل است.
ص: 75
مندل مسئله وراثت رادرگیاهِ نخودفرنگی بررسی کرد.
دلایل استفاده از گیاه نخود فرنگی در ازمایشات مندل به این شرح است:
1- پرورش آن آسان است و در مدت کوتاهی نسل جدید آن پدید می آید.
2- نخود فرنگی گیاه تک پایه و به عبارتی دارای گل های کامل است. به دلیل این ویژگی، خودلقاحی انجام داده و برای تولید نسل های خالص، مناسب است.
3- هر یک از ویژگی های نخود فرنگی دارای دو شکل متفاوت است. به عنوان مثال دانه ی صاف-چروکیده، دانه ی زرد-سبز، ساقه ی بلند-کوتاه.

شکل 4-3: نخود فرنگی
مندل در آزمایش هایی که بر روی نخود فرنگی انجام داد، سعی کرد نخست در مورد ویژگی های مورد مطالعه خود، نسل خاصی را پدید آورد.
او دو نوع نخودفرنگی را یکی با دانه های سبز و دیگری با دانه های زرد انتخاب کرد.
ص: 76
اگر نخودفرنگی های دانه سبز را با هم جفت کنیم مسلم است که فرزندان نیز دانه سبز خواهند شد.
اگر نخودفرنگی های دانه زرد را با هم جفت کنیم مسلم است که فرزندان نیز دانه زرد خواهند شد.

شکل 4-4
مندل نیز با توجهی خاص به بوته های به عمل آمده نخود کارش را ادامه می داد.مندل برای انجام دگر لقاحی، دانه های گرده ی گل دیگری را كه در نظر داشت بر روی كلاله ی مادگی گلی قرار می داد كه قبل از رسیدن و تولید دانه ی گرده،پرچم های آن را قطع كرده محصولات بدست آمده را مطابق هفت خصلت مورد ارزیابی قرار می داد که عبارت بودند از 1) رنگ گلها 2) جایی که گلها ظاهر می شوند 3) رنگ دانه ها 4) وضعیت دانه ها چروکید یا صاف 5) وضعیت غلاف ها چروکیده یا صاف 6) رنگ غلافها 7) بلندی یا کوتاهی بوته ها، و از این هفت خاصیت نمونه برداری انجام می داده است.
بعنوان مثال گل بنفش و گل سفید را در نظر می گرفت و بر روی آنها دگر
ص: 77
الحاقی انجام می داد و تحقیق می کرد که نسل آنها چگونه می شود، سفید می شود یا بنفش؟ و نیز هفت خصوصیت دیگر آن را بررسی می کرد.
بدین صورت که:
یک مجموعه گل سفید و یک مجموعه گل بنفش را در نظر می گرفت
از تخمکهای یکی و از پرچمهای دیگری دگر الحاقی انجام می داد.
نتیجه:
1-در نسل اول همه گلها بنفش می باشند.
2-با تلفیق نسل اول نوه ها را بدست می آمد، و سفید رنگمی شدند.
در طی آزمایش های متعدد این نسبت را یک به چهار اندازه گیری می کرد، یعنی در نسل بعدی از میان چهار گل نخود سه گل بنفش و یک گل سفید خود را نشان می داد.
مندل برای توجیه این اتفاقات تئوری تبادل اطلاعات را بیان می کند. یعنی یک گل باید بداند که رنگش بنفش یا سفید باشد، این اطلاعات از پرچم یا از تخمکمی آید. شایان توجه است در دو گل ترکیبی اولیه مجموعه ای که گل بنفش دارد همیشه گل بنفش دارد یعنی خالص است و مجموعه ای که گل سفید دارد، همیشه گل سفید دارد، و خالص است.
پس یکی از خواص غالب هست و دیگری مغلوب که در مواردی که ترکیبی از هر دو وجود دارد اثرات مغلوب وجود دارد ولی دیده نمی شود لذا سه گل بنفش دیده می شود و یک گل سفید.بعدها متوجه می شوند که این اطلاعات در ساختاری به نام هسته وجود دارد و
ص: 78
در سال 1882 مشخص می شود که در درون هستک ها موجوداتی به نام کروموزوم ها، حاوی اطلاعات هستند، کروموزوم ها چون در ابعاد نانو هستند در آزمایشگاه زیر میکروسکوپ،قابل رؤیت هستند، به خصوص اگر کمی دقیق بشوند، باتوجه به محدود بودن آن ها، باید هر کروموزوم حاوی نه فقط یک خصوصیت بلکه، حاوی مقدار زیادی اطلاعات باشد، مثلاً هر قسمت از کروموزوم خصوصیتی از گیاه را در برمی گیرد.

شکل 4-5
( مگس میوه)، در آزمایش های خود استفاده کرد، پشه یا مگس سرکه، حشراتی هستند که در اثر گندیدگی میوه جات در اطراف آنها تجمع می کنند، این حشرات عمرشان از مرتبه هفته است به همین علت نمونه های خوبی جهت تسریع در روند پژوهشهای ژنتیکی هستند، سلول های این حشرات را زیر میکروسکوپ به خوبی دیده می شود، مورگان در این نمونه ها متوجه کروموزوم های جنسیتی می شود، متوجه شد که تمام ماده ها دو کروموزوم دارند و تمام نرها کروموزومهای y دارند، و به همین علت اثبات کرد، کروموزوم اطلاعات ژنتیکی با خود حمل می کند.

شکل 4-6: توماس مورگان

شکل 4-7
ص: 80
مورگان سال ها در اتاق مگس ها آزمایش می کرد، به طوری که اتاق مورگان در کلمبیا، دانشگاه نیویورک نامیده می شد. اتاق او پر از بطری بود. درون بطری ها صد ها مگس سرحال، وزوز می کردند.آزمایش های مورگان ابتدا نتیجه ی مفیدی دربرنداشت. روزی در یکی از بطری ها حادثه ای اتفاق افتاد که جلب توجه کرد: در آن جا مگسی با چشمانی سفید به وجود آمده بود. این موضوعهیجانی پدید آورد، زیرا مگس سرکه، معمولا رنگ چشمانش قرمز بود. در بدن مگس سرکه یک دگرگونی روی داده بود: رنگ چشم ها به علت یک تغییر وراثتی سفید شده بود.مگس چشم سفید، مگسی ضعیف بود. مورگان آن را شب ها به خانه می برد و کنار تختش می گذاشت وصبح ها به آزمایشگاه برش می گرداند که همیشه جلوی چشمش باشد و خوب پرورش یابد.ویمگس چشم سفید و چشم قرمز را با هم تلفیق کرد و نسل اول را تولید کرد، مشاهده کرد، همه نسل بعدی چشم قرمز هستند، این حاکی از آن است که چشم سفید بودن یک ژن مغلوب است، پس در نسل بعدی باید چه اتفاقی بیافتد، به نسبت 3 به 1 باید چشم قرمز و چشم سفید داشته باشیم، همه چشم سفیدها نر هستند، ولی نصف نرها، هم چشم قرمز هستند، این نشان می دهد که خاصیت جنسیت و رنگ چشم باید در یک کروموزوم کنار هم قرار گرفته باشند، اگر خاصیت رنگ چشم روی کروموزوم x باشد، حالا این داستان را توجیه کنیم.
حالا چند نمونه از این حالتهای وراثتی را مرور می کنیم اگر چنانچه در گاو نر سفید با گاو ماده قرمز تلفیق انجام دهند بررسی می کنیم که رنگ فرزندان و نوه های آنها چگونه خواهد شد.
ص: 81

همه نسل اول مشاهده می شود که رنگشان قرمز کمرنگ می شود حال اگر در این نسل دو گاو با یکدیگر جفت گیری کنند چه می شود؟
در این نسل دو گاو قرمز کمرنگ داریم و یک گاو سفید و یک گاو قرمز

اگر دو موش یکی سفید و دیگری سیاه داشته باشیم، اگر هر دو نژادشان خالص باشد پس لاجرم فرزندانشان همگی یک رنگ در خواهند آمد ولی اگر یکی از آنها نژادش ناخالص باشد در بین فرزندان آنها می توان به رنگ های خالص سفید یا سیاه برخورد کرد.
در گروه های خونی همین عوامل اطلاعاتی وراثت خود را نشان می دهند بعضی از گروه های خونی نظیر A و B هم سنگ هم و غالبند و بعضی نظیر O مغلوب هستند یعنی اگر در گروه خونی فردی AO یا BO باشد می توان همان A یا B
ص: 82
دانست ولی اگر AB باشد به همان گونه AB بروز می کند، فرض کنیم دو مادر و پدر دارای گروه خونی Aو B باشند فرزندانشان چه گروه های خونی خواهند داشت؟
گروه خونی A، یا AA است یا AO و گروه خونی B، یا BB است یا OB هر کدام موارد خاص خود را دارند.
مثلاً مرد AA و زن BB

ABهمه فرزندان گروه خونی AB دارند.
اگر مرد OA باشد و زن BB

فرزندان گروه خونی AB و B هستند.
اگر یکی OA باشد و دیگری OB

پس لاجرم گروه خونی فرزندان، O، A، B، AB خواهد بود.
ص: 83
سؤال:
جای دو نوزاد با گروه های خونی O و A در بیمارستان عوض شده است تعیین کنید هر یک از این نوزادها به کداک یک از والدین تعلق دارند؟
خانم جعفری AB، خانم باقری B،آقای جعفری B، آقای باقری B
BB یا AB جعفری --- OB یا AB جعفری

OB ،BB ،OB یا OB جعفری

فرزندان O، B ---- فرزندان، B، O
پس فرزند گروه خونی O متعلق به خانواده باقری و فرزند با گروه خونی A متعلق به جعفری است.
روش کار در بررسی وراثت دو صفت، نظیر وراثت یک صفت است، اختلاف در انتخاب تعداد صفات و طولانی بودن راه حل آن است.
مندل گیاه نخود فرنگی واجد دانه زرد و صاف (خالص) را با گیاه نخود فرنگی واجد دانه سبز و چروکیده (خالص) آمیزش داد. در نسل اول (F1) همه دانه ها زرد و صاف بودند.
ص: 84
صفت زردی نسبت به سبزی و صافی نسبت به چروکیدگی دانه غالب است مندل اجازه داد دانه های حاصل از طریق خود لقاحی بارور شوند، و نسل دوم (F2) را به وجود آورند افراد نسل دوم (F2) چهار نوع بودند.
در آمیزش دو جفت صفت، جور شدن هر صفت مستقل از صفت دیگر صورت می گیرد. در مثال فوق صفت زردی از صافی و صفت سبزی از چروکیدگی جدا می شوند و مستقل از یکدیگر و به طور تصادفی در گامها جور می گردند.
همان طور که مورگان و مندل اشاره کردند می توان یکسری از قوانین را از مطالعه روی گونه های مختلف بدست آورد و احتمالات مختلفی را بررسی کرد ولی نکته اینجاست که خوب است کسانیکه برنامه ریزی جهت ازدواج و بعد بچه دار شدن دارند قبل از هر اقدامی مشاورۀ ژنتیک خاصی انجام دهند که از مطالعه روی ژنوم آنها اولاً بیماریهای مغلوب در ژنها که در سوابق فامیل وجود دارد، درصد ابتلای نسل بعدی به این بیماریها را تشخیص داده و در این خصوص حکم کنند مثلاً اگر ژنی با ژنی همخوانی دارد درصد ابتلاً در نسل بعد ممکن است 25% افزایش یابد، و ممکن است در آینده نزدیک این تقریب زدنها با خطای کمتر و هزینه کمتری صورت پذیرد، بعضی از ژنها حالت باینری دارند به عنوان مثال یک نوع ژن می توانند یک خصوصیتی را بسازند مثلاً قرار گرفتن شصت دست راست، روی دست چپ بالعکس یا انحنا داشتن شست اینها همه یک مسأله ژنتیکی باینری است. برای بعضی از بیماریها یک طیف درگیر هستند و چیزی بیش از دو
ص: 85
ژن درگیر آن هستند مثل قد، رنگ مو، در هر سلول DNA همه اطلاعات ژنتیکی را در یک رشته یک متری حمل می کند در اندامهای مختلف یکسری از این ژنها قفل خورده و کار نمی کنند در صورتی که در ژنهای اندامهای دیگر قسمت دیگر غیرفعال است به همین خاطر سلول پوست با سلول قلب متفاوت است. و اگر این قفلها وجود نداشته باشد به آن سلول سلول بنیادی گویند، سلولی که هر چیزی می تواند بشود.
بر اثر شرایط محیطی که در چه شرایطی قرار بگیرید، یکسری قفل در جاهای خاص آن قرار می گیرد، فاصله جفت های DNA در حدود 0/3 نانومتر است، تقریباً 1GB اطلاعات در هر سلول وجود دارد، 1GB تماماطلاعات ژنتیکی است که ما از پدر و مادر به ارث برده ایم، تاماً روی این ژنها قرار دارد، و بدن ما بر اثر این اطلاعات ساخته می شود، اما این فقط اطلاعات است، اما خود مکانیزم بدن ما که از میلیاردها سلول ساخته شده چیزی سوای این ژنومها می باشد، و اطلاعاتی به مراتب بالاتر از این ها را دارد مثلاً شرایط تغذیه، محیطی و خیلی از مسائل دیگر روی طرز کار آنها مؤثرند به گونه ای که دو هزار دوقلو به مرور زمان این اختلافات خود را به گونه های رفتاری و جسمی نشان می دهد.
ص: 86
در سال 1827 رابرت براون (1858- 1773) گیاه شناس و پزشك انگلیسی حركت مداوم معلق دو مایع را مشاهده كرد و متوجه شد كه این ذره ها با قطری حدود یك میكرون پیوسته به این سو وآن سو حركت می كنند. اینشتین همین آزمایش را در مقاله ای با استفاده از نظریه جنبشی ذره ها تعبیر و تفسیر كرد و از روی آن عدد آوودگادرو را به دست آورد.

ص: 87
فرض کنید در یک ظرف محبوس حشره ای در حال حرکت است. و مدام به دیواره های ظرف برخورد می کند، بعد از N حرکتی که این حشره انجام می دهد به طور دقیق نمی توانیم پیش بینی کنیم حرکت بعدی آن چیست؟و در کجا قرار خواهد گرفت؟ اما می توانیم احتمال حضور آن را محاسبه کنیم.
احتمال کل حالت ها N=2^N می باشد. اگر رفتار این حشره را در نظر بگیریم می خواهیم بدانیم بعد از چند حرکت دوباره به مکان اول( مبدا) خود باز می گردد.
این احتمال ^img88-1.png می باشد. در این صورت:
(1-5)

احتمال بازگشت به مبداء بعد از Nحرکت
(2-5)

بسط استرلینگ
(3-5)

از این تقریب این احتمال را بدست می آوریم:
(4-5)

ص: 88
پس داریم:
(5-5)

احتمال برگشت به مرکز با 1÷N√ کاهش می یابد، حالتهای بازگشت به مرکز با N افزایش می یابد ولی احتمال آن کاهش پیدا می کند، اگر یک میلیون بار شیر یا خط بیندازیم احتمال اینکه 500 هزار تا شیر و 500 هزار تا خط بیاید خیلی احتمال کوچکی است ولی دفعاتش زیاد است.

اکثر پدیده ها در طبیعت اگر به صورت مستقل روی دهند تصادفی هستند یعنی از بین دو احتمال هیچ کدام ارجعیت ندارد و جهت دار نیست. ولی تعداد بیشماری از آنها یعنی توزیع شمار زیادیاز آنها به صورت نرمال یا گوسین می باشد. سکه را هر چند بار بیندازیم احتمال شیر یا خط بودن برای هر بار پنجاه-پنجاه است ولی توزیع همه این انداختن ها قاعده مند است یعنی احتمال اینکه همه ی آنها خط شوند بسیار اندک است و بیشترین احتمال مربوط است به وسط (میانگین) توزیع انداختن ها. برای این مطلب یعنی توزیع تصادفی و توزیع
ص: 89
نرمال در طبیعت مثال های فراوانی وجود دارد. برای مثال جنس نوزادی که به دنیا می اید کاملا تصادفی است و لی اینکه چه قد یا وزنی دارد توزیع نرمال می باشد. حرکت براونی مولکولها تصادفی است.
همچنین مواردی وجود دارد که هم تصادفی است و هم جهت دار یعنی توزیع به سمت خاصی گرایش پیدا میکند. پدیده ی پخش مثالی از این گونه رفتار است. مولکولها در داخل شیشه ی عطر حرکت براونی دارند یعنی کاملا بصورت تصادفی در حرکتند وقتی اندکی از عطر در گوشه ی اتاق افشانده می شود مولکولها به صورت منفرد به طور نسبی حرکت تصادفی خود را حفظ میکنند ولی این حرکت یک حرکت تصادفی عادی نیست چون مولکولها یک جهت را بیشتر ترجیع میدهند. مولکولها به سمتی که در آنجا تراکم مولکول های عطر پایین است با قدم زدن تصادفی(1)حرکت میکنند تا جایی که تراکم یا غلظت مولکول ها در همه جای اتاق یکسان می شود و مولکولها دوبار حرکت کامالا تصادفی براونی را باز میابند. پدیده ی قدم زدن تصادفی را میتوان به مرد معتادی که تلو تلو می خورد تشبیه کرد.ما نمی دانیم که مرد مست پاهایش را به کدام طرف برمیدارد (تصادفی) ولی میدانیم که با قدمهایش ازمکان اولیه دور میشود. اصطلاحا به نیرویی که باعث می شود پخش از طریق قدم زدن تصادفی رخ بدهد گرادیان (اختلاف) غلظت مولکولها بین دو نقطه می باشد که هر چه این بیشتر باشد مولکولها با سرعت بیشتری پخش می شوند.
ص: 90
اگر مقداری گاز اکسیژن را در داخل یک لوله کوارتز ریخته و در مغناطیسی قرار دهیم، گاز اکسیژن حالت مغناطیسی پیدا خواهد کرد. مغناطیسی پیدا کردن یعنی گاز اکسیژن که دارای جهت بوده و می توانیم آنها را بصورت سوزنهایی تصور کنیم، جهت گیری پیدا کرده و یا به عبارت دیگر با هم موازی می شوند، به این ترتیب از خود حالت مغناطیسی بروز می دهند، و هر قدر مقدار مغناطیس اعمالی زیاد شود گاز مغناطیسی تر می شود.
ص: 91

شکل 6-1
حال می خواهیم ببینیم که آیا می توان، با سرد کردن سیستم با مغناطیس کمی به مقدار، حالت مغناطیسی زیاد دست یافت برای این مهم کافیست که در فرم حرکت های کتره ای گاز اکسیژن تغییری ایجاد کرد به عنوان مثال فرض کنید در مغناطیسه کردن اکسیژن فرم قرار گرفتن اتمها به گونه ای خاص در می آید و در جهتی خاص قرار می گیرند خوب اگر به گونه ای کل اتمها تحرکشان کمتر شود، این مکانیزم ساده تر و با توان کمتری اتفاق می افتد، پس برای کم کردن تحرک اتمهای اکسیژن کافیست که این گاز را سرد کنیم، با سرد شدن این گاز تحرک آن کمتر می شود به طوری که در دمای حدود صفر مطلق اگر مغناطیس کمی به سیستم اعمال کنیم، اکسیژن را با توان بالا مغناطیسه می کنیم. پس لاجرم یک نظمی به کل سیستم اعمال شده و این آهنگ گروهی اتمهای اکسیژن است که در نهایت مغناطیسه کردن سیستم را به همراه دارد. و در اوج بی نظمی نظم می آفریند.
ص: 92
اگر مقداری غبار را به تدریج در داخل شیشه بریزیم که از تأثیر حرکتهای معمولی هوا و جریانات معمولی هوا به دور باشد خواهیم دید که این غبار با سرعت نسبتاً ثابتی که قابل اندازه گیری است به طرف پائین شیشه حرکت مستقیم و یکنواختی را انجام می دهد.

شکل 6-2
اما اگر تک تک ذرات سیستم را مورد مطالعه قرار دهیم چنین حرکتی در آنها مشهود نیست بلکه در حرکتی کنره ای دائم به جانب چپ، راست، بالا و پائین در حرکتی تصادفی هستند که این حرکت در اثر برخورد اتمها و مولکولهای هوا به این ذرات غبار بروز می کند و حرکتی می آفریند به نام حرکت براونی پس شما از بررسی یک تک غبار نمی توانید نتیجه ای بگیرید کل سیستم در حال حرکت به سوی پائین است، و این نتیجه و نظم فقط در قالب نگرش کلی به سیستم خود را نشان می دهد. سؤالی در اینجا مطرح می کنیم که چرا گرد و غبار پس از مدتی روی سطح می نشیند و آن را می توان جمع آوری کرد ولی گازهائی نظیر اکسیژن این حالت را ندارند؟
ص: 93
این بدلیل این است که ذرات غبار باتوجه به جرمشان کمتر تحت تأثیر حرارت محیط قرار گرفته و حرارت سطحی آنها را پراکنده نمی کند در صورتی که، مولکولها و اتمهای اکسیژن دارای با انرژی کمی شروع به حرکت می کنند. پس حرارتهای سطحی و محیطی مانع از نشست آنها می شود در صورتی که در گرد و غبار، چنین نیست. مانند پائین آمدن مه.
پائین آمدن مه ------------ حرکت براونینگ در مورد پائین آمدن غبار

در این آزمایش ظرف پرآبی را در نظر می گیریم و در یک طرف ظرف ماده ای رنگین مثلاً پرمنگنات پتاسیم که در آب حل شده است در داخل آب خالص می ریزیم.

شکل 6-3
ص: 94

شکل 6-4: آزمایش دی فوزین
در اثر این کار در آغاز آزمایش غلظت پرمنگنات و یا شدت رنگ از یک طرف ظرف به طرف دیگر ظرف تفاوت دارد و در حقیقت غلظت در یک طرف از طرف دیگر بیشتر است. پس از مدتی ملاحظه می شود که غلظت ماده رنگی در کل مایع یکنواخت می شود و یکسان، اگر بگوئیم ماده یا اختیار خود از محیط شلوغ به محیط خلوت تر سرازیر می شود درست نیست و چنین چیزی وجود ندارد اگر هر ذره از اتمها و مولکولهای رنگین را دنبال کنیم متوجه می شویم در حرکتی کنره ای در حال حرکت است اگر در درون مایع، آن را به نوارهای باریکی تقسیم کنیم مقدار ذرات رنگی که وارد هر نوار می شود با آنکه بیرون می آید برابر است یعنی مولکولهای پرمنگنات انتخابی نکرده اند که در کدام جهت حرکت کنند ولی اگر دو نوار مجاور یکدیگر را در نظر بگیریم نواری که دارای تعداد بیشتری مولکول پرمنگنات نیز از آن خارج می شود و بنابراین همیشه تعدادی بیشتری از
ص: 95
مولکولهای قسمت غلیظ تر و یا شلوغ تر بطرف قسمت رقیق تر وجود دارد و این همان حرکتی استکه در مجموع باعث یکنواخت شدن غلظت در تمام طول ظرف خواهد بود. برای انتشار می توان فرمولی دقیق نوشت و این به دلیل نگاه کلی کردن به سیستم است و این تعداد زیاد اتمهاست که می تواند ما را به یک فرمول ساده و مشخص برساند.
مَنْ جٰاوَزَ حَدَّ انْعِکَسَ ضِدَّة
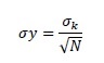
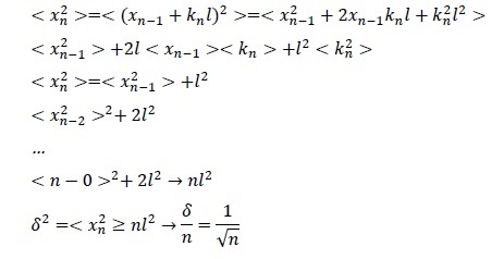
دقت آزمایشات در فیزیک و شیمی و میزان درصد خطای آزمایشات را از فرمول n√ استخراج می کنند. مثلاً میزان گازی را در ظرفی با فشار و حجم معینی تحت آزمایش قرار داده و براساس آن قانونی را بیان می کنیم میزان خطای نتیجه آزمایشات معادل n√ برابر تعداد مولکولهائی است که در این آزمایش شرکت نموده اند. مثلاً اگر میزان مولکولهای که در آزمایش ما دخالت داشته اند تعداد 100 مولکول باشد طبق فرمول و محاسبه ریاضی و آزمایش های قبلی نشان می دهد که میزان خطا 10 = 100√ از بدست می آید.
یعنی حاصل تقسیم 10 بر مقدار مولکول های اولی، یعنی 10/100، حال اگر به جای 100 مولکول در آزمایش دیگری از 1000000 مولکول استفاده شود 1000 = 1000000√ خواهد بود در این صورت دقت آزمایش ما، 1000/1000000 یعنی از 0/001 یعنی

خواهد بود و نشان از آن است که دقت آزمایش چه میزان بالا رفته است.
ص: 96
قانون n√ در فیزیک و شیمی کاملاً مورد استعمال داشته و مورد تائید و اطمینان دانشمندان این رشته است. برای یک ارگان زنده دارای قوانین ثابت دقت عمل از 1÷n√ مولکول به دست خواهد آمد. بنابراین فقط ارگانیسم ها و دستگاه هائی که دارای دقت کافی در قوانین و عکس العملهای خود هستند که دارای تعداد بسیار زیادی مولکول باشند.
«تصورات و دانسته های فیزکدانان در مورد مکانیزم های ارثی دارای خطای جزئی نیست اشتباه است.»
چرا این حرف را می زنیم چرا که تا به حال از فیزیک آماری برای رسیدن به مفهوم نظم و قوانین خاصه در فیزیک و شیمی صحبت کردیم و دیدیم هر قدر تعداد مولکولها بیشتر باشد دقت کافی در قوانین و عکس العملها حاکم می شود، و تعداد زیاد سلولها و مولکولها را در جهت توجیه بعضی از حرکات منظم استفاده کردیم.
اما علم ژنتیک، چگونه با این مفاهیم که گفته شد سازگار می شود، چرا که مکانیزم ارثی دارای مرکز بخصوصی است که دارای تعداد کمی اتم و یا مولکول بوده و حتی تغییر مکان تعداد کمی اتم می تواند شکل آینده و خصوصیات یک موجود زنده را عوض کرده و در طول مدت آینده آن را تحت تأثیر قرار دهد.
ص: 97
ص: 98
کروموزوم یعنی پیش نوشته، چرا که نه تنها اطلاعات مربوط به نوع مشخصات موجود زنده را در عمل ارث منتقل می کند بلکه در دستورالعمل چگونگی عملیات موجود زنده، چگونگی ساختمان بدن دستورالعمل هایی در مورد چگونگی عکس العمل ها را در هر مورد در خود منتقل می کند.
ص: 99

شکل 7-1: کروموزوم
هر موجود زنده از سلولهای متعددی تشکیل شده اند که این سلول ها دارای هسته ای هستند و در داخل هسته ماده ای به نام «کروماتین» تشکیل شده است.
در داخل کروماتین میله ها و یا رشته هایی وجود دارد که این میله ها و رشته ها، کروموزوم نامیده می شوند.
تمام هسته سلولها دارای کروموزوم بوده و اکثر سلولها دارای تعداد زوج کروموزوم می باشد مثلاً کروموزومها به تعداد 2×4، 2×6، 2×8، ... 2×24 در مورد انسان می باشد.
از این نظر کروموزومها را زوج می نامیم که هر 2 کروموزوم دارای مشخصات و شکل کاملاً یکسان بوده و به عنوان کپی کروموزوم دیگری می توان از آن استفاده کرد. این کروموزومها در موارد ارثی از همدیگر جدا شده و هر یک رشته کروموزوم یا رشته دیگری از کروموزومها پدر یا مادر ترکیب شده و تشکیل زوج کروموزومهای نسل بعد را می دهند.
ص: 100
ستون مرکزی کروموزوم حاوی اطلاعات ارثی است.
رشته های کروموزوم دارای نقاطی است که این نقاط یا علائم و یا کدهایی که از خود بروز می دهند اطلاعات ارثی و اطلاعات مربوط به هر موجود را به توسط خود منتقل کرده و عمل می کنند.
مثلاً در کروموزوم یک سلول مشخص است که آیا این سلول بعدا ایجاد یک مرغ سفید یا خروس، یا خزنده یا موش را می کند و این کروموزوم حاوی نقشه و مجری آن است، نکته در اینجاست که سلول که به منزله واحد هر موجود زنده است در کلیه موجودات زنده وجود دارد و در هر سلول هم هسته وجود دارد و این کروموزوم داخل هسته است که تعیین می کند مکانیزم یک موجود زنده چگونه باشد و نه تنها اطلاعات مربوط به آن سلول خاص که وظیفه ای خاص برعهده دارد را داراست بلکه نقشه کل اندامها و وظایف آنها را هم دارد یعنی اینکه مثل یک لشکری است که هر رسته وظیفه خاص دارد ولی فرمانده نقشه کل لشکر را به هر سرباز داده که هر سرباز علاوه بر اینکه وظیفه خود را می داند و می داند که چه باید بکند وظیفه همه سربازان و رسته ها و نحوه عملکرد همه را می داند.
رشد موجودات زنده از طریق تقسیم سلولی انجام می شود، اما مقدار آن طور که تصور می شود زیاد نیست چرا که با مواجه با موجودی با میلیاردها سلول این مسأله به ذهن می رسد که حتماً تقسیم سلولی هم به همین تناسب زیاد است. گرچه تقسیم سلولی در مراحل ابتدائی رشد بسیار سریع است از یک سلول به دو
ص: 101
سلول بعد 4، 8، 16، 32، 64 سلول، بعدا در مراحل مختلف رشد اعضای مختلف بدن سرعتهای تقسیم متفاوت پیدا کرده و هر یک از اعضا مختلف با سرعت متناسب خودش رشد می کند، با 50 بار تقسیم سلولی انسان به رشد کامل خود می رسد و بعد از آن سرعت رشد بسیار کم شده و فقط سلول ها جایگزین می شوند سلولهائی می میرند و سلول هایی جایگزین می شوند در طول مدت عمر یک انسان حدود 10 بار این اتفاق می افتد، پس بطور خلاصه در یک موجود رشد یافته سلولهای بدن او نسل از پنجاهم تا حدوداً شصتم سلول های اولیه آن موجود می باشند پس بعد از اینکه بدن به رشد طبیعی خود رسید و سلول ها وظایف معمول خود را آغاز کردند رشد کاهش یافته و در موردی تعدادی از سلولهای رشد کاملاً متوقف شده و می توان گفت آنها کنار گذاشته شده و یا رزرو شده هستند.

شکل 7-2: تقسیم سلولی
این کنار گذاشته شدن به این معناست که آنها برای منظور خاصی در زمان که لازم است شروع به تقسیم سلولی کرده و تولیدمثل می کنند.
ص: 102
یکی از خصوصیات این سلول ها در تقسیم کاهش این است که این سلولها دارای تعداد بسیار کمتر تقسیم سلولی هستند و بنابراین به تعداد خیلی کم در بدن باقی می مانند، در بیولوژی این سلول ها را گامت می نامند، گامتها زمانی شروع به تقسیم سلولی و تولیدمثل می کنند که بدن نیاز به اسپرماتوزوئید و یا تخمک دارد.
اهمیت تقسیم کاهشی انتقال کامل اطلاعات ژنتیکی والدین به نسل بعد است شایان توجه است کلیه اطلاعات زوجین به عنوان یک امکان بروز منتقل می شود ولی در عینیت پیدا کردن احتمال ظهور هر کدام از آنها بررسی می شود یعنی انتقال کلیه اطلاعات بصورت posildity و ظهور آن به صورت pxaleablity صورت می پذیرد. اولی شانسی نیست ولی دومی شانسی است به اصطلاح من آزادم ولی در محدودۀ زندان شما.
شکل 7-3
ص: 103
آنچه در طبیعت تنوع ایجاد می کند تقاطع کروموزومی است. در تقسیمهای سلولی کروموزومها بدون هیچ تغییری کپی و منتقل می شوند ولی در مواردی کروموزومها از روی یکدیگر عبور کرده ویا به عبارت دیگر یکدیگر را در نقطه ای قطع می کنند به ترتیبی که کروموزومهای بعدی قسمتی از یک کروموزوم و قسمتی از یک کروموزوم دیگری در امتداد هم قرار می گیرند و کروموزومهای جدید بعضی از کروموزومهای اول را و بعضی از مشخصات کروموزوم دوم را به همراه دارند، این همان عملی است که باعث می شود که کلیه خصوصیات هر فرد در فرزند خود منتقل نشود یعنی اگر پدری دارای دو خصوصیت مشخص باشد ممکن است فرزند یکی از آنها را به ارث برده باشد.
اگر چنانچه کروموزوم را به مصابه یک رشته تسبیح در نظر بگیریم که هر کدام از دانه های تسبیح یک ژن را نشان می دهد آن ژن هایی که با دانه هایی که به هم نزدیکتر هستند احتمال بروزشان در نسل بعدی با هم بیشتر از ژن هایی است که از یکدیگر فاصله دارند. مثلاً فرض کنید ژنهای حالت خاص شست دست پا رنگ مو و چشم و امثال آن، که قبلاً گفته شده است. مثلاً فرض کنید اندازه دماغ یک فردی و اندازه شست اگر ژنهایشان کنار هم باشد خصوصیات هر دو عضو با هم منتقل می شود در کل نسل مثلاً دماغ بزرگ و شست بزرگ ارتباط داشته باشند، ولی در نسل های جلوتر ممکن است این مثال نقض شود یعنی فردی با دماغ بزرگ و شست کوچک یا بالعکس ظاهر شود.
ص: 104
اگر هر کروموزوم را همان طور که گفته شد به مصابه تسبیحی در نظر بگیریم که از تعدادی دانه که در یک رشته قرار گرفته باشد، هر کدام از دانه ها به منزله یک ژن است که هر ژن یک خصوصیتی را منتقل کرده و در ابعاد 300 آنگستروم حجم دارد، در ابعاد 300 آنگستروم حداکثر اتمی که می تواند وجود داشته باشد به یک میلیون نمی رسد، در صورتی که در مکانیک آماری صحبت از میلیاردها مولکول می شد پس در ژن علاوه بر اینکه تعداد اتم ها کم است هر کدام از اتمها هم وظیفه خاص خود را دارند که هر اتم طرز قرار گرفتن الکترونها و هسته ای باید طوری باشد که کار خاصی را انجام دهد. و اگر در کارش خللی ایجاد شود در ابعاد ما ماکروسکوپی قابل مشاهده است و اختلالی را در سیستم ایجاد می کند برخلاف حالتهای آماری که خیل اتمها و مولکولها وظیفه ای یکسان داشته و قانونی واجد بر آنها حاکم است. پس این واقعیتی عجیب در طبیعت است کهمیلیون ها مشخصات دقیق وزیر اجرایی بدن به توسط ژنها منتقل می شوند که این میلیونها عمل در میلیونها تقسیم دست نخورده باقی مانده اند این دقت فوق العاده زیاد است که نمی تواند با آن فرمولهای تئوری آماری که در آغاز بحث اشاره کردیم قابل توجیه باشد.
در اینجا به تناقضی برمی خوریم و آن تناقض آشکار است بین طبیعت و فیزیک آماری و نشان می دهد فیزیک آماری حداقل در حیطه ژنتیک راهی به سوی جایی ندارد، خوب کار خود را پیش می گیریم.
ص: 105


به آزمایشی که در بین مزرعه جویی اتفاق افتاد اشاره می کنیم، در مزرعه جو وقتی قامت و شکل جوها را بررسی می کنیم از لحاظ آماری شکلی گوسی به خود می گیرد و از کوتاه تا بلند در رده های مختلفی قرار دارد.

ص: 106
کشاورزی برای اصلاح نژاد فرض می کنیم که از رسته F بذرگیری کند و فقط آن رسته را کشت کند ولی متوجه شد دو برداشت محصول باز همان منحنی گوسی قبل روبروست و همین آزمایش را از رسته های دیگر نیز انجام داد و نتیجه مشابه گرفت در اینجا معلوم می شود گرچه ممکن است شکل ظاهری همه جوها یکی نباشد ولی کروموزومهای همه رسته ها یکی است و ژنهای مشابه دارند پس نسلهای مشابه هم دارند ولی در بررسی گروهی این محصولات متوجه شدند بعضی گونه ها هستند که تغییرات خاصی در ظاهرشان مشهود است مثلاً رنگشان با سایر محصولات متفاوت است و یا اینکه اصلاً برگی ندارند، که این گونه ها از هر هزار ساقه جو یکی این گونه است یعنی نسبت کمی دارند، این تغییرات، تغییرات ژنتیکی جهشی است که تغییری در ژن ایجاد شده است و اگر بخواهیم این جهش را پی گیری کنیم قابل بررسی است.
جهش یافته ′II
غیرجهشی II

اگر دو گونه جو با هم ترکیب شوند یکی جهش یافته و دیگری سالم مشاهده می شود در اثر اختلاط به نسبت 1/2 گونه جهش یافته و گونه سالم به دست می آید یا ترکیب نسل اخیر با قدیم داریم.
II II II II II II′ II II′ II II′ II II′ II II′
ص: 107
در زوج کروموزوم که دستخوش تحول گردیده است. دیگر پیش نوشته ارثی در هر دو یکسان نیستند و دو مطلب متفاوت را بیان می کنند. یکی از آنها را اصلی و دیگری را ارثی می نامیم.
آنچه درواقع اتفاق می افتد نسل بعدی دارای یکی از دو حالت خود بوده یا حالتی قدیمی و یا حالت تحول یافته، حالتی که خود را ظاهر می کند حالت مسلط و حالت به فعلیت در نیامده را حالت مخفی می نامند، حالت های مخفی دارای مقدار بیشتری نسبت به حالت های مسلط هستند و با وجود یکه خود را ظاهر نمی کنند بسیار پراهمیت می باشند این حالت ها برای اینکه خود را ظاهر نمی کنند بسیار پراهمیت می باشند. این حالتها برای اینکه ظاهر شوند باید در هر دو کروموزوم یافت شوند. یا هر دو تحول مخفی با هم مزدوج شود. و حالت مسلط را بروز دهد، یا حالت دیگر این است که کروموزوم متحول با خودش مزدوج شوند، این حالت دوم در گیاهانی اتفاق می افتد که تولیدمثل آنها بطریق داخلی انجام می شود. در این صورت نسل دوم تحول را بروز می دهد.
ص: 108
مکانیک کوانتومی شاخه ای از علم فیزیک محسوب می شود که در آغاز قرن بیستم در پی ناکامی های فیزیک کلاسیک در توجیه یکسری از آزمایشات با آن مواجه شده بود به وجود آمد، یکی از این ناکامیها در زمینه توجیه نمودارهای تابشی جسم سیاه بود که ماکس پلانک را به شدت مشغول خود کرده بود، مکانیک گازها نشان می داد که توزیع انرژی در بین مولکولهای گاز به گونه ای صورت می گیرد که تراز انرژی همه مولکولهای گاز بعد از زمان مشخصی یکسان شده و به تعادل می رسند و باصطلاح انرژی توزیع می شود ولی در تابش جسم سیاه علی رغم تشابه نمودارهای آن مولکولهای گاز توجیه آن به گونه مکانیک گازی فاجعه بار بود چرا که نشان می داد با این قیاسانرژی باید به طیف های
ص: 109
کوچکتر توزیع شود و طول موجهای کوچک حامل انرژی فوق العاده هستند یعنی پیش بینی می شد که یک ظرف زودپز بعد از مدت خاصی تبدیل به یک منبع غنی اشعه x می شود که درواقع چنین اتفاقی نمی افتد این واقعه را پدیده فاجعه فرابنفش می گفتند.

شکل 8-1
عدم توجیه تابش جسم سیاه با قوانین گازها، پس این مهم ماکس پلانگ را به خود متوجه ساخته بود که ناگهان این فکر به ذهن پلانک رسید که اگر به جای توزیع پیوسته انرژی از توزیع کوانتائی آن استفاده شود، فرمولها با نمودارها هماهنگ می شود، پلانک در مقاله ای این مشاهده را به تحریر درآورد علی رغم عدم پذیرش گروهی از فیزیکدانان هم عصر عده ای از فیزیکدانان هم با انجام آزمایشاتی آن را تایید کردند که از آن جمله می توان به، انیشتین، میلیکان کمپتون اشاره کرد و نیلز بوهر از این نظریه در توجیه نحوه عملکرد الکترونها و اتمها استفاده کرد و نتایج قابل قبولی گرفت، بعدها با پیوستن هایزنبرگ و شرودینگر به این کاروان مکانیک کوانتمی به طور نظریه با ساختار قوی خود را نشان می دهد.
ص: 110
به هر حال فیزیک کوانتومی با موفقیت بزرگی که در توجیه و پیش بینی بسیاری از پدیده های فیزیکی از خود نشان می داد گوی سبقت را از سایر علوم فیزیکی ربود و همدوش نظریه مکانیک کلاسیک و نسبیت در بطن نظریه های فیزیکی مدرن قرار گرفت.
پس در مکانیک کوانتوم در توضیح اتم، جایگاه قرار گرفتن الکترونها حول هسته، کوانتیده است یعنی جایگاه خاصی دارد الکترون با سیو انرژی در ترازی قرار می گیرد، تراز بعدی الکترون جایگاهی است که انرژی خاصی دارد یعنی الکترون با هر انرژی نمی تواند از یک ترازی به تراز دیگر برود و با دریافت مقدار معینی انرژی این کار را انجام می دهد و با وقتی الکترون از طراز بالا به پائین می آید مقداری معین انرژی را از خود ساطع می کند.
یعنی جذب و دفع انرژی در اتم ها کوانتیده است و حرکت از یک تراز انرژی به تراز انرژی دیگر را جهش کوانتمی می گویند.
حال این واقعیت را در مورد مولکولها هم تعمیم می دهیم.
در بین اشکال متفاوتی که اتمها می توانند با هم بگیرند حالتی که هسته اتمها در نزدیکترین وضعیت به هم باشند به آنها مولکول می گویند.

شکل 8-2: مولکول
ص: 111
آنچه باید بدان تکیه کنیم اینست که مولکول دارای ثبات معینی است.شکل نمی تواند تغییر کند مگر آنکه مقدار بخصوص انرژی به آن داده شود.با این مقدار انرژی وضعیت مولکول به سطح بالاتری خواهد رفت و این انرژی باید از خارج به آن اضافه شود.مقدار انرژی داده شده ثبات مولکول را تعیین می کند.ثبات مولکول بستگی به درجه حرارت آنها دارد.
فرض کنیم که سیستم ما در حالت پائین ترین سطح انرژی باشد (273- درجه کلوین). برای حرکت به سطح بالاتر انرژی مقدار معینی انرژی لازم است.بهترین راه تأمین آن این است که آن را گرم کنیم، اگر آن را در محیطی با درجه بالاتر قرار دهیم به مولکول ها اجازه داده ایم که سطح خود را عوض کنند حرکتی که موجب حرارت می شود یا نشان دهنده حرارت در اتمهاست یک حرکت نامنظم است بنابراین نمی توان به یک میزان حرارت به همه اتمها و مولکولها یک زمان برسد پس شانس مولکولهای مختلف در دریافت این انرژی متفاوت است.
زمانی که طول می کشد تا درجه حرارت و یا حرارت داده شده به مولکول ها رسیده و عمل خود را انجام دهد این زمان مورد انتظار بستگی به نسبت دو انرژی دارد.
یکی مقدار انرژی برای تحول از یک سطح به سطح دیگر (W)
شدت حرکت حرارتی آن در درجه حرارت است. (T)
بررسی دانشمندان فوق نشان می دهد که زمان مورد انتظار به نسبت W'/KT بستگی دارد و این زمان و تغییراتش در سطح خیلی وسیعی قرار گرفته است.
ص: 112
اگر W، 30 برابر KT باشد زمان مورد انتظار یکم دهم ثانیه است.
اگر W، 50 برابر KT باشد زمان مورد انتظار 16 ماه خواهد بود.
اگر W، 60 برابر KT باشد زمان مورد انتظار 30 هزار سال خواهد بود.
اگر زمان مورد انتظار را T بنامیم این زمان به نسبت به KT طبق فرمول t=τe^w/kt است که در این فرمول t ضریب فرمول است که 13-^10 تا 14-^10 خواهد بود.
انتقال انرژی و جذب انرژی در یک سیستم بوسیله نوسانات مولکولی و یا نوسانات اتمی باید انجام شود و در هر زمان مقداری از این انرژی منتقل می گردد. چون این حرکتها 13^10 تا 14^10 بار در هر ثانیه است بنابراین این ضریب در فرمول وارد می شود. یا به عبارت دیگر این مقدار ضربات لازم است تا اینکه انرژی به نقطه بخصوصی از سیستم منتقل شده و در آنجا جذب شود.
در بیانات فوق در مورد ثبات مولکولی به طور ضمنی این مسأله فرض شد که:
جهش کوانتمی باعث خواهد شد که یک مولکول اگر از هم نباشد لااقل به شکل جدیدی از همان اتم در می آید که به اصطلاح شیمی دانان ایزومر همان مولکول قبلی خواهد شد.
که اگر آن را با تحول بیولوژی مقایسه کنیم همان تحول جهشی نامیده می شود.حالت اول حالتی است که در اثر اعمال انرژی مولکول شروع به نوسان کرده و این نوسانات بطور مرتب ادامه می یابد ولی حرکت آنها حرکت کوانتمی است یعنی
ص: 113
به صورت پله ای انجام می گیرد.
حالت دوم که موردنظر ماست این است که درواقع انرژی از یک سطح به یک سطح دیگر نیست بلکه همین سطح انرژی آستانه یا پیکانهائی است که در شکل 12 نشان داده ایم.

شکل 8-3
مرز انرژی (3) بین دو سطح ایزومری (1) و (2). پیکانهایشان حداقل مقدار انرژی هستند که برای انتقال لازم است.
مثل الکل پروپیل که در دو شکل زیر وجود دارد که از سه کربن و 8 هیدروژن و یک اکسیژن درست شده است اکسیژن می تواند بین هر یک از هیدروژنها و کربن ها قرار گیرد ولی فقط دو حالتی که در شکل نشان داده شده است دو چیز متفاوتند، که از لحاظ خاصیت فیزیکی و شیمیائی مثل هم نیستند حتی مقدار انرژی آنها متفاوت است.
ص: 114

شکل 8-4
برای این تغییر شکل لازم است اکسیژن را از این مولکول خارج و مجدداً در جای جدید آنرا وارد کرد و این کار زمانی اتفاق می افتد که مولکول از سطح بالاتر انرژی عبور کرده و سپس به این شکل جدید خود برگردد.
کوانتوم به عنوان یک نظریه جامع فیزیکی و کامل می تواند جوابگوی بسیاری از مسائل فیزیکی از جمله مسائل مربوط به حوزه مولکول ها و اتمها باشد و می تواند بسیاری از عملیاتهای شیمی را پوشش دهد.
همان طور که گفته شد، تراز انرژی های مولکولی نیز کوانتومی می باشد یکسری از انتقال انرژی فقط منجر به نوسان مولکولها می شود و در پاره ای از موارد مشاهده می شود که اگر مولکول انرژی خاصی را ذخیره کند به ایزومر دیگری تبدیل می شود که نظیر آن را در مولکول الکل دیدیم که مشاهدات نشان می دهد که این دو مولکول از لحاظ فرم و خاصیت و همه موارد از هم مستقل بوده و پایدار نیز می باشند، پس با مقایسه این خاصیت با خاصیت جهش ژنتیکی ما را به این واقعیت نزدیک می کند که بتوان از کوانتوم در ژنتیک استفاده کرد. چرا که
ص: 115
جهش ژنتیکی مشابه جهش کوانتومی می باشد.
در ژنتیک داریم که کروموزومها ساخته شده از DNA و پروتئین های هیستونی هستند که این مولکولها دارای ثبات زیادی بوده و حالت خود را حفظ می کنند و از نسلی به نسل دیگر منتقل می شوند در این کروموزومها ژنها مولکولهایی هستند که هر کدام چند صد هزار اتم تشکیل شده اند که هر اتم کار خاصی را انجام می دهد و منجر به مسأله خاصی می شود، آیا این ثبات و این نظم با کوانتم هماهنگی دارد، آیا پدیده های کوانتومی پدیده هایی منظم و قابل پیش بینی هستند، مسأله شانس در این حوزه تا چه حدی دخیل است، عدم قطعیت تعریف شده در کوانتوم یعنی چه؟ آیا اصل علیت در کوانتوم نقض نمی شود و اگر می شود چگونه منطقی که در کوانتوم وجود دارد یعنی زبان کوانتومی با زبان ژنتیک همسان است؟مکانیک کوانتومی را، مکانیک احتمال نیز می گویند، چرا که فیزیکی که در کوانتوم وجود دارد و منطق حاکم بر آن منطق خاصی است که گذارده "یا" در آن وجود ندارد و گزاره «و» در آن فقط حاکم است، یک ذره بسته موج است، که دو گزاره متضاد می توانند هم زمان حضور داشته باشند که با مشاهده و اندازه گیری این بسته موج خلاصه می شود، که این یک بحث خاص در فیزیک کوانتمی است، که به ایده آلیست ها و ماتریالیست های کوانتومی تقسیم می شوند. مثال اگر ما هر ژن را یک بسته موج در نظر بگیریم احتمال ظهور هر حالت در آن بسته موج همزمان وجود دارد، جواب مکانیک کوانتومی همین است، حال اینکه چرا از بین این احتمالات یک حالت خاصی ظهور می کند، جوابی فیزیکی ندارد بلکه ایده آلیست های کوانتومی مطرح می کنند که باید یک شعور ماورای طبیعی
ص: 116
وجود داشته باشد که این تابع موج را خلاصه کند و ماترالیست های کوانتومی ظهور جهان های موازی را مطرح می کنند. و بعضی از همین کوانتومی های ماتریالیسم مطرح می کنند که ممکن است مجموعه عوامل محیطی حاکم بر ژن منجر به خلاصه شدن بسته موج کند ولی سؤال در اینجاست که چگونه است که همین خلاصه شدن عیناً در یک نسل دیگر تکرار می شود یا همان مکانیزم و این در یک یک یا دو نسل چندین صد سال طول می کشد، این جوابی از طرف مکانیک کوانتومی ندارد، و یا مکانیک کوانتومی سازگار نیست و از طرفی از نگاه عدم قطعیت هم اگر به مسأله نگاه شود باز هم این نظم و قاعده با مکانیک کوانتومی سازگاری ندارد، پس ژنتیک با مکانیک کوانتومی ناسازگار است. پس در اینجا مشاهده شد دو نگره فیزیکی یعنی مکانیک آماری و مکانیک کوانتومی جوابگوی مسأله وراثت و ژنتیک نیستند. از طرفی هم همان طور که مشاهده شد مسأله آنتروپی هم در موجودات زنده به گونه ای است که، یک موجود زنده علی رغم میل طبیعت به سوی زیاد شدن آنتروپی از زیاد شدن آنتروپی و رو به پیری رفتن و به تعادل رسیدن مقابله می کند و یک موجود زنده حالت خود را حفظ می کند.
پس روند موجودات زنده، روندی است که نظم حاصل از نظم است نه نظم حاصل از بی نظمی، که فیزیک درباره آن اظهارنظر می کند، نظمی که از نظم برخواسته است شاید این معنی خیلی غریب بهنظر نیاید چرا که این روند را ما در طبیعت در جاهای دیگری دیدیم مثلاً نظمی که در اتمها وجود دارد و همان نظم را به گونه ای در سیارات منظومه شمسی هم می بینیم، مثلاً مشاهده می شود
ص: 117
که زمین با دقت ثانیه از محل نقطه تقاطع دائرﺓ البروج و معدل النهار گذر می کند و با دقت بسیار بالا محاسبه می شود. که نظم خاصی و بر آن وجود دارد که این ها را قوانین فیزیک می گوییم، گوئی باید این سنن فیزیکی نظمی را بین مواد یا ماده ایجاد کرده باشند، این قوانین فیزیک در دل طبیعت نهفته و از آن نشأت گرفته و غیرقابل تغییر است. به عبارت دیگر شاید بتوان به گونه ای این طور گفت که طبیعت به مصابه ساعتی است که همه اجزای آن نظم خاصی دارند و با نظم خاصی کار می کنند و در مجموع کار خاصی از آن نشأت می گیرد، ولی حالا با چنین تعبیری می توان از موجود زنده نام برد موجود زنده به مصابه ساعتی مشتمل بر قوانین خاصی است که تنظیم شده و کار خود را انجام می دهد، اولاً موجودات زنده از ذراتی تشکیل شده اند به نام سلول هر کدام از سلولها کروموزومی دارند که نقشه کل موجود زنده در آن وجود دارد و در عین حال کار خود را انجام می دهد. و همچنین همین گروه خود عملیات ساخت و ساز و تکثیر و همه چیز عضو را انجام داده و زیر نظر دارند و مقداری از آن تخطی نمی شود، هر ذره مستقلاً تمام وظایف را انجام می دهد و به چیزی غیر خود احتیاج ندارد، در عین حال مجموع کل سلولها کار خاصی را انجام می دهند، اما سؤال در اینجاست که بالاخره در این جا قوانین چیزی حاکم است یا اختیار، آیا می توان گفت که هر سلول کار خاصی دارد و کار خاصی برای آن تعریف شده است و همان کار را انجام می دهد مثلاً سلولهای دست، سلولهای استخوان یا هر چیز دیگر، که کروموزومها مجموع قوانین داخل هر سلول را حفظ می کنند، پس بحث اختیاری که در موجودات زنده مشاهده می شود در کجا نهفته است، آیا هر سلولی مستقل عمل کرده اعمال بدنی من تحت تأثیر مکانیسمی است که بطور کامل
ص: 118
تحت تأثیر قوانین طبیعت است.
ولی آنچه مسلم است من اختیار دارم و به اصطلاح کنترل تمام سلولهای بدنم را تحت نظر دارم پس حقیقتی در اینجا نهفته است که معنی من را مشخص می کند حقیقتی قادر و توانا که تسلط کامل بر من دارد و آن را هدایت می کند. در ضمیمه کتاب به افکار خاص اروین شوردینگ دربارۀ مسأله حیات مفصلاً خواهیم پرداخت.
ص: 119
ص: 120
پروتئین ها مولکولهای پلیمری هستند که از کنار هم قرار گرفتن آمینو اسیدها به وجود آمده اند درواقع اسیدهای آمینه نقش مونومرها را برای آنها دارند، به عبارت ساده تر اگر پروتئین را یک دیوار آجری در نظر بگیریم آمینو اسیدها آجرهای سازنده ی این دیوار هستند. دیواری را در نظر بگیرید که از آجرهای متفاوت با رنگ و اندازه مختلف تشکیل شده است، به نظر شما چند دیوار مختلف با این آجرها می توان ساخت؟ واضح است که چیدمانهای مختلف شکل های گوناگون را می آفریند همین اتفاق در ساختار پروتئین ها هم دیده می شود، کل حیات از 20 نوع آمینواسید شکل گرفته است، که پروتئین هایی با عملکردهای مختلف زیستی از انها ساخته شده اند. توالی آمینواسید یک پروتئین تعیین کننده
ص: 121
ساختار مولکول است یک تغییر کوچک در ساختار آمینو اسیدها می تواند، تأثیرات عمیق بیولوژی روی ساختار کلی و عملکرد پروتئین ها داشته باشد.
اما آیا مسأله به همین سادگی است؟
همه موجودات زنده روی زمین 20 نوع آمینواسید را در ساختارهای بیولوژیکی خود دارند، در حالی که ما در محیط زیست شاهد زندگی هزاران نوع گونه های مختلف جانوری و گیاهی هستیم. به نظر می رسد که با تغییر آرایش آمینواسیدها در ساختار سلول های اولیه حیات، سطوح مختلف زندگی با توانایی های مختلف و تنوع زیستی بی مانند را به وجود آورده است.
سؤالی مطرح می شود که اگر آمینواسیدها به عنوان آجرهای اولیه تشکیل حیات در شرایط مختلفی قرار بگیرند می توانند باعث به وجود آمدن حیات در آن محیط جدید شوند؟
پژوهشگران معتقدند که زمین بیش از سه میلیارد سال پیش میزبان دسته ای متشکل از بیست نوع آمینواسید در کنار یکدیگر بود که منجر به تشکیل اولین پروتئین های شکل دهنده حیات در این سیاره شدند، دسته ای که بعدها جعبه ابزار استاندارد حیات روی زمین را تشکیل دادند.
باور اینکه حیات روی زمین از این جعبه ابزار افسانه ای شکل گرفته باشد مورد قبول همه محققان نیست. فرضیات و گمانه های زیادی در مورد شکل گیری حیات روی زمین وجود دارد که متأسفانه تعداد کمی از آنها قابلیت تحقیق و ارزیابی است، اما با این فرضیات جدید جعبه ابزار 20 تایی آمینواسیدها را می توان خوب ارزیابی کرد، دانشمندان هم دست بکار شدند تا ببینند که 20 آمینواسید ساختار
ص: 122
اولیه حیات تصادفی انتخاب شده اند یا طبق اصول خاص و معیار مشخصی دسته بندی شده اند و همچنین به دنبال این هستند تا دریابند که این دارو دسته بیست تائی تنها گزینه های موجود بودند که می توانستند این بخش را بر عهده بگیرند؟ به گفته دیگر آیا می توان حیات به گونه دیگر را در جاهای دیگر یافت؟
برای پاسخ دادن به این پرسش دانشمندان روزگاری را در زمین در نظر گرفتند که میلیاردها کاندیدای اسیدآمینه برای شکل دادن حیات وجود داشت.
قبل از پرداختن به این پرسش به دنبال آن می گردیم که ببینیم آمینواسیدها چیستند؟

شکل 9-1: شهاب سنگ مرچیسون
آمینو اسیدها مولکولهایی هستند که از پایه کربن، هیدروژن، نیتروژن و اکسیژن ساخته شده اند، آنها به شکل های مختلفی به هم متصل می شوند و ساختارهای بزرگتری به نام پروتئین ها را تشکیلمی دهند، که پایه های اصلی حیات را تشکیل می دهند، امروزه می دانیم که بی نهایت آمینواسید گوناگون وجود
ص: 123
دارند. حیات زمینی با انتخاب اجباری یا اختیاری تنها از 20 عدد از آنها شکل گرفته است. همان طور که پیش تر گفته شد محققان درصدد هستند تا شرایط اولیه زمین که حدس زده می شود که میلیاردها کاندیدای اسیدآمینویی برای شکل دادن حیات وجود داشتند، را در نظر بگیرند، آنها برای شروع کاز از آمینواسیدهای یافته شده از شهاب سنگ مرچیسون که سال 1348 خورشیدی در استرالیا کشف شده بود را مبنای کار خود قرار دادند، عمر این شهاب سنگ به اوایل شکل گیری منظومه شمسی باز می گردد.
که عناصر یافت شده در آن مثالی مناسب از ترکیبات موجود منظومه شمسی در زمانی قبل از آغاز حیات روی زمین است.
سپس دانشمندان از مدل سازی های کامپیوتری برای تخمین خواص اساسی 20 آمینواسید سازنده حیات در زمین استفاده کردند تا با اندازه گیری مشخصاتی همچون اندازه، توانمندی، ترکیب، آب دوستی (میزان تمایل یک ماده نسبت به آب) معیاری از توانایی اسیدآمینه ها برای ترکیب و ساخت پروتئین های سازنده حیات پیدا کنند.نتیجه بسیار هیجان انگیز بود، محققان دریافتند که وجود 20 آمینواسید ساختاری در تمام اشکال حیات زمین به هیچ وجه تصادفی نبوده است. آنها متوجه شدند که بعید به نظر می رسد، شانس به تنهایی در چیدن این جعبه ابزار تولید حیات در کنار هم و انتخاب آنها نقش داشته باشد.
حال پرسش جدید مطرح می شد که این 20 اسید آمینه چگونه انتخاب شده اند. تا زیبائی حیات و زندگی را به رخ زمین بنشانند.
امروزه مشاهدات و اکتشافات انجام شده در سایر اجرام آسمانی جای هیچ
ص: 124
شکی به جای نگذاشته است که آمینواسیدها در جاهای دیگر از منظومه شمسی غیر از زمین نیز به وفور یافت می شوند.
محققان بر این باورند که حیات روی زمین از نوعی انتخاب طبیعی برای برگزیدن 20 نوع آمینواسید مخصوص استفاده کرده است. انتخاب طبیعی که برای تکامل شناسان واژه آشنایی است می گوید که پیدایش گونه های مختلف حیات در روی زمین ناشی از عملکرد بهتر گونه ای نسبت به گونه ای دیگر و طبیعتاً چیرگی آن گونه بر سایر همنوعان خود است نتیجه سیر یک موجود تک سلولی به یک انسان بالغ و هوشمند است که خود در حال بازخوانی شجره نامه خانوادگی خود است.
انتخاب طبیعی به زبانی دیگر برتری یافتن یک گونه بر گونه دیگر است که باتوجه به میزان تطبیق گونه پیروز با محیط زیست و شرایط دشوار آن تعریف می شود.
براساس این تعریف گونه ای که با شرایط محیطی خود سازگاری بیشتری دارد، می تواند به حیات و تولیدمثل خود ادامه دهد، ازدیاد نسل نماید.
درست مشابه همین بحث در آمینواسیدها هم قابل طرح است. براساس همین تئوری دانشمندان ترکیبات متنوعی از آمینواسیدها را مورد مطالعه قرار دادند تا ببینند چه عامل طبیعی باعث انتخاب این 20 نوع آمینواسید معروف شده است. اما هیچ نوع ترکیبی به طور کامل کاندیدای مناسبی برای تولید حیات از نوعی غیر از گونه زمین شناخته نشده و تکثیر و تولید هیچ ترکیبی دیگری از آمینواسیدها به نتیجه نرسید یا در صورت نتیجه دادن ادامه پیدا نکرد و در جائی متوقف گردید.
ص: 125
بنابراین هنوز دانشمندان از پاسخ به این پرسش که چگونه انتخاب طبیعی موجب برگزیده شدن این 20 آمینو اسید شده است، عاجزند.
دانش امروزی ما گواه این مطلب است که آمینواسیدهایی غیر از آن 20 نمونه خوش شانس نیز در برخی موارد توانسته اند سر از ساختار ژنی موجودات زنده در آورند، که همه این موارد را در دسته ناهنجاری های ژنتیکی مثل جهش های ژنی، نقض های مادرزادی و در کل بیماری با مشکل دسته بندی می کنیم.
نتایج تحقیقات و مشاهدات عینی حکایت از آن دارد که طبیعت در انتخاب خود برای برگزیدن 20 آمینواسید زندگی ساز شاهکاری مثال زدنی کرده است، که نتیجه آن میلیون ها گونه زیستی بزرگ و کوچک امروزی است. اما این آمینواسیدهای معجزه گر از کجا آمده اند؟
اسیدهای آمینه همراه شهاب سنگ ها به زمین آمده اند. امروز مشاهدات نشان می دهد که به طور قطع در سایر اجرام سماوی نیز آمینواسیدها و به وفور یافت می شوند.اولین نشانه ها از شهاب سنگهایی به دست آمده که گرفتار کمند گرانشی زمین شده و به زمین سقوط نموده بودند گمانه های اولیه حاکی از آن بود که ممکن است آمینه اسیدهای موجود در زمین به گونه ای در آنها رسوخ کرده باشند اما خیلی زود با برخورد با ساختارهایی متفاوت از ترکیب آمینو اسیدها امیدی تازه در دل جویندگان موجودات فضائی کاشت این موضوع باعث شد که دوره جدید از پژوهشها برای یافتن منابع جدید اسیدهای آمینه تعریف گردد و پروژه های جدید تعریف شوند. بعد از آن بود که دانشمندان با مطالعه نمونه های جمع آوری شده توسط کاوشگر فضایی استار داست از غبار یک دنباله دار دریافتند که آمینو
ص: 126
اسیدها در منظومه شمسی پراکنده هستند.


شکل 9-2: کاوشگر فضایی استارداست
اما تمام این یافته ها منجر شده است که پرسشهای پیش روی انسان در این موضوع سیر صعودی گیرد که به راستی حیات بر روی زمین از کجا نشأت گرفته است؟ آیا می توانیم انتظار داشته باشیم روزی در جای دیگری از منظومه شمسی حیات پیدا کنیم؟
اکثر پاسخ به این پرسش مثبت است، حیات در فرازمین چگونه است؟ دانشمندان بخصوص در حال بررسی این موضوع هستند که چگونه ترکیبات گوناگونی از آمینواسیدها باعث پیدایش گونه های مختلف حیات می شود؟
و پرسش آخر اینکه با ایجاد تغییر در ترکیبات گوناگون و توالی ترکیبی مجموعه های مختلف آمینواسیدی قادر به ایجاد چه تغییراتی در پروتئین های سازنده زندگی خواهیم بود؟
یافتن این پاسخ ها می تواند علاوه بر روشن ساختن یکی از اساسی ترین
ص: 127
پرسشهای بشری مبنی بر چگونگی پیدایش حیات عصر جدیدی از فناوری های زیستی را نیز فراروی بشر کنجکاو قرار دهد.
در ابتدا حیات را از دیدگاه فیزیک آماری، و فیزیک کوانتومی بررسی کردیم، فیزیک آماری منشاء و پایه بسیاری از قوانین فیزیک کلاسیک است، و قاعده ای که براساس آن از بی نظمی به نظم رهنمون می شویم. مکانیک آماری نظم را در کثرت ذرات جستجو می کند، و در مورد نظم تک تک ذرات نظری ندارد، و قابل توجیه نیست، همان طور که مشاهده شد سیستم های زنده، که سیستم هائی هستند که متابولیسم انجام داده و از نظر ترمودینامیکی نامتعادل ولی پایدارند، سیستم هائی خود تکثیر بوده که تمام اطلاعات هستی و چگونگی و ساخت آنها در مولکول پلیمری، به نام DNA ثبت و ضبط شده که این DNAها شامل مولکولهای کوچکتری به نام ژن بوده که این ژنها در حدود 400 آنگستروم حجم داشتند و از حدود نیم میلیون اتم تشکیل شده اند، که هر کدام از این اتمها طی نظمی به کاری خاص مشغولند، و این نظم خارق العاده در دیدگاه فیزیک آماری تعریف ناشده است، از نگاه مکانیک کوانتم هم که فیزیکی بر پایه احتمالات نیست، گرچه بعضی از اعمال حیات از جمله جهش های ژنتیکی قابل توجیه می باشد ولی مسأله وراثت، بدون جواب باقی می ماند، در جوابهای نهائی مکانیک کوانتمی به به جای یک جواب یقینی با سینۀ موج مواجه هستیم که مجموعه ای از احتمالات است که براساس یک امکانی به صور موازی با هم جواب مسأله را تشکیل می دهند، مسأله خلاصه شدن این سینه موج به یکی از حالات ممکن، و به توارث رسیدن این
ص: 128
خلاصه شدن در نسل های متوالی در چندین قرن امری غریب است که جوابی در مکانیک کوانتمی ندارد، پس مکانیک کوانتمی علی رغم قدرت علمی بالا در این حوزه به ناکامی برخورد می کند، از طرفی همبستگی همه سلولها با یکدیگر، متأثر بودن آنها از هم، و وجود حس مشترک در افراد مختلف علی رغم مستقل بودن آنها از نظر فیزیکی از یکدیگر، بر پیچیدگی معمای حیاتمی افزاید و فیزیکدان بزرگ چون شوردینگر از دایرۀ صرف فیزیک محض به سوی علومی چون روانشناسی سوق می دهد.
با تمام این تفاسیر موضوع حیات هنوز موضوع پیچیده ای می باشد، که مواجه شدن با آن اشراف خاصی را به علوم مختلف اعم، فیزیک، شیمی، زیست و حتی روان شناسی را می طلبد، ولی با همه این تفاسیر آنچه مسلم است در موجودات زنده، این مولکولها و اتم ها هستند که در جلواتی خاص شالوده این موجودات را به وجود آورده اند، همه موجودات زنده از پروتئین هایی خاص که از بیست نوع اسید آمینه تشکیل شده اند به وجود آمده اند و همه موجودات زنده از یک آسیب تک سلولی تا مارمولک هندی، اسب آبی تا نهنگ غول پیکر اقیانوسهای شالگان و پنگوئن های قطب، تا انسان های هوشمند اروپائی و آفریقائی همه و همه از آدم تا خاتم، از بیست نوع اسید آمینه تشکیل شده اند و از این، شمار بیرون نیستند، اسید آمینه ای که از، کربن، نیتروژن، اکسیژن، هیدروژن به وجود آمده اند، و آجرهای تشکیل سازه های پروتئین را به وجود آورده اند، اما از این چند عنصر، چند نوع اسید آمینه خلق می شود، و از این اسید آمینه ها چند نوع ترکیب به وجود می آید و این ترکیبات، با چندین حالت می توانند کنار هم قرار بگیرند.
مثال را به گونه ای دیگر می زنیم فرض کنید بدون در نظر گرفتن فاکتور
ص: 129
محدود بودن تکرار حروف، چهار حرف را در نظر بگیریم به چند روش می توان این حروف را بدون در نظر گرفتن پارامتر تکرار کنار هم قرار داد، مسلماً، بی نهایت می توان حالت می شود چون گزینه محدود بودن تکرار وجود ندارد، شما می توانید هر حرف را حتی تا بی نهایت بار تکرار کنید، حال این بی نهایت ها به چند طریق می توانند کنار هم قرار بگیرند باز هم بی نهایت طریق و همین طور دیده می شود محدودیتی در ترکیبات و ساختارها نداریم، خوب این حکم طبیعت است و خالی از ابهام، ولی وقتی مثلاً شما بیایید یک قید وارد مسأله کنید، که باید با این چهار حرف کلماتی بسازید که در زیان مفهوم داشته باشد حالا هر زیانی، خوب، قیودات شما به شدت میزان این کلمات را کاهش می دهد، حالا قید باشد فقط در فارسی معنی داشته باشد، باز هم مقیدتر می شود، یا جمله ای بسازد که مجموع کلمات معنی دار باشد، حالا می توانیم بگوئیم کتابی که براساس این حروف نوشته شده و با معنی است، کلاً کلماتش تصادفی انتخاب شده، تصادفی کنار هم قرار گرفته و تصادفی معنی دارشده است. در مورد اسیدهای آمینه هم، همین موضوع حاکم است از بی نهایت ترکیب که از اجتماع عناصر پایه آن به وجود می آیند، چگونه در قید حیات با پروتئین های خاص، عده ای گزینش شده اند، و آنقدر ماهرانه در کنار هم قرار گرفته اند، که حیات را منجر شده اند، که اگر در یکی مولکولها حتی خدشه ای در نحوه چینش اتمها باشد منجر به آن می شود که بیماری در موجود زنده عارض شود، که در ظاهر آن موجود دیده می شود، جالب این جاست که اگر بخواهیم در غالب نظریه تکاملی هم به این مسأله نگاه کنیم چگونه است هرگونه جهش ژنتیکی موجب تکامل نمی شود بلکه منجر به بیماری می شود و این خود جای بسی تأمل دارد، به هر حال حیات به هر شکل و تقدیری در جهان به وجود
ص: 130
آمده است.
و مطلوب است به چند سؤال دیگری جواب بدهیم اول اینکه ترکیبات شیمیایی حیات در کدام نواحی عالم وجود دارند؟ اثرات ترمودینامیکی که بر مجموعه زمین به عنوان محیط زیست وجود دارد آیا در سایر سیارات و سیارات فراخورشیدی هم قابل پی گیری است؟ آیا می توان ادعا کرد که ما در جهان تنها هستیم و آیا احتمال حیات در سایر جاهای کیهان وجود دارد اگر دارد به چه احتمالی؟ و یکسری از این سؤالات دیگر که در موضوعی به نام اخترزیست بدان پرداخته می شود.
یک رهیافت کاملاً خوش بینانه در دهه 1920 میلادی مطرح شد که به مدل سوپ بنیادین معروف شد.

شکل 9-3
طبق این نظریه زمین در دوران اولیه خود بسیار گرم بوده است و مولکولهای آب بصورت بخار بوده اند، با سرد شدن بخار متراکم شد و باران شروع به باریدن گرفت و اقیانوسها شکل گرفتند.
ص: 131
در آن زمان جو زمین عاری از اکسیژن ولی مملو از نیتروژن، متان و آمونیاک بود این مولکول ها در اثر انرژی رعد و برق و پرتو ماورای بنفش خورشید برانگیخته شدند و با ترکیب شدن در هم مولکول ساده آلی را بوجود آوردند، این مولکول ها نیز در ادامه فرآیند با یکدیگر ترکیب شده و مولکول های پیچیده تر را به وجود آوردند، و آنها همراه باران وارد اقیانوس ها شده اند. در این راستا فعالیت های آتش فشان های موجود در بستر اقیانوس ها نیز این روند را تشدید کرد طرح این فرضیه در آن زمان دانشمندی به نام «هادولدیوری» را به این فکر انداخت که این تفکر را به بوته آزمایش بگذارد، وی در سال 1952 از دانشجوی خود «استنلی لوید میلر(1)» خواست تا مدلی آزمایشگاهی از محیط حاکم بر زمان تشکیل حیات احتمالی تهیه نماید.

شکل 9-4
استنلی از آب خالص شروع کرد. او آب را چندین بار جوشاند تا مطمئن شود که عاری از هرگونه جانداری باشد، سپس نیتروژن، هیدروژن و آمونیاک را به آب
ص: 132
اضافه کرد، و در یک بالن ریخت و یک دستگاه تولید جرقه الکتریکی را داخل آن تعبیه کرد تا مدلی از رعد و برق آن زمان در سطح کره زمین باشد. و دستگاه را قریب به یک هفته روشن نگه داشت، در این میان مخلوط دائماً توسط یک همزن زیر و رو می شد. بعد از یک هفته دیده شد که رنگ مخلوط به رنگ صورتی درآمده، از میزان گازها کم و در عوض، اسیدهای آمینه، اسیدهای چرب و کربوهیدراتها تشکیل شده اند. که ظاهراً نشان می داد که نظریه سوپ بنیادین درست است. اما شواهد بعدی این فرضیه را زیر سؤال برد.
اکتشافات جدیدی که بعد از نظریه سوپ بنیادین به دست آمد باعث ارزیابی مجدد مدل سوپ بنیادین شد. در زمان آزمایش میلر زیست شناسان تصور می کردند که پیدایش حیات در حدود یک میلیارد سال پیش روی داده است. اما اندازه گیری سن زمین و کشف سنگواره هایی که 3/5 میلیارد سال سن داشتند نشان داد که حیات در واقع بسیار پیشتر از آن تشکیل شده است.ما اکنون می دانیم که مخلوطی از گازهای مورد استفاده در آزمایش میلر هنگام پیدایش حیات وجود نداشته است.
در آن زمان زمین فاقد لایه حفاظتی اوزون بوده است و پرتوهای ماورای بنفش بدون اوزون همه آمونیاک ها و متانهای موجود در اتمسفر را از بین می برند.از سوی دیگر در صورتی که گازهای آمونیاک و متان در آزمایش میلر وجود نداشته باشند امکان ساخت این اسیدهای آمینه وجود نخواهد داشت.
ص: 133
براساس این تحقیق عنصری که تصور می شود که در منشاء حیات اساسی بوده فقط بر روی مریخ وجود داشته است.پرفسور استون بنر(1) ژئوشیمی دان مؤسسه علمی و فناوری فلوریدا مدعی است بذرهای حیات احتمالاً در شهاب سنگهائی وجود داشته که توسط برخورد یا فوران آتش فشانها از مریخ جدا شده و به زمین رسیده اند.

شکل 9-5: سیاره مریخ

شکل 9-6: استون بنر
ص: 134
به عنوان مدرک، این دانشمند به شکل معدنی اکسید شده عنصر مولیبدنوم اشاره می کند که تصور می شود. کاتالیزوری بوده که به تبدیل شدن و توسعه مولکول های آلی به نخستین ساختارهای زنده کمک کرده است.
علاوه بر این مطالعه وی حاکی از آن است شرایطی که برای منشاء حیات مساعد هستند هنوز هم بر روی مریخ وجود داشته است.
به گفته نبر، فقط هنگامی که مولیبدنوم تا حد زیادی اکسید می شود، قادر به اثرگذاری بر روی چگونگی شکل گیری حیات آغازین بوده است.
این شکل از مولیبدنوم نمی توانسته بر روی زمین و زمانی که حیات ابتدائی آغاز شده وجود داشته باشد، زیرا سه میلیارد سال پیش سطح زمین دارای اکسیژن اندکی بوده ولی مریخ مملو از این گاز بوده است.این موضوع شاهد دیگری بر این واقعیت است که حیات احتمالاً بر روی شهاب سنگهای مریخ به زمین وارد شد و اینکه منشاء آن زمین نیست.
پرفسور بنر با مطرح کردن ادعایش با دو تناقض روبرو می شود که امکان درک چگونگی آغاز حیات بر روی زمین را دشوار کرده اند.
نخستین تناقض به گفته وی «تناقض فیر» نام دارد که براساس آن تمامی اشیای زنده از مواد آلی ساخته شده اند اما چنانچه گرما یا نور به مولکول های آلی افزوده و به حال خود رها شوند، حیات را خلق نمی کنند، بلکه تبدیل به مؤلفه ای مانند فیر نفت یا آسفالت خواهند شد.
به ادعای بنر، عناصر خاصی قادرند گرایش مواد آلی را برای تبدیل به قیر به ویژه یورو مولیبدنوم، کنترل کند، بنابراین وی معتقد است مواد معدنی حاوی هر دوی این مواد برای شروع حیات آغازین اساسی بوده اند.
ص: 135
تحلیل اخیر از یک شهاب سنگ مریخی نشان داده که بور بر روی مریخ وجود داشته و نیز مدعی است شکل اکسید شده مولیبدنوم نیز در آنجا وجود داشته است.
تناقض دوم این است که حیات برای آغاز بر روی زمین ابتدائی جنگیده است زیرا به نظر می رسد در آن زمان زمین کاملاً پوشیده از آب بوده است.
این امر نه تنها مانع از تراکم های کافی شکل گیری بور شده بلکه آب برای «RNA» نیز تباه کننده بوده است. دانشمندان معتقدند که RNA اولین مولکول ژنتیکی بوده است. گرچه بر روی مریخ آب وجود داشته. اما نواحی کوچکتری را در مقایسه با زمین ابتدائی پوشانیده است.
ص: 136
خورشید به همراه صد میلیارد ستاره که در کهکشان راه شیری وجود دارد حول مرکز کهکشان که احتمالا سیاهچاله ای در آن قرار دارد، در حال گردش است، خورشید ستاره ای زرد با دمای حدود 6000 درجه سانتیگراد و در رده تابشی G، در رشته اصلی ستارگان می باشد. بسیاری از ستارگان در این ویژگی با خورشید سهمیم هستند.
ص: 137

شکل 10-1: نمودار هرتسپرونگ - راسل
هنگامی که بشر متوجه این امر شد، ستارگان دیگر هم به نوبه خود خورشیدهایی نظیر، خورشید ما هستند این سؤال مطرح شد، آیا سیاراتی حول این ستارگان در گردشند و آیا در این سیارات حیات وجود دارد؟
این پرسش را اولین بار جوردانو برونو(1)فیلسوف و ریاضی دان ایتالیایی که در قرون وسطی طرفدار خورشید مرکزی بود و جان خود را در این راه از دست داد، مطرح کرد.آیا حیاتی چون زمین می تواند در جاهای دیگر عالم هم وجود داشته باشد؟
گرچه این ادعای برنو 400 سال پیش ارائه شد و مبنای علمی نداشت ولی حرفی نو در عرصه علم محسوب می شد.بعد از قرنها بشر توانسته در ماوری منظومه شمسی اثری از 1800 سیاره
ص: 138
فراخورشیدی به طور قطع و 2900 سیاره دیگر که نامزدهای این ویژگی است و شاید در سال های آینده جزو تقسیمات قرار گیرند، ثبت و ضبط کند که حول ستارگان دیگر در حال گردش هستند.

شکل 10-2: سیارات فراخورشیدی
البته این پژوهش، بسیار مشکل است چرا که محدودیت انسان، و ابزارهای رصدی موانع بسیاری را بر سر راه به وجود می آورد، ولی اراده انسان و گرایش وی به سوی عام موانع را برطرف می کند.
روش آماری یکی از روش هائی که فیزیکدانان در تحلیل داده ها از آن استفاده می کنند، استفاده از آمار در گرایش خاصی از فیزیک چون فیزیک آماری مبنای بسیاری از گرایش های فیزیک را به وجود آورده است.
ص: 139
اگر بخواهید با روش آماری تعداد ساختمانهای شهر را تخمین بزنید، نخست یک بازه کوچکی از شهر را انتخاب خواهید کرد سپس تعداد ساختمان های آن را می شمارید و با فرض یکسان بودن توزیع خانه ها در شهر، و تقسیم شهر به بازه های هم سان تعداد ساختمان ها را در کل ضرب می کنید، نتیجه بدست خواهید آمد.
در یافتن سیارات فرا خورشیدی هم فضا را به قسمتهای کوچکی تقسیم کردهسپس یکی از قسمتها را از نظر سیاره ای بررسی کرده و نتیجه را به کل ضرب می کنیم،تخمینی از تعداد سیارات فراخورشیدی بدست خواهد آمد. با این روش کل سیارات فراخورشیدی در کهکشان راه شیری صد میلیارد برآورد شده است، این صد میلیارد برابر تعداد ستارگان منظومه ستاره ای کهکشان راه شیری است یعنی به ازای هر ستاره یک سیاره، که البته نتیجه ای آماری است چرا که بعضی از ستارگان همانند خورشید چندین سیاره و برخی فاقد سیاره می باشند، تعدادی هم به صورت سرگردان در محیط های میان ستاره ای هستند که ممکن است متعلق به منظومه ای بوده باشند که از آن گریخته اند یا از آغاز اینگونه خلق شده اند که در زمره کوتوله های قهوه ای(1)
هستند.
اولین سیاره فراخورشیدی(2)
در سال 1367 حول یک تپ اختر کشف شد که تأیید آن تا سال 1382 به تعویق افتاد و سیاره بعدی نیز در سالهای 1371 تا 1372 کشف شدند، که این دو سیاره نیز حول دو تپ اختر در حال گردش بودند،
ص: 140
باتوجه به ساختار تپ اختران که در اثر انفجار ستارگانی به اندازه سه برابر جرم خورشید به وجود آمده اند، مسلم است این سه سیاره پیدا شده می بایست سوخته هایی از سیارات سنگی اطراف این ستارگان باشند.
در سال 1374 اولین سیاره فراخورشیدی در اطراف ستاره ای خورشیدگون کشف شد که اندازه ای برابر با مشتری داشت، بعد از آن تعداد زیادی سیارات مشتری گون کشف شدند.وجود چنین سیارات غول پیکر در نزدیک ستاره تا حدودی با نظریه تکوین سیارات مغایرت داشت که در آن بر طبق روند قرارگیری سیارات منظومه شمسی عنوان می داشت که سیارات نزدیکتر به ستاره ها باید سنگی و سیارات دورتر باید گازی باشند، به هر حال با پیشرفت تکنولوژی رصد سیارات بسیاری هم کشف شدند که تعداد آنها از سیارات مشتری گون زیادتر بود، این سیارات اغلب در بازه سیارات زمین نا نپتون را شامل می شوند.
کشف سیارات فراخورشیدی به علل دوری فوق العاده ستارگان و روشنائی بسیار زیاد آنها بسیار مشکل است.از مجموع سیارات فرا خورشیدی تعداد کمی از آنها مستقیم کشف شده اند. بلکه اکثر قریب به اتفاق آنها از مشاهدات غیرمستقیم حاصل شده اند، این روشها عبارتند از: آسترونومی، روش گذر، روش سرعت شعاعی، اندازه گیری تغییرات زمانی و ریز عدسی های گرانشی صفحات میان ستاره ای می باشد.
ص: 141
این روش شامل اندازه گیری های دقیق موقعیت یک ستاره در آسمان است. موقعیت، طی گذشت زمان در آن تغییر می کند، اگر ستاره ای یک سیاره داشته باشد، اثر گرانشی سیاره موجب خواهد شد که خود ستاره در یک مدار کوچک دایره ای یا بیضی گردش کند.
این روش به نام اثر دوپلر نیز نیز شناخته شده است تغیرات سرعت با آنچه که ستاره به سمت و یا به خارج از زمین حرکت می کند یعنیتغییرات در سرعت شعاعی ستاره در مقایسه با زمین را می توان از تغییر مکان در خطوط طیفی ستاره با در نظر گرفتن پدیده دوپلر استنباط کرد. این روش بسیار متداول و روشی بسیار ثمر بخش استکه مورد استفاده قرار می گیرد.
تپنده ها امواج رادیویی متناوبی گسیل می دارند که مطابق با چرخش آن ها است. بی نظمی های خفیفی در زمان سنچی پالس های رادیویی رصد شده از آن ها را می توان برای پیدا کردن تغییرات در حرکت تپنده که از حضور سیارات به وجود می آید، استفاده کرد.
4-3-10 روش ریز همگرایی گرانشی(1)
ریزهمگرایی گرانشی زمانی رخ می دهد که میدان گرانشی یک ستاره مانند یک عدسی عمل کند، و نور یک ستاره ی پیش زمینه را که منبسط شده
ص: 142
بزرگنمایی می کند. اگر ستاره ای پس زمینه مورد بزرگنمایی دارای سیاره ای باشد، میدان گرانشی آن سیاره می تواند یک بخش قابل رؤیت در اثر بزرگنمایی به وجود آورد.
ستاره شناسان به هنگام گذشتن یک جسم سنگین و پرجرم ازمقابل یک ستاره (از چشم انداز زمین) بررسی می کنند، چه روی می دهد. میدان گرانشی این جسم، نوری که از ستاره ی پیش زمینه به چشم ما می رسد را خم کرده و مانند یک عدسی، آن را بزرگنمایی می کند.
بدین ترتیب یک منحنی نوری پدید می آید. نور ستاره با گذشت زمان کم و زیاد می شود. ستاره شناسان با بررسی ویژگی های این منحنی به آگاهی های فراوانی درباره ی جسم پس زمینه، که اغلب خودش هم یک ستاره است، دست می یابند. اگر این ستاره دارای سیاره هایی باشد، آن سیاره ها می توانند منحنی های نوری دومی پدید آورند و پژوهشگران را از وجود خود آگاه کنند. پژوهشگران از این روش حتیبرای کاوش سیاره هایی که بدون ستاره ی مادری در ژرفای فضا پرسه می زنند، استفاده می کنند.
صفحایی از غبار میان ستاره ای، ستارگان بسیاری را احاطه کرده اند، و این غبار قابل آشکارسازی است، چرا که نور معمولی ستارگان را جذب می کند و آن را به صورت تشعشعات مادون قرمز بازتاب می کند، شکل صفحات غبار، گاهی اوقات حضور سیاره های کاملی را پیش بینی می کند.
ص: 143
پرکاربردترین روش برای کشف سیارات فراخورشیدی است، در این روش ستاره ها در بازه زمانی طولانی بررسی می شوند، و اگر نور ستاره ای برای مدت خاصی کاهش یابد و دوباره به حالت اولیه باز گردد و این چرخه به صورت منظم تکرار شود یکی از عوامل این کاهش متناوب نور ممکن است عبور سیاره ای از مقابل قرص ستاره مادر باشد.
در حال حاضر از دو تکنیک در ردیابی به روش گذر استفاده بهینه می کنند یکی به وسیله رباتهای خاصی که به تجهیزات تلسکوپها اضافه شده اند که به (Automated Planet Finder) معروف هستند که با تلسکوپی 2/4 متری و طیف سنجهایی مجهز و پیشرفته و حساس است که برای جستجو بین ستارگان نزدیک به خورشید برای ردیابی فراخوشیدی ها ساخته شده که امید است که داده های آن برای نسل های آتی بشر مورد بهره برداری علمی قرار گیرد.
و دیگری ماهواره ای موسوم به کپلر است. این رصدخانه مداری از روش گذر برای کشف فراخورشیدی ها استفاده می کند این فضاپیما با تمرکز به یک منطقه مشخص در آسمان و نورسنجی از تعداد بسیار زیادی ستاره در آن ناحیه در طولانی مدت آنها را زیر نظر دارد و کوچکترین تغییرات نوری ثبت می کند تا نامزدهایی برای سیارات فراخورشیدی پیدا کند. بعد از مشخص شدن این نامزدها اخترشناسان بررسی های تکمیلی انجام داده و کشف این سیارات نامزد را تأیید می کنند.
ماهواره ای دیگر به نام گایا نیز از سوی مرکز ستاره شناسی اروپا در مدار قرار گرفته که این ماهواره با تهیه نقشه ای سه بعدی از فضا و بررسی ستاره ها با روش
ص: 144
آسترونومی به ثبت و ضبط سیارات فراخورشیدی پرداخته و حتی نسبت جرمی و بعضی از پارامترهای رصدی را هم بررسی می نماید.
این روش را نخستین باراسترووه(1)در سال 1331، مبتنی بر روش موسوم به نورسنجی پیشنهاد کرد و در سال 1350 فرانک روزنبلات(2)
آن را بهبود بخشید، نخستین سیاره ای که به صورت رسمی به روش گذر کشف شد. سیارۀ 209458HD بود. در روش گذر موضوع اساسی بررسی دقیق شارستاره بود، یعنی تعداد فوتون هایی که از ستاره به چشم ناظر می رسد. برای بررسی شارستاره به این روش به دو ابزار نیاز است: وسیله ای اپتیکی (تلسکوپ) و سی سی دی.
سی سی دی یک قطعه آشکارساز فوتون است که به جای چشمی روی تلسکوپ متصل می شود. این آشکارساز حساس به نور از آرایه ای متشکل از پیکسل تشکیل شده است که وظیفه دریافت و واکنش نشان دادن به فوتون دریافتی را دارد. وقتی با سی سی دی به ستاره ای می نگریم، این قطعه وظیفه دارد شار تابشی ستاره را دریافت کند و براساس شدت این مقدار تصویری از ستاره و مقدار شار تابیده به ما بدهد. ستارگان در حالت تعادل هیدروستاتیکی مقدار شار تابشی ثابتی از خود گسیل می کنند، پس وقتی یک ستاره را رصد می کنیم باید شار تابشی ثابتی از خود منتشر کند. در صورت کاهش شار تابشی باید به دنبال دلیل کاهش رفت، بالتبع اگر قدر ستاره کمتر و سیاره حول آن بزرگتر باشد ردیابی چنین سیاره ای آسان تر خواهد بود.
ص: 145
4-10 تلسکوپ فضایی کپلر(1)

شکل 10-3: تلسکوپ فضایی کپلر
تلسکوپ فضایی کپلرساخت ناسااست در 6 مارس2009 به فضاباهدف کشف سیارات فراخورشیدیمشابه زمین به فضا پرتاب شده است.کپلر مجهز به یک دوربین دیجیتال با تفکیک 95 مگا پیکسل است. این دوربین به طور منظم به نورسنجی از ستاره های موجود در میدان دید آن می پردازد تا بتواند نشانه هایی از گذر احتمالی سیارات از مقابل ستاره ای مادر خود را تفکیک کند. برای این کار درخشندگی 100٬000 ستاره را در عرض 3/5 سال بررسی می کند تا نشانه ای از کاهش درخشندگی بر اثر گذار سیاره ای بیابد. این ماموریت به نام منجم آلمانی یوهانس کپلرنامگذاری شده است.
در آخرین دستاوردهای سال 2013، ستاره شناسان مأموریت کپلر می گویند سیاره ای همانند زمین موجود است که قابل سکونتمی باشد.
ص: 146
چه سیاراتی ممکن است میزبان حیات باشند؟ این پرسشی است که دانشگران علوم سیاره ای و اختر زیست شناسان به دنبال پاسخی دقیق برای آن هستند. تصور کنونی ما از حیات بیشتر محدود به حیات با پایه ی کربن است که همه گونه حیات زمینی که شامل حیات در محیط های سخت دمایی و اسیدی و غیره می باشد، را در برمی گیرد. اما سوالی که مطرح است که چه سیاراتی میزبان حیات زمین گون هستند؟
برای پاسخ به این سؤال چند ویژگی را برای ستارگان و سیارات میزبان برمی شماریم.
1- احتمال پیدایش حیات در اطراف ستاره های رشته اصلی با دمای بین حدود 4000 تا 7000 بیش از سایر ستارگان است. چنین ستاره هایی اولاً دارای عمر نسبتاً زیادی هستند که برای پیدایش و تکامل حیات لازم است ثانیاً مقدار تابش فرابنفش این ستاره ها در حدی است که برای موجودات زنده تهدیدی محسوب نمی شود.
2- عامل مهم دیگر فاصله مناسب سیاره از ستارۀ مادر است، به اصطلاح سیاره باید روی کمربند حیات باشد نه آنقدر دور باشد تا آب به صورت یخ درآید و نه آنقدر نزدیک باشد که آب به صورت بخار باشد بلکه آب باید به صورت مایعی حلال باشد.
3- سیاره ها برای دارا بودن شرایط مناسب حیات باید به دور ستاره هایی پایدار بگردند یعنی ستاره هایی با کمترین میزان نوسان در مقدار تابش.
4- ستاره های میزبان منظومه های سیاره ای باید از ستاره های نسل چندم
ص: 147
باشند، یعنی ستاره هایی با عناصر سنگین و فلزی زیاد، که امکان تشکیل سیاراتی زمین مانند در اطراف آنها وجود داشته باشد.
5- در نهایت مشخصات خود سیاره نیز در پیدایش حیات بسیار مهم است. جرم و شکل مدار و زاویه انحراف محوری، ترکیبات شیمیائی سطح و جو همه از عوامل مهم در پیدایش حیات هستند.
در 28 فروردین ماه 1393 هجری شمسی، خبری از گروه تحقیقاتی کپلر منتشر شد که یک گروه 23 نفره از سری گروه های تحقیقاتی که بر روی داده های رصدی سفینه کپلر کار می کنند موفق به کشف سیاره ای فراخورشیدی در اطراف ستاره ای موسوم به (کپلرF186) شدند که این سیاره در فاصله 492 سال نوری از ما در صورت فلکی دجاجه قرار گرفته است.

شکل 10-4: سیاره ی فراخورشیدی Kepler- 186F
ستاره این سیاره یک کوتوله سرخ است و به همراه چهار سیاره ی دیگر حول این ستاره در حال گردش می باشد، قطر سیاره
0/14 ± 1/1 برابر بزرگتر از قطر زمین است و فاصله آن از ستاره مادر خود یعنی کپلر 186F به گونه ای است که
ص: 148
شرایط سطحی سیاره از لحاظ دریافت دما و انرژی از ستاره مادرش به زمین شباهت بسیاری دارد. باتوجه به این ویژگیها وجود آب در این سیاره به صورت مایع بسیار محتمل است و ممکن است شرایط مشابه زمین را برای حیات در آن سیاره ایجاد کرده باشد، تا پیش از این کشف تعداد بسیار کمی از سیاره ها با اندازه ای نزدیک به زمین کشف شده بودند و تمامی آن ها هم در فاصله کمی از ستاره ی ما در خود قرار گرفته بودند. این فاصله ی نزدیک باعث می شود تا سطح آن ها بسیار گرم تر از آن باشد که بتواند آن ها را سکونت پذیر کند، اما ده سیاره دیگر مانند (Kepler-22B) یا (Kepler-62F) نیز در کمربند حیات شناسایی شدند( شکل9-5) ولی به علت جرم آنها که بیش از زمین بوده اند تصور می شد که دارای جوی قطوری چون مشتری باشند نه سطحی جامد چون زمین.
با آنکه داده های رصدی ماهواره کپلر چون از طریق گذر نه طیف سنجی به مطالعه فراخورشیدی ها می پردازد لذا تعیین دقیق جرم و ترکیبات سیاره میسور نیست ولی شواهدی از قطر سیاره می تواند این احتمال را که این سیاره زمین مانند باشد نه مشتری گون و دارای ترکیباتی از آهن و نیکل باشد را تقویت می کند.
اما دمای خود سیاره را نیز جو سیاره مشخص می کند که آیا اجازه مایع بودن آب را می دهد یا از عبور اشعه ماوری بنفش جلوگیری می شود یا خیر، هنوز این معماها جای اظهارنظر قاطع دربارۀ سیارۀ Kepler-186F)) را باقی گذاشته است.
ص: 149

شکل 10-5: برخی از سیارات فراخورشیدی
ستاره آلفا قنطورس نزدیک ترین ستاره به خورشید، می باشد که در نیمکره جنوبی عالم قرار گرفته است، این ستاره تا خورشید 4/35سال نوری فاصله دارد جالب است که رده طیفی این ستاره در رده طیفی خورشید می باشد، ستاره شناسان با دقت به این ستاره متوجه شدند که این ستاره یک منظومه ستاره ای سه تایی است که، سه ستاره A، B، Cبه گرد هم در حال گردش هستند. ستاره A در رده طیفی خورشید یعنی G2 و B در رده طیفی k1 کمی کم نورتر از خورشید و C در رده طیفی M5 جزء کوتوله های سرخ محسوب می شود، فاصله دو ستاره A و B از یکدیگر به اندازه 23 واحد نجومی است و هر 80 سال یکبار یک دور مرکز جرمشان می زنند و C در فاصله 13000 واحد نجومی هر یک میلیون سال یک حول مرکز جرمشان دور می زند، C از سایر ستارگان به خورشید نزدیکتر است به این لحاظ به آن پروکسیما قنطورس گویند.
ص: 150

شکل 10-6: ستاره آلفا قنطورس
حال می خواهیم ببینیم با بررسی ستارگان آلفا قنطورس می توان آن را نامزدی برای میزبانی سیاراتی حیاتدار قلمداد کرد یا خیر؟
ستاره A قنطورس ستاره ای است که در رده طیفی G2 قرار دارد پس دمایی متناسب برای حیات دارد همچنین B که در رده طیفی k1 است،جزء ستارگان رشته اصلی محسوب می شوند، که سن مناسب برای میزبانی حیات را شامل می باشند.

می دانیم برای شکل گیری حیات روی زمین 4/5 میلیارد سال زمان لازم است، پس این دو ستاره یعنی A و B دارای این مدت عمر، برای میزبانی حیات هستند طی بررسی های لازم عمر این دو ستاره در حدود 6 میلیارد سال است یعنی یک
ص: 151
میلیارد سال از عمر خورشید بیشتر است. از طرفی این دو ستاره جزء ستارگان پایدار محسوب می شوند که نوسانات نورانی زیادی ندارند پس می توانند پذیرای حیات در سیارات اطراف خود باشند. البته باتوجه به دوتایی بودن دو ستاره A و B باید سیاره به فاصله ای از دو ستاره باشد که، جاذبه های ستاره ها اجازه می دهد تا منجر به متلاشی شدن سیاره نشود (همان گونه که سیاره مشتری، سیارات بین مریخ و مشتری را متلاشی نموده است) با محاسبات مداری، سیاره می تواند وجود داشته باشد و حول دو ستاره گردش کند و اثرات چرخشی و حرارتی ستارگان روی آن تأثیر نگذارد، تعیین شدهاست، ستاره پروکسیما ستاره کم فروغی است، عمر کمتر از یک میلیارد سال دارد، شراره هایی که از آن ساطع می شود نقش یک ستاره متغیر را به وی داده است پس احتمال وجود حیات در اطراف آن کم است البته نمی توان به طور یقین گفت.

ص: 152
همین سرنوشت برای سایر ستارگان کوتوله سرخ هم وجود دارد.ستاره Kepler186Fیک کوتوله سرخ بسیار سردتر از خورشید است. کوتوله های سرخ بسیار کوچک تر، تیره تر و سردتر از ستاره هایی همچون خورشید هستند، به همین دلیل کمربند حیات محدودتری دارند. اما از طرف دیگر طول عمر بیشتری دارند و به سیاره های احتمالی در کمربند حیات خود فرصت می دهند تا شرایط مطلوب برای حیات را فراهم سازند.

شکل 10-7
باتوجه به اهمیت حوزه فراخورشیدی در دهه اخیر بودجه زیادی برای تحقیق و اکتشاف در این بخش در نظر گرفته شده است و تعداد بسیاری از دانشجویان تحصیلات تکمیلی در رشته های اخترفیزیک و علوم سیاره ای جذب این حوزه می شوند. پس از پایان مأموریت فضاپیمای کپلر و گایا در سال 1396 هجری شمسی تلسکوپ فضائی (TESS) و خئوپس (CHEOPS) راه کشفسیاره های فراخورشیدی را ادامه خواهند داد و لشکری از تلسکوپ های زمینی نیز آن ها را همراهی خواهند کرد.
ص: 153


ص: 154
در این فصل دیدگاه متافیزیكی اروین شرودینگر، بنیانگذار علم بیوفیزیک و مکانیک کوانتومی را بررسی می کنیم.اروین شوردینگر با پیش زمینه ای که در زمینه مکاتب شرقی، از جمله عرفان هندی دارد معتقد است كه باید با دیدی کل نگر به سیستم موجود در جهان نگاه کنیم.
شرودینگر می نویسد:
«می خواهیم درباره خدا و درباره جاودان بودن روح صحبت کنیم از نظر تاریخی این فکر که انسان می تواند کل اتم های خود را ،با رعایت قوانین طبیعی تحت کنترل درآورد و ادعا کند که خود جلوه ای از اسامی قادر و توانا خداست، تفکر تازه ای نیست شاید تاریخ آن حداقل به 2500 سال قبل برمی گردد اززمان
ص: 155
نخستین اوپانیشادهای کبیر،پذیرش موجودی حی ودرهمه جاحاضر(BRAHMAN=ATHMAN)،كه جلوه های اسمائش موجودات را در مراتب وجودی مختلف آفریده همان وحدت وجودی است كه در هندوستان به عنوان شناسائی جوهر جهان در نظر گرفته شده است.
تجربه شخصی انسانی که بعد از تفکر و تجربه زیاد بالاخره به این نکته رسیده است، که من جلوه ای از وجود خدا هستم...البته طرز تفکر امروزه غربی با این استدلال و یا این طرز تفکری که اشاره کردم اصلاً تطبیق ندارد، و با وجود اینکه شوپنهاور به همین شکل مطلب را بیان کرد و یا در کتابهای عاشقانه زیادی خوانده ایم که عاشق و معشوق خود را جدا از یکدیگر و بصورت دوگانه نمی دانند بلکه یک واحد ند که در دو نقطه ظاهر شده اند».
مسأله ی وحدت وجود، از مسائل مهم حكمتهای متأخر اسلامی که ریشه در عرفانهای قدیم شرقی دارد، اگر بخواهیم این گفته شرودینگر را شرح دهیم لازم است درباره وحدت وجود، اطلاعاتی داشته باشیم، مسأله وجود از اهم مسائل فلسفی و حكمی محسوب می شود، وجود بدیهی ترین چیزی است که ادراک می شود، و احتیاجی به تعریف ندارد و در مقابل آن عدم قرار دارد، برای شرح وحدت وجود آزمایش کرومانوگرافی را شرح می دهیم.
در آزمایش کروماتوگرافی، خطی را با خودکاری روی کاغذ مخصوص رسم می کنیم سپس کاغذ را در آب قرار می دهیم بعد از مدتی مشاهده می شود که
ص: 156
جوهر در سطح کاغذ منتشر شده و به سمت بالا صعود می کند، هر قدر از خط کشیده شده دور شویم، جوهر رنگی کم رنگ تر می شود.

شکل 11-1
با تأملی در این آزمایش درمی یابیم:
اولاً مشخص هست که کل رنگی که بر روی کاغذ منتشر شده از یک مرکب است اما در مراتب رنگی مختلف، هر مرتبه رنگی وابسته به مرحله قبلی است، اگر یک مرحله از بین برود سایر مراتب وابسته به آن هم از بین می رود پس، یک وحدت وجود جوهری را شما در این آزمایش می بیند حال اگر بخواهیم وحدت وجود را در عالم توضیح دهیم شما همین کاغذ را بردارید و برعکس کنید مراتب وجودی از بالا به پائین قرار گیرد و به جای جوهر بگوئیم وجود، در رأس همه وجود مطلق قرار دارد، واجب الوجود یا به تعبیری نورالانوار و همین طور که از این وجود مطلق فاصله و بُعد پیدا می شود، وجود کم شده تا مراحل بعیدتر ادامه پیدا می کند، تا به مرحله ای می رسد که وجود بسیار ضعیف تجلی می کند در مکتب عرفانی نشأت گرفتن مراتب وجودی از واجب الوجود را قوس نزولی یا «انالله»
ص: 157
می گویند. در فلسفه، حکمت و عرفان اثبات می شود که موجوداتی نظیر انسان از مراتب پائین وجود سیری صعودی به سوی وجود مطلق دارند «وانا الیه راجعون» که این حرکت حُبی در نهاد عالم وجود دارد و در حکمت متعالیه با عنوان حرکت جوهری تعبیر می شود که در این مراتب وجود می توان همه موجودات در تمام مراتب وجودی از جمادات و نباتات تا حیوانات و انسان را مشاهده کرد، که شرودینگر اشاره به این مفهوم دارد، در این نگرش وجود یکتاست که در مراتب مختلف تجلی پیدا کرده است، و هیچ چیز غیر از وجود نیست، موجودات تحلیاتی از آن هستند در مراتب مختلف وجودی، همه چیز از اوست و همه چیز به سوی او باز می گردد.
و هر مرتبه باتوجه به بهره ای که از وجود دارد ادراک دارد و به همان میزان توانا و قادر است و هر قدر بهره از وجود بیشتر شود به همان میزان ادراک بیشتر و علیم تر و بصیرتر می شود.
می نویسد:
«چگونه است که تصور جمع و افکار جمعی در بشر پیدا شده است،... تصور منفرد و مفردی که شخص غیر از آن نمی تواند آگاهی داشته باشد و متکی به آن است هر شخص می تواند منفرد بودن خود را در محدود بودن بدن خود ببیند... البته آنچه واقعیت دارد آگاهی وتعریف خرد مطابق با آن می باشد، حالا جمعی بودن تفکر یک نتیجه گیری غیره منتظره به نظر می رسد البته اکنون تمام نوابغ، نویسندگان و فلاسفه غرب این را پذیرفته اند که ایجاد آگاهی جمعی بلافاصله ما
ص: 158
را به پذیرش روح راهنمائی می کند اگر ما تصور بکنیم که آگاهی جمعی وجود دارد نمی توانیم آگاهی جمعی را وابسته به افرادی بکنیم که بستگی به عمر محدود خود دارند، بنابراین ناچاریم چیزی را جدا از بدنها تصور بکنیم که جاودانی باشد،... بنابراین آنچه که ناچاریم به سوی آن برویم تصور دیگری است که از آگاهی جمعی حاصل شده و ما را به سوی قبول روح می برد...
آگاهی با شرایط جدید و با تغییر شرایط با آنچه که احتیاج به آموزش و تمرین و تطبیق با محیط داردبه وجود می آید. هر حادثه ای که به احساس درک و یا حتی عمل ما مربوط می شود در صورتی که به صورت عادت درآید از حیطه آگاهی خارج می شود و آنها را با تفکر انجام نمی دهیم این چنین آمادگی ها، عادات و کسب مهارت ها بتدریج روی هم جمع می شوند و تعداد آنها به حد خیلی زیادی می رسد و فقط آنچه که در آگاهی ما وجود دارد تازه ترین و اخیرترین آنهاست، و گذشته آن بطور کامل از آگاهی خارج می شود و آن چیزی در حد نزدیک به آگاهی می ماند که هنوز ما در مرحله یادگیری آن هستیم. به شکل استعاره شاید بتوان گفت که وجود آگاهی معلمی است برای اعمال عادی موجودات زنده یعنی اینکه در زمان آگاهی، موجودات زنده چیزی را یاد می گیرند و بعد از اینکه آن را یاد گرفتند آگاهی از آن سلب شده و خود باید آن کار را بدون کمک آگاهی انجام دهد.در مورد مهره داران این واقعیت و پدیده در سیستم های عصبی ظهور کرده است بنابراین آنچه که با عمل کردن و یا تجربیات تازه سر و کار داشته باشد
ص: 159
آگاهی انگیز است، سیستم های عصبی ما همان چیزی است که با آموزش و با تغییرات روبروست و باید تغییرات را پیاده کند.
شرودینگر در ادامه مباحث خود از اخلاق صحبت می کند وی بیان می کند که اخلاقیات تمام چیزهائی است که با جمله" تو باید شروع می شود" و این جمله ایست که در مقابل خواست ابتدائی شخص قرار دارد بنابراین باید تضاد و مقابله ای بین «من می خواهم» و «تو باید» وجود داشته باشد، بنابراین مطلب عمده در اخلاق همین است که من باید اشتهای ابتدائی خودم را از بین ببرم. از آن چیزی که واقعاً هستم جدا شوم، متفاوت شوم.
البته در زمان ما شاید بینش از هر زمان دیگری این مطلب عنوان شده است که این اخلاقیات را کنار بگذاریم و نوع دیگری تصور کنیم که بگوئیم من همانم که هستم و به خواسته های خودم ارزش بدهم بگذارم همان طور که طبیعت خواسته است رشد کنم تمام آن چیزی که برخلاف خواست طبیعی من است کنار برود.و بگویم آنچه که خواسته من نیست و خواسته دین است کنار بگذارم و بگویم خدای من طبیعت است. طبیعت این اعتبار را به من داده است که بتوانم آنچه را که هستم باشم. این گفته ها بیشتر خریدار دارد...
ولی خوشبختانه مطالعات علمی در زمینه های مختلف بیانات فوق را رد می کند نشان می دهد ما باید فردی متفاوت با آنچه که هستیم، شویم.
زندگی آگاهانه ما عملاً با آنچه از ابتدا به صورت ابتدائی خود می شناسیم در جنگ است.
شرودینگر ادامه می دهد: «آنچه که ما هستیم ادامه موجودیت و خواسته های نسل های قبل ماست ولی آنچه که باید باشیم تکاملی است که به سوی آن
ص: 160
دوانیم... خط تکاملی که بسط انسان را پیش می برد و هر یک از ما در خط مقدم این حرکت قرار داریم».
با کمی تامل به شکل گیری تکامل از ابتدا تاکنون پی به وجود عظمت آن می برید. این عظمت در اثر همین تغییرات روز بروز حاصل شده است.وسایل این تغییر و تبدیل حرکتها و جهش های آگاهانه و با تصمیم و اراده نگهداری شده و برای نسلهای بعدی آماده شده است. بنابراین در هر نقطه و در هر روز ما حرکتی هست و جهتی هست و تغییری است که باید آن را یاد گرفته بر آن تسلط پیدا کنیم و جایگزین چیزی از گذشته کنیم.
در این تحولات ما خود قلم مجسمه ساز و خود مجسمه بوده ایم و با هر حرکتی تغییری در جهت رسیدن به انسان کامل انجام می دهیم.
شرودینگر این سؤال را مطرح می کند، "اینکه تصور کنیم تکامل در حیطه آگاهی است آیا مسأله ای بیهوده نیست؟ و به جا نیست بگوئیم که این تکامل بدون آگاهی ما و همین طور کورکورانه پیش می رود؟ نه،پاسخ من در این مورد کاملاً منفی است باتوجه به آنچه در قبل گفتیم نمی تواند این چنین باشد، ما آگاهی را در مواردی که با تغییرات و اصلاحاتی که در مقابله با طبیعت لازم است مواجه هستیم ما چیزهائی را در آگاهی و آگاهانه انجام می دهیم که در مرحله یادگیری آن و در اولین برخورد با آن هستیم بعداً در اثر تکرار زیاد و بعد از آنکه خوب آموزش یافتیم آن را به صورت ناآگاه عمل می کنیم و به آن صورت در شرایط ارثی قرار می گیرد. بطور خلاصه آگاهی پدیده ایست که یا تکامل ارتباط نزدیک دارد. دنیا در آن زمان در آگاهی ما قرار می گیرد که تکامل و اصلاح در آن است.
ص: 161
... زنان و مردانی که به سطح بالائی از آگاهی دست یافته اند و دنیا را با روشنی بیشتری دیده اند آنهایی هستند که با دنیا و با محیط خود و جامعه خود در تقابل قرار داشته و خود را با آن هماهنگ نیافته اند... به نظر من اخلاق درس ساده ایست و با جمله «خودخواه نباشید. شروع می شود... آغاز حرکت از یک موجود خودبین و خودخواه شروع می شود و به یک انسان کامل ختم می شود.»
اروین شرودینگر در جای جای سخنرانیها و مقالات خود از اندیشه های بزرگمردی به نام کارل گوستاو یونگ(1)
نام می برد و استدلالات خود را براساس مبانی فکری وی انجام داد. در ادامه برای دست یابی به عمق اندیشه های شرودینگر، به بررسی مبانی فکری یونگ را می پردازیم.
کارل گوستاو یونگ یک روان شناس سویسی بود که بعد از جدا شدن از زیگموند فروید(2)
به دلایلی که ذکر خواهیم کرد مکتب روان شناسی تحلیلی را بیان نهاده تا آن را از روانکاوی متمایز سازد و ادعا کرد که این روش شیوه ای است که می تواند تمام کوشش های روانشناسی همچون روانکاوی فروید را در برگیرد.
یونگ به تدریج پیروان بسیاری در اطراف خود یافت، از بیماران تادرمانگران او را محبوب خود دانستند. و بسیاری هم با روش وی آشنا شدند، وسپس آن را بكار بردند.
یونگ برعکس روان شناسان گذشته، بدنبال روشی نو برای درمان بیماران خود
ص: 162
بود. او بسیار فراتراز درمان پیش رفت و در آثار او مفاهیم اساسی درباره زندگی بشر توضیح داده شده است، که بسیار فراتر از روان درمانی است و به عنوان یك مکتب روان شناسی در تاریخ علم محسوب می شود.
از آن جایی كه یونگ یک فیلسوف و عارف و روان شناس بزرگی شناخته می شود، پلی بین علوم غربی که همچنان سردرگم ناشناخته های خود بود وروشی ریاضی ومنطقی داشت وعلوم در سرزمین های شرق که شامل آگاهی بصورت عرفانی و بصیرت درونی بوده است به شمار می رود. نظام درمانی او چنان شهرت یافته است، كه بالاتر از هرمكتب درونگرا وبرونگرای به صورت روزمره بین روانشناسان به کار می رود.او موضوع روان شناسی را فقط مختص شناخت روان نمی داند بلکه در بسیاری از موارد دیده می شود که مفاهیم اساسی که او به کار می برد ریشه در شناخت دیگر مسائل دارد وبازه نظرات او از حوزه های علمی و روان شناسی تا علوم غریبه و عرفان و اسطوره شناسی را در برمی گیرد.
یونگ در نگاه شخصیت شناسی ،شخصیت پیچیده ای داشت . درنگرش علمیش گاهی حتی به نظریات خود هم شک می كند وبرای آن بنیانی دوباره می ساخت
وی در حیات علمی خودبارها وبارها بابحران های فراوانی روبرو شد که همین بحرانها وی را به شناخت نفس خود سوق می داد و همین یافته ها داده های پر ارزشی را برای روانشناسان به ارمغان آورد كه در آن سر نخ هایی از وحدت وجود و یگانگی با جهان به چشم می خورد .
یونگ در اواخر قرن 19متولد شددر این دوران جهان غرب به سرعت در حال تغییر بود روانشناسان و فلاسفه ای چون زیگموند فروید فلسفه ای را برمبنای
ص: 163
ضمیر ناخودآگاه و ریشه یابی اعمال انسان و نقش سرکوب کردن امیال انسان در آن پدید می آوردند
در سوی دیگرنظریه شبه علمی تکاملی چارلز داروین تفکر مسیحیان را به چالش می كشید و وكشیشان را در موقعیتی انفعالی قرار داده بود كه مبادا گفته ای از آنها با انجیل مقدس تحریف یافته توسط كاهنان مغایرت داشته باشد ساختار جامعه در حال تغییر بود مردم در جستجوی واقعیت به تكاپو افتاده بودند ودر این میان زمزمه های علمی موسوم به روان شناسی
شنیده می شد كه پایه هایی در قرن 18 میلادی داشت.
یونگ انسانی با تضادهای بیشمار در درون خود و علاقه مند به حوزه های مختلف در معارف بود به طوریكه حتی خود نیز اعتراف کرده است از ویژگیهای آثارش از شاخه ای به شاخه ی دیگر پریدن است
او شیفته مباحث دین و عرفان و روح، افسانه هاو اسطوره های باستانی، پزشکی و روانشناسی بود که همه آنها را با علاقه مندی پی گیری می کرد و نوشته های اودرخصوص هركدام از آنها نشان ازتسلط زیاد و اوج توانایی شگرف اودر تحلیل مسائل داشت و جای شگفتی نیست که اندیشه یونگ در جوامعی مورد توجه و پذیرش قرار گیرد که تمایل بسیار به خواسته های معنوی و خرد گریزی پست دارند و علم و منطق را تنها، پاسخ گوی خواسته های درونی انسان نمی دانند.فروید نتوانست پاسخی در خور شانیت انسان به مسائل روانی وی دهد ولی یونگ پاسخ قانع کننده ای به نیازهای روانی و قلبی بشرداد .
مكتب یونگ كه در آن آگاهی انسان از خود به عنوان واقع بینانه ترین امرو گزینش آگاهانه مسیرهای متفاوت توسط انسان مطرح می شود از نظر غرب
ص: 164
ازجمله خردمندانه ترین اصول برای شناخت ارزشها معنوی بشری محسوب می شود.
یونگ به حوزه هنر و ادبیات اهمیت ویژه ای می داد وهمین امر منجربدان شد كه مباحث ژرف وعمیق خود را از حالت علمی صرف وآکادمیک و خشک درآورده وبا واژه های آهنگین و مفاهیم ساده و دلپذیر بیان كند.
چنان که حتی در کشور خودمان هم شاهد آن هستیم كه كتابهای او شوق مخاطبین را به خروش میآورد تا با نگاهی کنجکاو به دونبال نظریات جدید و جذاب و در عین حال عمیق یونگ باشند و با شوق آنها را پی گیری کنند.
یونگ دركاووشهایش از سنت های روحانی و عرفانی نیزبهره كامل برد .ودر عین حال فرهنگ غرب را نیزرد نمی کرد بلکه او به دنبال حقیقت جامع وکلی بود كه این دو مكتب را در خود داشته باشد
یونگ سنبل ها ونشانه های فراوانی را در فلسفه ها و ادیان شرقی یافت که بارؤیاها و کشف های او هم خوانی وصف ناپذیری داشت و این برای او فوق العاده شگفت انگیز بود او شیفته ی مكتبی بود که در این مكتب نقاط مشترك فرهنگ هاو تمدنها و داستانها وافسانه هایشان مورد توجه قرار می گرفت از نظر او این مكتب انعکاسی از معرفت مشترک درونی همه آنها بود.
و چون اقیانوسی وسیع و عمیق همه انسانها را به هم پیوند می زد. و همین معنا او را به اندیشه ی ناخودآگاه جمعی کشاند که یکی از مواضع افکار و عمیق ترین بحث فکری یونگ را تشکیل می دهد. این اندیشه ها تاحدودی از بحث و تبادل نظر با فروید نشأت می گرفت که استاد و به اصلاح خودش پدر او بود واین ارتباط . تا زمانی که اختلافات حل نشدنی در تفکراتشان آن ها را از هم دور کرد
ص: 165
ادامه داشت. فروید می گفت جریان رشد و تکامل انعکاسی است از کل تاریخ بشر، هر فرد تاریخ خاص زندگی خودش را دارد که ضمن رویاها و تحلیل روانیش آشکار می شود اما درعین انفصال،اتصالات واشتراكاتی هم بین انسانها وجود دارد ونه تنها بین انسانهای عصر ما حتی به انسانهای اعصار گذشته، تصویری مشترک و بزرگ كه در همه ما جلوه گر است که تمام روابط آموخته زندگی را شامل می شود
براساس دیدگاه یونگ خودآگاهی كه از جمله شروط انسانیت محسوب می شود به مثابه قله ی كوه یخی است كه از زیر دریا بیرون زده است پس برای آگاهی سطح بسیار بزرگتری پنهان وجود دارد که خاطرات، احساسات و رفتارهای فردی فراموش نشده یا سرکوب شده را در بر می گیرد .
یونگ آن را ناخودآگاه فردی نامید كه در زیر دریایی ژرف وبزرگ وكهن از تصاویر و رفتارهای انسان در طول تاریخ قرار دارد كه بارها و بارها تکرار شده اند .دریایی كه تنها بازه حیات انسان هارا در برنمی گیرد بلکه شامل تاریخ همه حیات در هستی می گردد همان طور که یونگ می گوید: هر چقدربیشتر وارد ماجرا بشوی دیدتان گسترده تر می شود
یونگ اصطلاح الگوی كهن را به كار می برد، الگویی فاقد شکل که نه تنها زیر بنای رفتارهای غریزی بلكه زیر بنای تصاویر بدوی را نیز شامل می شود. مثلاً در مورد تعریف پدر یک الگوی کهن پدری وجود دارد، هر چه قدر كه بیشتر به عمق این تعریف می رویم تصاویر و رفتارهایی می یابیم که کم تر شخصی هستند.
ص: 166
یونگ کشفی بزرگ داشت او می گفت خودآگاه می توانند وارد ناخودآگاه بشوند، به عبارت دیگر ناخودآگاه فوق العاده أسرارآمیز بوده و مملوّ از اندیشه های و رویدادهای آینده و همچنین گذشته اند، نه تنها در گذشته و آینده سیر می کند بلکه می تواند از حدود فردی بگذرد و به جهان ناخودآگاه جمعی برسد، ناخودآگاه جمعی متفاوت از ناخودآگاه فردی است همان گونه که خصایص فیزیولوژیک به ما ارث می رسد ناخودآگاه جمعی نیز به ما ارث می رساند.
الگوهای باستانی
کلمه ar cheteype یک کلمه یونانی است که arche آن به معنای اول و type آن به معنی نقش، نوع و یا الگو است الگوهای باستای چون ذخائری از تجارب تلقی می شوند که بارها در تاریخ بشریت تکرار شده وباز هم تكرار می شوند
این الگوها در تمام انسان ها از اول تولد موجودند و به صورت نیرویی در سطح عمیق ناخودآگاهی قرار دارند که با روح در ارتباط اند این الگوها از لحاظ درونی در رؤیا و تخیلاتش و از لحاظ بیرونی در افسانه ها، تعالیم دینی ظاهر می شوند.
یک الگو به شیوه های گوناگون تجربه می شود، در یک مجله یونگ برای بهتر توضیح دادن چگونگی عمل الگوهای باستانی مثالی قابل مشاهده از گردش روزانه خورشید را درپهنه آسمان می آورد.این مفهوم افسانه ای که خورشید را الهه ای در آسمان می داند به یاد می آورد. که دراین افسانه الهه خورشید در دوره ای بی پایان زنده می شود و می میرد. گونه هایی ازین مطالب درپاره ای از ادیان غیر توحیدی هم به چشم می خورد
به همین ترتیب جریانی طبیعی و جسمانی سبب ایجاد تخیّل ذهن می شود
ص: 167
که در افسانه ای تلفیق می شود که در سطح جهانی قابل شناخت هستند.
یونگ می گوید الگوهای باستانی كه غلبا مذهبی هستند همراه با فضایی روحانی در رویاها و تخیلات ما ظاهر می شوند و ما را وادار به رفتارهایی می نماییند تا جریان اصلی را احیا نمایند.
الگوهای باستانی تصاویر و یا الگوهایی هستند که وجود جسمانی ندارندو در جهان مادی نمودار نیستند اما یونگ تأکید می کنید که این بدان معنی نیست که آنها واقعیت ندارند.
از طرفی هم می گوید: اینکه آیا الگوهایی باستانی از جایی منشاء گرفته اند؟ مسأله ای ماورالطبیعه است و پاسخی طبیعی ندارد .
افراد تصاویر باستانی ضمائر را به گونه های مختلف و مطابق با فرهنگ خود بروز می دهند اما خود الگوهای باستانی ثابت می مانند. یعنی یك ایده كلی در پیش زمینه ضمیر ناخودآگاه هر فردی قرار دارد كه آن را مطابق معتقدات ،آیین و آداب وسنن خود به صورت داستانهایی یا مراسمهایی نمودار كرده وبه آن هویت می بخشد.یونگ می گوید برای درک محتواهای سطوح عمیق روان نیازمند افسانه پردازی هستیم چون که تمامی افسانه ها به نوعی انعکاسی از ناخودآگاه جمعی هستند او مثالی از شیوه تصور صورت های فلکی در آسمان شب توسط ملل مختلف را عنوان می كند كه چگونه به شکل قهرمان های افسانه ای بااهمیت و موثر در آسمان نامگذاری شده اند
غرایز، جوشش ها یا اعمال ناخودآگاه می باشند كه به مثابه الگوهای باستانی ارثی و جمعی عمل می كنند و ما را وادار می کنند عملی را به شیوه ای معین انجام
ص: 168
دهیم که مبنایی زیستی دارند الگوهای باستانی در شیوه ی فهم و درک ما از جهان مؤثرند .
برای مثال، پروانه ی یوکا را ذکر می کند که رابطه ای انگلی با گیاهی به نام یوكا دارد اگر بتوانیم روان این پروانه را بررسی بکنیم الگوهایی از اندیشه ها می یابیم که آن را به جستجوی و شناخت یک گیاه یوکا رهنمون می کند.
یونگ اعتقاد دارد كه تصور تمدن ،ما را وادار ساخته از غرایزاساسی مان جدا بشویم اما این غرایز کاملاً ناپدید نشده است.
یونگ می گوید ناخودآگاه تحت سلطه 2 غریزه است:
1- جنسی و 2 - میل به قدرت
این دو کشش اساسی با هم همراه می شوند، میل جنسی در جهت بقا و حفظ زیست و حیات است درحالیکه که میل به قدرت با حفظ سلامتی فرد سر و کار دارد.ناخودآگاه جمعی غرایز و صور مثالی مجموعاً ناخودآگاه جمعی را به وجود می آورند از آن جهت خرد جمعی نامیده می شود که برخلاف ناخودآگاه شخصی، از محتویات فردی و کمابیش منحصر به فرد تشکیل نشده است بلکه از محتویات ساخته شده که همگانی است. و مرتباً ظهور می کند و در غرایز و خواب و رویاهای ما انسانها نمود پیدا می کنند.
یونگ می گوید ناخودآگاه جمعی، روانی را متجلّی می کند که برخلاف پدیده های روانی قابل مشاهده مستقیم نیست وبه علّت همین خصلت من آن را pschioid می خوانم.
یونگ می گوید:" ضمیر ناخودآگاه جمعی نتیجه رسوبات تجربیات قرون و
ص: 169
اعصار گذشته ی بشری است و در عین حال پیش شرط این تجربیات با تصویر پیش ساخته دنیا به شمار می رود.
در بطن این تصویر پیش ساخته برخی از خصوصیات برجستگی خاصی پیدا کرده است این خصوصیات همان هایی هستند که من آنها را خصوصیات بارز یا غالب ضمیر ناخودآگاه یا نمونه های دیرینه یا صورت های مثالی می خوانم."
از بیانات بالا معلوم است که یونگ معتقد است که صورت های مثالی یا الگوهای دیرینه او همان است که پیش ازاین به نوعی در آثار افلاطون ،اکوسستین مقدس و یا سهروردی در عرفان اشراق بیان شده است.ساختار عقلانی و اثباتی این نظریه با افكار فروید پدیدآمد وبا نظریه ناخودآگاه یونگ کامل شد و راه گشای كار روان شناسان به سوی بازگشایی افق های تازه در خدمت به علم روانشناسی شد.
بر مبنای این اندیشه اگر بخواهیم ناخودآگاه را تعریف بکنیم باید بگوییم اصلی ترین عنصر حیاتی آن بر گرفته از آثارسرکوبهای روانی است.
بر طبق نظریه روان شناسان ناخودآگاه ما سرشار از عناصر سرکوب شده روانی که به دلیل سرکوب شدن پس زده شده و از سطوح خودآگاه به درون سطحی نامحسوس به نام ناخودآگاه رسوب كرده است و علی رغم تصورما كه آنها را نابود شده می پنداریم، آنها درون ناخودآگاه ما به حیات خود ادامه می دهند و با ظرافت و روشی نامحسوس عملکرد ما را دستخوش دگرگونی می کنند.
ناخودآگاه جمعی مخزنی است که الگوهای كهن در آن جای گرفته اند الگوهای كهن به معنای مدل و نمونه اصلی و اولیه است که طراحها و دیگر چیزها از آن سرمشق گرفته اند برخی کهن الگوها جهانی هستند ولی یکسانند یعنی تمامی
ص: 170
افراد تصاویر و تجسمات یگانه ای را به ارث می برند.
مثلاً سؤالاتی ازین نوع که چرا یک کشور عاطفی ترند،چرا یك كشور بی نظم هستندوچرا كشوری مردمش نظام مندند، چرا برخی بهتر صحبت می کنند و... این سوالات جوابشان این جاست.
که برخی الگوهای كهن در حالت دادن به شخصیت و رفتارها از چنان اهمیتی برخوردار است که یونگ باتوجه ویژه ای به آن پرداخته و درواقع کلیه واژه های درک و فهم مفاهیم روان شناسی هستند.
وجود تصاویر ذهنی مشابه با اتفاقی اندک در فرهنگ های سرزمین های دور، باعث تعجب یونگ بود.
این صُور در ناخودآگاه به صورت دست نخورده باقی مانده و منتظر شرایط جلوه گر شدن خود می باشد.
اعتقاد به ناخودآگاه جمعی یکی از فصول اختلاف یونگ و فروید است. به نظر یونگ ضمیر ناخودآگاه فردی جایگاه خاطرات فرد تا قدیمی ترین مضامین دوران کودکی است و لایه جمعی ناخودآگاه شامل خاطرات اجدادی پیش از تولد کودک است.
لورین آسلی معتقد است که مغز انسان حاوی فسیل خاطرات دیرین اوست. همان گونه که لایه های زمین حاوی فسیل دایناسورها می باشد .تکامل دانش ژنتیک مولکولی در زمان یونگ به پیشرفت های بسیاری دست یافت هر چند که یونگ مستقیماً نتوانست از این علوم برایتدوین شکل و محتوای ناخودآگاه جمعی خود چندان بهره ای برد اما مک لین و ویلییون در این مورد دست به تحقیقات عمده زدند.
ص: 171
روح در نظر یونگ
از نظر یونگ روح انسان به هیچ وجه خارج از طبیعت انسان ویا به عبارتی بدن نیست می توان گفت که تقریباً در تمامی اندامها ومادیات اطراف انسان به گونه ای موثر است به همان اندازه که امراض جسمانی ویا مادیات در ایجاد بسیاری از اختلالات روانی دخالت دارند.
روح حاوی اطلاعات وزنجیره ای از تصاویر،مثالها، ونقشه ها درعمیق ترین مفهوم آن می باشد،وبه عبارت دیگر نرم افزار، رفتاری یك انسان برای بقا وزندگی كه در فطرت وی نهاده شده است.
روح، ما حصل یك فرایند تصادفی نیست بلكه ساختاری منطقی و هدایت شده ای دارد .نرم افزاریست از پیش طراحی شده ، كه منشها وروشهای زندگی در آن به ودیعت گذاشته شده است و همان گونه که سخت افزار یك رایانه نیاز به نرم افزار دارد تا شروع به كاركردن كند ، نرم افزار نیز به سخت افزار نیازمند است تا به نقشه هایی که در آن به ودیعت گذاشته شده به گونه ای جان ببخشد.با اینکه مادی گرایان در تشریح هویت روح می کوشند تا آن را ناشی از فرآیند فیزیکی و شیمیایی فرض کنند اما ثابت شده است که روح فرآیند های فیزیکی را به جهتی هدایت می كند و این جهت ها از پیش طراحی شده اند.
محدود کردن انسان به جهان مادی یعنی پرداختن به بخشی از مجموع زندگی انسان و محروم شدن از بخشی که اداره تمامی نیروهای انسان ها را در راستای بهترین شدن و بدترین شدن در دست دارند.
نظیر اینكه ما در بررسی علم رایانه به سخت افزار فقط بپردازیم واز جنبه نرم افزاری آن غافل باشیم ، همان طور كه مشخص است سخت افزار یك رایانه
ص: 172
مكانیزم خود را دارد و طوری طراحی شده كه بتواند برنامه های نرم افزار را كه توسط یك برنامه نویس ماهر نگاشته شده اجرا كند . در این تمثیل بدن انسان چون سخت افزار و روح به مثابه نرم افزار است.
از لحاظ ساختاری منفصل اما از لحاظ كاركرد با ید متصل باشند
وقتی کودکی به دنیا می آید روح با اطلاعات به ودیعت گذاشته شده در آن وخرد جمعی به ارث مانده ازدوران،به عنوان یك نرم افزار، مسیرهای تعیین شده ای را برای هر فعالیت بدنی كودك پیش می گیرند و یا به اصطلاح سخت افزار وی را تحت كنترل می گیرد.
خداباوری در اندیشه یونگ
خدا در اندیشه یونگ
از نظر یونگ خداوندوجودیست که در روح آدمی خود را نشان می دهد و وجودی نیست که بخواهیم دردوردست ها بدنبال آن بگردیم و یا هم چون آراء و نظراتی نظیر جودی و یا افلاطون او را در پس پرده ها بدانیم كه برای رسیدن به او باید حجابها ی ظلمانی را کنار زد .
ازنظر یونگ تصویر خدا مجموعه ای پیچیده ای از حسی است که درسرشت الگوی كهن یا فطرت انسان به ودیعت گذاشته شده است
یکی از بنیادی ترین مفاهیم در نزد بشر از گذشته تا به امروزه مفهوم خداست همان طور که درواقع أساسی ترین ویژگی هر یک از ادیان را باید در کیفیت و درک مفهوم خدا دنبال کرد.
انسان از ابتدای آفرینش تا به امروز، همواره از حس یک نیروی برترو مسلط
ص: 173
بر زندگی خود آگاه بوده و در هر دوره ای آن را با نامی خوانده است.
اما هنوز با وجود بدیهی بودن این مفهوم از ماهیت چیستی این نیروی برتر یا خدا ناتوان مانده و این را همچون سوالی موروثی بی پاسخ درسراسر تاریخ با خود به همراه داشته است.
خدا و ضرورت شناخت او
درعلم روان شناسی خدا، مفهومی است که قطعاً باید آن را شناخت درست مثل این که مفهومی همچون غریزه مادر و غیره كه از موضوعات علم روانشناسی محسوب می شود و باید شناخت.
وقتی کسی ازاوصاف خدا سخن می گوید از خدا سخن می گوید و توجیهات خدا شناسانه ارائه می دهد.
روان شناسی به عنوان یک علم نمی توان ذات خدا را شناسایی كند. به همین طریق از غریزه سخن می گوید اما واقعاً نمی توان بگوید که غریزه چیست عامل روان شناختی که در این جا بدان اشاره شده بر کسی پوشیده نیست به همین اندازه نیز کسی نمی داند که این عامل فی نفسه چیست به همین نحو آشکار است که تصویر خدا به مجموعه ای پیچیده از حقایق روان شناختی مربوط است و بنابراین ممکن است که می توانیم به کمک آن دست به عمل بزنیم اما این که ذات خدا چیست مسأله ای است که روان شناسی با آن نمی تواند پاسخ بدهند.
مانند اینكه یك رایانه حس خودشناسی داشته باشد واز مجموعه سخت افزار ها ونرم افزار های نوشته شده برای خودش بخواهد به دنبال سازنده خود بگردد و یا آن را حس كند بدیهی است كه خالق این سخت افزار ونویسنده این نرم افزار
ص: 174
وجودی است كه می توان به ویژگیهای وی پی برد و بدیهی است كه شناخت ذات یك انسان خلاق برای رایانه مقدور نیست ودر حوزه دریافتهای او قرار نمی گیرد.
بنابراین مقصود اصلی یونگ از مفهوم خدا آن است خداوند یک حس فطری است است در این دیدگاه صفاتی خاص برای خدا قائل می شود صفاتی که برایندی ازویژگی های همه فطرتهاست . تجلی خداوند درانسان،تجلی به عمیق ترین سطح ذهن ناخودآگاه یعنی ناخودآگاه جمعی است با وجود این ما ازین ادعا که خداوند یک کهن الگو ومساله ای فطری است می توانیم مسائل مهم دیگری را استنتاج کنیم. که آن هم در میان سایر کهن الگوها وفطرتها ی سایر انسانها مشترک است حس خداجویی درهمه انسانها یکسان و مشترک بوده اما ظهور آن در سنت ها و زمان های گوناگون متفاوت بوده است و به صورت زئوس، یهوه، برهمن، تائو، کرپشنا و... تجلی كرده است.
یونگ اوصاف خدا را هم کهن الگو وفطری می داند فطری بودن صفات خدا مساله ای بسیار مهم است. چون احساس این مساله فطری و کهن الگو دراعماق وجود انسان حالات اهتزازات روحی و حالاتی قدسی و نورانیه بوجود میآورد. گاه در بالاترین درجه باید آن را در شمار تجربه های دینی محسوب کرد.
خدا اصطلاحی است برگرفته از ادیان ابراهیمی وبنا به آموزه های آنها انسان خلیفه خداست واسما وصفات الهی در روح انسان نقش بسته است حس خداجویی پاسخ به عملکردی روان شناختی و مطلقاً امری ضروری است.
به بیان یونگ تنها به واسطه روح است که می توانیم خدا را حس كنیمخدا در ناخودآگاه کهن الگوی یا فطرت حضور دارد ودر موارد مختلفی تجلی می كند .
ص: 175
اگر كسی بگوید صفاتی که ما از خدا در ذهن خود مجسم می کنید چیزی جز تصور ووهم ما نیست.
ما می گوییم این ایراد به کلی باتجربه و مشاهده ما منافات دارد زیرا تجربه بدون کم ترین شکی نشان می دهد که این تصاویر دارای صفت نورانیت و وحدانیت می باشندكه با ذهنیات وتصورات یك انسان نمی خواند از طرفی در همه انسانها اشتراك دارد.
این تصاویر نورانی و مقدس ، به گونه ای است که انسان نه تنها احساس می کند که آنها اشاره به وجود پاك ومطلقی می نمایند بلکه متقاعد می شود که این صفات عین آن حقیقت نیز می باشند وبه عبارت دیگر صفات الهی عین ذات مقدس او هستند
ازین جهت بحث در اطراف این موضوع بی اندازه دشوار بلکه غیرممکن می باشد
انسان فی الواقع نمی تواندکیفیت و حقیقت خدا را برای خود مجسم سازد مگر با استفاده از تصاویری که در ضمیرش خود به خود بروز کرده یا از راه سنت پذیرفته شده اند. کسانی که خدارا باشعوری عادی و ساده لوحانه پذیرفته اند نتوانسته اند ماهیت آن تصاویرذهنی را از پایه و اساس فوق طبیعی و شناخت ناپذیر خدا جدا کنند پس برای خداماهیتی قائل شدند.
بنا بر تفسیر یونگ از کهن الگوی خداوند، می توان نتیجه گرفت که هر انسانی، در هر نقطه ای از جهان در هر مقطعی از زمان و با پس زمینه هر نژاد و فرهنگ در ناخودآگاه جمعی خویش این کهن الگو را- البته با تعبیرهای مختلف و گوناگون - در ذهنیت خویش دارا است
ص: 176
البته می دانیم افراد بسیاری هستند که نه تنها به هیچ مذهبی پایبند نیستند بلکه موجودیت او را منکر می شوند. اما با مدنظر قرار دادن نظریه های یونگ می توان با اطمینان گفت که این مسئله در تضاد باغریزه بشری است زیرا بی شک تمام انسان ها تصویر کهن الگویی خدا را مثل سایر کهن الگو- را از آغاز تولد در ناخودآگاهی خویش حمل می کنند به سخن دیگر اعتقاد به خداوند امری غریزی در انسان است هر چند افرادی آگاهانه یا ناآگاهانه ملحد باشند و یا بگویند که این مسأله برایشان کاملاً بی اهمیت است و ارزش تفکر و استدلال ندارد.
با این توضیحات یونگ علم روان شناسی را قدمی دیگر به مسائل مذهبی و دینی نزدیک تر می کند
پس هر انسانی بالقوه به خداوند اعتقاد دارد حالااگر افرادی پیدا شوند كه ملحد و یا منکر و کافر باشند دلیل آن را باید در تجربه ها و زندگی گذشته آنها جست و جو کرد زیرا ایمان اولیه به خداوند متعال در وجود همه بالفطره هست.
بنابراین یونگ می گویند جوشش ها وغریزه هایی را که درنهاد خود می یابیم باید به اراده خدا تعبیر بکنیم، و تأکید می کند که نباید آنها رابه میل و اراده دل بخواه خود تعبیر بكنیم
ص: 177
ص: 178
1-12: هوش مصنوعی(1)
پیش از به وجود آمدن علوم الکترونیک هوش مصنوعی توسط فلاسفه و ریاضی دانانی نظیر بول(2) که اقدام به ارائه قوانین و نظریه هایی در باب منطق نمودند، مطرح شده بود با اختراع رایانه های الکترونیکی در سال 1943، هوش مصنوعی دانشمندان را به چالشی بزرگ فراخواند در بادی امر چنین به نظر می رسید که این فناوری در نهایت قادر به شبیه سازی رفتارهای هوشمندانه خواهد بود در نیمه دوم قرن بیستم با پدیدآمدن رایانه ها این فرضیه قوت گرفت. در آن مقطع، دو دیدگاه متضاد دربارهٔ قابلیت رایانه ها پیدا شد. یک دسته رایانه را
ص: 179
به مثابه دستگاهی برای داده پردازی نشانه های ذهنی می نگریست و گروه دیگر به آن به عنوان وسیله ای برای مدلسازی کردن مغز نگاه می کرد.
با توسعه و پیشرفت علوم رایانه ها دانشمندان قادر خواهند بود تا رایانه هایی بسازند که تمامی قابلیتهای ذهن انسان را واجد باشند این پروژه هوش مصنوعی نامیده شد. در واقع هوش مصنوعی دانش و مهندسی ساخت ماشینهای هوشمند و مخصوصاً برنامه های کامپیوتری هوشمند میباشد. هوش مصنوعی وابسته به کامپیوترهای مورد استفاده برای فهم هوش انسانی میباشد، ولی لازم نیست که خودش را به روشهایی که به صورت زیستی قابل مشاهده اند محدود نماید. تعریف هوش مصنوعی در چهار دسته زیر اطلاق میگردد:
1. سیستمهایی که به طور منطقی فکر می کنند.
2. سیستم هایی که مانند انسان فکر می کنند.
3. سیستمهایی که به طور منطقی عمل می کنند.
4. سیستمهایی که مانند انسان عمل می کنند.
اصطلاح هوش مصنوعی در سال 1956 توسط جان مک کارتی(1) ابداع شد. او هوش مصنوعی را چنین تعریف کرد: توانایی است که به ماشین، هوشمندی نوع انسانی احیوان را می دهد به نحوی که ماشین به اهدافش برسد؛ یا به صورت دقیق تر می توان آن را چنین بیان کرد: هوش مصنوعی شاخه ای از علم کامپیوتر است که ملزومات محاسباتی مورد نیاز را برای اعمال مانند ادراک، مشاهده، استدلال و یادگیری مورد بررسی قرار داده و سیستم هایی را پیاده سازی می کند که در این زمینه ها مورد بهره برداری قرار گیرند.
ص: 180
اهداف هوش مصنوعی در سطح هوش انسانی است، نهایت تلاش این است که برنامه های کامپیوتری که میتوانند مسایل را حل کنند و به اهداف دسترسی پیدا کنند را در جهان، به خوبی انسانها بسازند.
مغز انسان محاسبات پیچیده ای را بر روی نمادهای مختلفی انجام داده و از این طریق فرآیندهای رفتاری و حالات ذهنی را بوجود می آورد با توجه به این دیدگاه مغز انسان یک کامپیوتر است. بحث برانگیزترین این دیدگاه مساله آگاهی است که محاسبات میتواند منجر به آگاهی شود.
یکی از اولین مقاله هایی که برای نشان دادن هوش ماشین نوشته شد، به تست تورینگ معروف است که در سال 1950 توسط آلن تورینگ ریاضی دان انگلیسی ارائه شد.

تورینگ به دنبال این بود که آیا می توان ماشینی ساخت که قابلیت فکر کردن داشته باشد. اما ابهاماتی در این سوال وجود داشت، که فکر کردن به چه معنا است؟ یا ماشین یعنی چه؟ این ابهامات مانند سدی در مقابل عرگونه پاسخی
ص: 181
قرار گرفته بود او برای گذر از این سد پیشنهاد کرد که سوال هوش با تست تجربی و تعریف شده ای جایگزین شود.

شکل 12-1: تست تورینگ
تست تورینگ کارایی ماشین هوشمند در برابر انسان اندازه می گیرد، زیرا انسان تنها استاندارد موجود رفتار هوشمند است. این تست که تورینگ، آن را بازی تقلید(1) نامید، ماشین و انسان را در کنار هم و در اتاقی جدا از محقق قرار داد.
محقق قادر نیست با هیچ کدام از آن دو به طور مستقیم صحبت کند حتی نمی داند کدام یک از آنها ماشین و کدام انسان است تنها با از طریق متن می تواند با آنها ارتباط داشته باشد. از محقق خواسته شد از طریق ترمینال متنی سوال هایی از آن دو بپرسد و از روی پاسخها بررسی کند کدام یک ماشین است، اگر محقق نتواند تشخیص دهد پس اثبات می شود که ماشین هم سیستمی هوشمند است.
تست تورینگ با جدا کردن ماشین از فرد این اطمینان را بوجود می آورد که محقق از روی تفاوت ظاهر و یا از روی صدا تشخیص نداده است. محقق آزاد است
ص: 182
هرگونه سوالی که مایل است بپرسد برای مثال میتواند درخواست حل یک عملیات پیچیده ریاضی را بدهد.
همچنین محقق با در نظر گرفتن نبود احساس در ماشین برای تشخیص انسان میتواند یک سوال احساسی در مورد شعر یا یک کار هنری بپرسد. رایانه برای پاسخ به این سوال نیز لازم با عواطف انسانی آشنا شود.
چرا چنین آزمون عجیب و غریبی آزمون هوش می شود؟ در حقیقت، استفاده از دستگاه دور چاپگر و تصویر مردی که می خواهد فریب دهد و غیره، همه صحنه آرایی برای آزمون است. اصل و اساس آزمون گفتگو است. آیا کامپیوتر میتواند مانند یک شخص صحبت کند؟ یا نه تفاوت هایی هم وجود دارد؟ تورینگ همچنین در این مقاله یک سری استدلال های مخالف با نظریه و آزمون خود را مطرح کرد و کوشید به آنها پاسخ دهد تصور اینکه ماشین های هوشمندی ساخته شوند که بتوانند فکر کنند وحشتناک است. تورینگ در پاسخ می گوید این نکته ای انحرافی است زیرا بحث اصلی او بایدها و نبایدها نیست بلکه بحث درباره ممکن هاست.
دیگر اینکه ادعا می شود محدودیت هایی درباره نوع پرسش هایی که میتوان از کامپیوتر پرسید وجود دارد زیرا کامپیوتر از منطق خاصی پیروی می کند. اما تورینگ در پاسخ می گوید خود انسان هنگام گفت و گو پرغلط ظاهر می شود و نمی توان گفتار هر انسانی را لزوما منطقی کرد. او پیش بینی کرد که منشأ اصلی هوشمندی ماشین فرضی ،او حافظه بسیار زیاد و سریعی است که یک کامپیوتر می تواند داشته باشد. بنابراین از نگاه تورینگ ماشین همچون کامپیوتر DeepBlue که کاسپاروف قهرمان شطرنج را شکست داد می تواند یک ماشین
ص: 183
هوشمند تلقی شود. در عین حال تورینگ این نظر را که - آزمون مورد بحث معتبر نیست زیرا انسان دارای احساسات است و مثلا موسیقی دراماتیک می سازد رد کرد و گفت هنوز هیچ سند قابل قبولی وجود ندارد که ثابت کند فقط ما انسانها دارای احساسات هستیم زیرا مشخص نیست مفهوم دقیق این واژه به لحاظ علمی چیست.
اکنون موضوع هوش را میتوان از دو جنبه بررسی نمود. جنبه نخست آن است که آگاهی از جهان اطراف چگونه به دست میآید و چگونه می توان از یافته ها و حقایق نتیجه گیری هوشمندانه نمود. یک سیستم هوشمند نیازمند دریافت دانسته ها تئوریهایی تخمینی و غیر مشخص از اطراف است. ولیکن از چیزهایی که به طور دقیق و نامشخص تعریف شده اند بایستی نتایج دقیقی استنتاج گردد. جنبه دیگر این بررسی حالت کشف و شهود هوشمندانه است. یعنی باید به طریقه کشف و شهود راهی به سمت مقصد یافت که این راه از میان هزاران راه ممکن و غیر ممکن بایستی انتخاب گردد این موضوعات هنوز هم دل مشغولی های مک کارتی هستند و راه حلهای دقیقی برای حل آنها یافت نشده است.
هوش مصنوعی بر دو نوع است:
رایانه ها تنها فکر کردن و اعمال ذهن انسان را شبیه سازی می کنند و خلاف آنچه که ممکن است به نظر برسد فکر نمی کنند. این روزها قابلیت مذکور به سطحی از پیشرفت رسیده که در قالب نوعی دستیار صوتی به تلفن های هوشمند
ص: 184
راه یافته و کاربران حتی با مطرح کردن سوالات پیچیده از موبایل های خود باز هم می توانند به پاسخ برسند.
برای نمونه در تلفن های هوشمند اندرویدی اگر هوا آفتابی باشد و این سوال را بپرسید که آیا به چتر نیاز پیدا خواهید کرد یا خیر؟ دستگاه به شما می گوید که پیش بینی نمی کند فردا هوا بارانی باشد.
این را می توان شکلی بدوی از هوش مصنوعی ضعیف خواند؛ گونه ای از هوش ماشینی که توانایی پردازش کردن پرسش ها تشخیص موضوعات دنبال کردن محتوی یک گفتگو و ارائه پاسخ های معنا دار را دارد
رایانه تنها ابزاری برای مطالعه ذهن نیست؛ بلکه ،ذهن رایانه ای است که به شکلی مناسب برنامه ریزی شده است. یعنی اگر یک رایانه به گونه ای درست برنامه ریزی شود به معنای حقیقی ،کلمه می فهمد و دارای حالات شناختی و ذهنی است.
این بدان معنا است که هوش مصنوعی دارای حالات ذهنی است و از کیفیات روانی نظیر احساس و آگاهی برخوردار است و آشکارا ذهن تقریبی از رایانه گشته و از این رو ذهن نیز بر حسب مدل رایانه ای مورد بررسی قرار می گیرد.
امروزه هوش مصنوعی به واقعیت نزدیک شده است اما دلایل اساسی متعددی وجود دارند کهنشان می دهند چرا هنوز شکل تکامل یافته هوشی که تورینگ تصور می کرد به وقوع نپیوسته است. البته نظریه تورینگ منتقدان خاص خود را
ص: 185
دارد. البته در حال حاضر رباتهایی وجود دارد که با استفاده از روشهای تقلیدی چت میکنند از جمله آنها ربات الیزا(1) است. الیزا در برخی مکالمات ساده می تواند طرف مقابل خود را به اشتباه بیندازد. طوری که مخاطب ممکن است فکر کند در حال گپ زدن با یک انسان است. البته الیزا هنوز نتوانسته است آزمون تورینگ را با موفقیت پشت سر بگذارد. یکی از منتقدان هوش مصنوعی جان سرل است. او معتقد است بحث هوشمندی ماشینهای غیر بیولوژیک اساساً ب بی ربط است و برای اثبات ادعای خود مثالی می آورد که در مباحث تئوریک هوش مصنوعی بحث اتاق چینی نامیده میشود.
اتاق چینی
اتاق چینی یک آزمایش ذهنی است که اولین بار توسط مقاله جان سرل(2) به نام «ذهنها مغزها و برنامه ها در مجله علوم رفتاری و ذهنی» در سال 1980 منتشر شد.
برهان اتاق چینی استدلالی علیه هوش مصنوعی قوی میباشد. در این راستا که یک ماشین سمبل گرا هرگز نمیتواند دارای ویژگیهایی مانند «مغز» و یا «فهمیدن» باشد صرف نظر از اینکه چقدر از خود هوشمندی نشان دهد. مقاله ی او بر مبنای این پرسش بود که اگر یک ماشین بتواند به صورت متقاعد کننده ای یک مکالمه ی هوشمند را شبیه سازی کند، آیا ضروری است که آن راحتما بفهمد؟
وی با این سوال که آیا یک برنامه هوشمند مترجم کامپیوتری که توانایی
ص: 186
ترجمه از زبان چینی به زبان انگلیسی را دارد ضرورتی برای فهم موضوع مورد ترجمه دارد و یا خیر و با تشبیه ذهن به یک برنامه هوشمند کامپیوتری این استدلال را در برابر مواضع فلسفی کارکردگرایی و نظریه محاسباتی ذهن که در آنها، ذهن به عنوان یک محاسبه گر یا دستکاری کننده ی نماد عمل می کند قرار دهد. اتاقی قفل را در نظر بگیرید که شخصی در داخل آن است و نمی تواند چینی صحبت کند او در داخل اتاق کتابی دارد که در آن نوشته شده چطور به پیامهای دریافتی اش به زبان چینی پاسخ دهد این کتاب زبان چینی را به زبان مادری این فرد ترجمه نمی کند و صرفا به او نشان می دهد که چطور پاسخی را بر مبنای چیزی که دریافت میکند ارائه نماید. در خارج از اتاق فرد دیگری حضور دارد که به زبان چینی حرف میزند و از زیر در با او ارتباط برقرار می کند. فرد زندانی شده پیام ها را دریافت می کند و برای آنکه بداند در پاسخ هایش از کدام نمادها استفاده کند قواعد ذکر شده در کتاب را در پاسخ هایش دنبال می کند. در مرحله بعد، پاسخ ها به فردی که پشت در ایستاده داده میشود و چون جواب ها به زبان چینی نوشته شده اند فردی که بیرون از اتاق حضور دارد باور خواهد کرد که شخص داخل اتاق چینی زبان است.

ص: 187
اگر جوابها به اندازه کافی جالب باشند این تصور که فرد داخل اتاق چینی زبان است هم بیشتر تقویت میشود برای مثال اگر از فرد سوال شود «هفته آینده هوا چطور خواهد بود؟» و جواب اینطور باشد من نمیدانم چون از روز گذشته در این اتاق حبس شده ام» آنگاه شخصی که در خارج از اتاق قرار دارد بیشتر متقاعد خواهد شد که فرد محبوس داخل اتاق چینی زبان است. استدلال دیگری که در مورد هوش مصنوعی نیرومند مطرح می شود این است که کامپیوترها فاقد هوشیاری هستند و این مساله ایست که قابل برنامه ریزی نیست.
در مقایسه هوش مصنوعی با هوش انسانی می توان گفت که انسان قادر به مشاهده و تجزیه و تحلیل مسایل در جهت قضاوت و اخذ تصمیم می باشد در حالی که هوش مصنوعی مبتنی بر قوانین و رویه هایی از قبل تعبیه شده بر روی کامپیوتر می باشد. در نتیجه علی رغم وجود کامپیوترهای بسیار کارا و قوی در عصر حاضر ما هنوز قادر به پیاده کردن هوشی نزدیک به هوش انسان در ایجاد هوش های مصنوعی نبوده ایم.
شبکه عصبی زیستی
این شبکه ها مجموعه ای بسیار عظیم از پردازشگرهایی موازی به نام نورون(1) اند که به صورت هماهنگ برای حل مسئله عمل میکنند و توسط سیناپس ها ارتباطهای الکترومغناطیسی اطلاعات را منتقل میکنند در این شبکه ها اگر
ص: 188
یک سلول آسیب ببیند بقیه ی سلولها می توانند نبود آن را جبران کرده و نیز در بازسازی آن سهیم باشند.
این شبکها قادر به یادگیری اند مثلا با اعمال سوزش به سلولهای عصبی لامسه، سلولها یاد میگیرند که به طرف جسم داغ نروند و با این الگوریتم سیستم می آموزد که خطای خود را اصلاح کند.
یادگیری در این سیستم ها به صورت تطبیقی صورت می گیرد، یعنی با استفاده از مثال ها وزن سیناپس ها به گونه ای تغییر میکند که در صورت دادن ورودی های جدید سیستم پاسخ درستی تولید کند.
6-12. شبکه عصبی مصنوعی(1)
یک شبکه عصبی مصنوعی ایده ای است برای پردازش اطلاعات که از سیستم عصبی زیستی الهام گرفته شده و مانند مغز به پردازش اطلاعات می پردازد. عنصر کلیدی این ایده ساختار جدید سیستم پردازش اطلاعات است. این سیستم از شمار زیادی عناصر پردازشی فوق العاده بهم پیوسته تشکیل شده که برای حل یک مسأله با هم هماهنگ عمل می کند ANNها (هوش مصنوعی)، نظیر انسانها، با مثال یاد میگیرند یک ANN برای انجام وظیفه های مشخص، مانند شناسایی الگوها و دسته بندی اطلاعات، در طول یک پروسه یادگیری تنظیم می شود. در سیستم های زیستی یادگیری با تنظیماتی در اتصالات سیناپسی که بین اعصاب قرار دارد همراه است. این روش ANN ها هم می باشد.
با پیشرفت یک هدر زمینه هوش مصنوعی و سامانه هوشمند بدست آمده است.
ص: 189
می توان بین شناخت طبیعی و شناخت مصنوعی پیوند برقرار کرد. وسایل ارتباطی و واسطه هایی که امروزه برای جبران کاستی های شناختی در دست تجربه است این امید را زنده کرده که بتوان در آینده بخشی از این کاستی ها را ترمیم کرد. از جمله استفاده از رایانه هایی است که معلولین میتوانند با امواج مغزی خود آنرا اداره کنند و مثلاً مطالب خود را بدون استفاده از دست روی آن تایپ نمایند، یا رایانه هایی که امواج مغزی فرد معلول را به کلام تبدیل می کند.
7-12 علوم شناختی(1)
علوم شناختی پروژه ای در حال پیشرفت است که از دهه 1950 میلادی به شکل امروزیش آغاز شده و در سال 1973 نام علوم شناختی بر آن نهاده شده است. علوم شناختی به عنوان یکی از دانش های نو در علوم میباشد که به کمک سایر دانش ها از جمله فناوری هوش مصنوعی روان شناسی زبان شناسی و فلسفه ذهن است علوم شناختی مطالعه علمی ذهن است.
ذهن انسان اغلب به عنوان نقطه اوج تکامل توصیف می شود. ذهن پیچیده ترین ارگانی است که از طریق انتخاب طبیعی شکل می گیرد. خود داروین معتقد بود که روزی اصولش نه فقط عالم زیست شناسی بلکه عالم روان شناسی را نیز تبیین می کند؛ زیرا بر طبق نظریه او روان شناسی بر مبنای جدیدی قرار خواهد گرفت.
ص: 190
ما در زندگی روزمره خویش تلاش می کنیم ذهن دیگران را تغییر دهیم و حتی دایماً به تغییر ذهن خودمان نیز می پردازیم. سؤال این است که چگونه می توان ذهن دیگران یا خود را با موفقیت تغییر داد؟
بی تردید از آنجا که حیات انسان و جامعه وابسته به کارکردهای مغزی است شناخت ما از مغز و ذهن میتواند تأثیر بسزایی بر همه ابعاد حیات انسان داشته باشد.
برخی از دانشمندان علوم شناختی پیش بینی می کنند که با کمک دانشمندان هوش مصنوعی بتوانند رایانه هایی بسازند که ایده ها را درک کند و به پردازش معنایی آنها بپردازد؛ رایانه هایی که هوش های چندگانه را تشخیص دهند و به رفع ضعف فرد در یک هوش خاص کمک کنند؛ رایانه هایی که بتوانند به معنای واقعی کلمه با انسان صحبت کنند و درک متقابل داشته باشند.
این پرسش به مسأله ی ذهن بدن معروف است. حالات آگاهانه معلول فرآیندهای نوروبیولوژیکی سطح پایین تر در مغز است که باز خودشان ویژگی های سطح بالاتر مغز هستند کلید فهم این مطلب در «علیت» و «ویژگی» نهفته است. تا جایی که از کارکرد جهان بر ما معلوم شده علت همه ی این گوناگونی ها و تنوعات عظیم حیات آگاهانه ما در حقیقت درجاتی متغیر از همین شکل نورون ها در معماریهای متفاوت نورونی است همه ی محرک هایی که از جهان خارج دریافت میکنیم از طریق سیستم عصبی به میانگینی از درجات متغیر نورونی در سیناپس ها تبدیل میشوند که به یک اندازه علت همه ی رنگ آمیزی ها
ص: 191
و تنوعات حیات آگاهانه ی ما هستند. بوی گل صدای سمفونی، تصور و اندیشه ی قضایا در هندسه ی اقلیدسی همه معلول فرآیندهای زیست شناختی سطح پایین تر در مغز هستند و تا جایی که ما میدانیم عناصر کارکردی مهم در حیات همین نورون ها و سیناپس ها هستند.
هوشیاری یکی از ویژگی های بنیادی وجود انسان است هشیاری داشتن یعنی آگاهی داشتن از تمامی ادراکها ،خاطرات و احساساتی که در هر لحظه از زمان روی می دهند. همانطور که در فصل اخیر ذکر کردیم بخش آگاهی تنها قسمتی از ذهن است که مستقیما برای خود فرد شناخته شده است اما سوالی که مطرح میشود آیا ربات ها مانند انسانها می توانند قدرت درک و آگاهی را داشته باشند و نظریه هوش مصنوعی قوی صحیح است یا خیر؟ همانطور که بیان نمودیم جان سرل با بیان قضیه اتاق چینی این فرض را رد می کند و استدلال دیگری در مورد هوش مصنوعی قوی مطرح می شود این است که کامپیوترها فاقد هوشیاری هستند و این مساله ایست که قابل برنامه ریزی نیست راجر پنروز در کتاب ذهن تازه امپراطور با در نظر داشتن این مساله که فکر حاوی یک عامل غیر محاسباتی است کامپیوترها هیچ گاه نمی توانند مانند انسان قدرت درک و آگاهی را داشته باشند.
راجر پنروز همچنین بیان میکند که هوشیاری هم قابل محاسبه نیست. پس چرا انسان باید چنین خصیصه ای داشته باشد؟
بزرگترین فرضیه ای که از سوی معتقدان به هوش مصنوعی قوی وجود دارد
ص: 192
این است که می توان ذهن انسان را در یک برنامه کامپیوتری بازتولید کرد اما اگر بشر چیزی بیشتر از بدن و مغزی باشد که در راس آن قرار دارد اگر ذهن حاصل بیولوژی و چیز دیگری باشد آنگاه هوش مصنوعی هیچگاه محتمل نخواهد بود.
در اینجاست که به فصل گذشته ایده اروین شرودینگر و یونگ در این خصوص مراجعه می کنیم انسانها از یک نیروی برتر در زندگی خود آگاه بوده اند. همواره از حس یک نیروی برترو مسلط بر زندگی خود آگاه بوده است.
آلن تورینگ نیز در صحبت از روح در ماشین بیان می کند که روح «هدفی الهی» است برای ساختن چنین ماشین هایی هوشمند ما نباید به قدرت او (پروردگار) در ساختن روح بی حرمتی کنیم.
«یَا أَیُّهَا النَّاسُ ضُرِبَ مَثَلٌ فَاسْتَمِعُوا لَهُ إِنَّ الَّذِینَ تَدْعُونَ مِنْ دُونِ اللَّهِ لَنْ یَخْلُقُوا ذُبَابًا وَلَوِ اجْتَمَعُوا لَهُ وَإِنْ یَسْلُبْهُمُ الذُّبَابُ شَیْئًا لَا یَسْتَنْقِذُوهُ مِنْهُ ضَعُفَ الطَّالِبُ وَالْمَطْلُوبُ»
ای مردم! مثلی زده شده است به آن گوش فرا دهید کسانی را که غیر از خدا می خوانید به عظمت یا به خدایی می خوانید هرگز نمی توانند مگسی بیافرینند هر چند برای این کار دست به دست هم دهند؛ و هر گاه مکس چیزی از آنها برباید نمی توانند آن را باز پس گیرند هم این طلب کنندگان ناتوانند و هم آن مطلوبان»
(الحج / 73)
ص: 193
- هوش مصنوعی رهیافتی نوین، استوارت راسل و پیتر نورویگ رامین رهنمون، آناهیتا هماوندی
- تاثیر علوم شناختی بر روان شناسی معاصر، خرازی ،کمال، مجله تازه های علوم شناختی، سال 8، شماره 4، 1385
-ساختن ذهن در مقابل مدل سازی مغز، هوش مصنوعی در مقطع انشعاب، هیوبرتدریفوسواستوارتدریفوس، مترجم، محمدرضا طهماسبی، ذهن، شماره 32
-كتاب الکترونیکی هوش مصنوعی، سهراب جلوه گر، 1388
-عزیزالهی، کامپیوتر جایگزینی برای انسان
ص: 194